Тесты онлайн, бесплатный конструктор тестов. Психологические тестирования, тесты на проверку знаний.
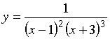
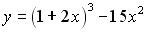
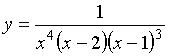
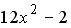
Список вопросов базы знанийМатематический анализ (курс 7)Вопрос id:753277 Число точек разрыва функции равно?) 4 ?) 3 ?) 7 ?) 0 Вопрос id:753278 Число точек разрыва функции равно?) 5 ?) 0 ?) 2 ?) 3 Вопрос id:753279 Число точек разрыва функции равно?) 2 ?) 9 ?) 3 ?) 7 Вопрос id:753280 Число точек разрыва функции равно?) 7 ?) 4 ?) 2 ?) 3 Вопрос id:753281 Число точек разрыва функции равно?) 8 ?) 3 ?) 2 ?) 4 Вопрос id:753282 Число точек разрыва функции равно?) 4 ?) 1 ?) 9 ?) 3 Вопрос id:753283 u(x) и v(x) - две дифференцируемые функции. Выберите два правильных соотношения: ?) ?) ?) ?) Вопрос id:753284 ?) 7 ?) 0 ?) 9 ?) Вопрос id:753285 ?) 5/3 ?) 0 ?) 2/9 ?) Вопрос id:753286 ?) 4 ?) 3 ?) ?) 0 Вопрос id:753287 ?) 0 ?) 4 ?) ?) 5 Вопрос id:753288 ?) 0 ?) ?) 1 ?) не существует Вопрос id:753289 ?) бесконечно малая высшего порядка в сравнении с ?) > 0 ?) является бесконечно малой ?) = 0 Вопрос id:753290 ?) ?) 1 ?) не существует ?) 0 Вопрос id:753291 Вопрос id:753292 Вопрос id:753293 Вопрос id:753294 Вопрос id:753295 Вопрос id:753296 Вопрос id:753297 Вопрос id:753298 Вопрос id:753299 Вопрос id:753300 Вопрос id:753301 Во всех точках некоторого интервала ?) возрастает ?) не убывает ?) убывает ?) не возрастает Вопрос id:753303 Выберите два правильных соотношения для ?) ?) ?) ?) Вопрос id:753304 Выберите два правильных соотношения: ?) ?) ?) ?) Вопрос id:753305 Горизонтальной асимптотой графика функции ?) ?) ?) ?) Вопрос id:753306 Для ?) ?) ?) Вопрос id:753307 Для функции Вопрос id:753308 Для функции ?) 6 ?) 0 ?) 2 ?) 1 Вопрос id:753309 Для функции Вопрос id:753310 Для функции Вопрос id:753311 Для функции Вопрос id:753312 Для функции Вопрос id:753313 Для функции Вопрос id:753314 Для функции Вопрос id:753315 Если ?) бесконечно малая ?) ограниченная ?) бесконечно большая ?) неограниченная Вопрос id:753316 Если ?) ?) ?) ?) Вопрос id:753317 Если в неопределенном интеграле ?) ?) ?) ?) Вопрос id:753318 Значение производной второго порядка функции ?) - 1 ?) - 11 ?) - 12 ?) - 10 Вопрос id:753319 Значение производной второго порядка функции ?) 0 ?) 1 ?) 9 ?) 6 Вопрос id:753320 Значение производной второго порядка функции ?) - 1 ?) 100 ?) 1 ?) – 100 Вопрос id:753321 Значение производной второго порядка функции ?) 24 ?) - 24 ?) – 6 ?) 6 Вопрос id:753322 Значение производной второго порядка функции ?) 5 ?) 80 ?) - 5 ?) - 80 Вопрос id:753323 Из функций ?) ?) ?) Вопрос id:753324 Количество вертикальных асимптот графика функции равно …Вопрос id:753325 Множество первообразных функции ?) ?) ![]() ?) ?) Вопрос id:753326 Наибольшее значение функции Вопрос id:753327 Наибольшее значение функции |
Copyright tests.ithead.ru 2013-2026
равно
равно
равно
равно
равно
равно
равно …