Тесты онлайн, бесплатный конструктор тестов. Психологические тестирования, тесты на проверку знаний.
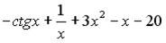
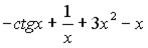
Список вопросов базы знанийМатематический анализ (курс 7)Вопрос id:753328 Наибольшее значение функции Вопрос id:753329 Наименьшее значение ?) 6 ?) 4 ?) 3 ?) 5 Вопрос id:753330 Наименьшее значение ?) 9 ?) – 6 ?) – 12 ?) – 3 Вопрос id:753331 Наименьшее значение функции ?) ?) – 1 ?) 0 ?) Вопрос id:753332 Наименьшее целое значение x из области определения функции ?) 5 ?) 3 ?) 4 ?) 2 Вопрос id:753333 Наклонной асимптотой графика функции является прямая …?) ?) ?) ?) график не имеет наклонных асимптот Вопрос id:753334 Ненулевая функция равен…?) ![]() ?) ![]() ?) 0 ?) ![]() Вопрос id:753335 Область определения функции ?) ?) ?) ?) Вопрос id:753336 Общее геометрическое содержание теорем Роля, Лагранжа, Коши ?) на кривой найдется точка, в которой касательная параллельна хорде, стягивающей концы кривой ?) касательная всегда параллельна хорде ?) касательная в некоторой точке кривой параллельна оси OX ?) между двумя корнями функции лежит корень производной Вопрос id:753337 Первообразными функции ?) ?) ?) ?) ?) Вопрос id:753338 Поставьте в соответствие функцию и ее производную
Вопрос id:753339 Поставьте в соответствие функцию и ее четность
Вопрос id:753340 Поставьте в соответствие функцию и ее четность
Вопрос id:753341 Поставьте в соответствие функцию и ее четность
Вопрос id:753342 Производная второго порядка функции ?) ?) ?) ![]() ?) Вопрос id:753343 Производная произведения ?) ?) ?) ?) Вопрос id:753344 Производная функции ?) ?) ?) 1 ?) Вопрос id:753345 Производная функции ?) 2x ?) ?) ?) Вопрос id:753346 Пусть
Вопрос id:753347 Укажите соответствие между поведением функции и поведением её первой производной при переходе
Вопрос id:753348 Укажите соответствие между функцией и ее областью значений
Вопрос id:753349 Укажите соответствие между функцией и ее областью определения
Вопрос id:753350 Установите соответствие между графиком функции и характером точки
Вопрос id:753351 Установите соответствие между графиком функции и характером точки
Вопрос id:753352 Установите соответствие между графиком функции и характером точки
Вопрос id:753353 Установите соответствие между графиком функции и характером точки
Вопрос id:753354 Установите соответствие между графиком функции и характером точки
Вопрос id:753355 Установите соответствие между функцией и ее производной
Вопрос id:753356 Установите соответствие между функциями и вертикальными асимптотами для их графиков
Вопрос id:753357 Установите соответствие между функциями и их производными
Вопрос id:753358 Установите соответствие между функциями и их производными второго порядка
Вопрос id:753359 Установите соответствие между функциями и наклонными (горизонтальными) асимптотами для их графиков
Вопрос id:753360 Установите соответствие между функциями и наклонными (горизонтальными) асимптотами для их графиков
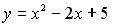
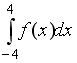
Вопрос id:753361 Функцией, производная второго порядка которой равна ?) ?) ?) ?) Вопрос id:753362 Функция Вопрос id:753363 Функция ?) (1, 2) ?) (-4, 27) ?) (-1, 0) ?) (0, -5) Вопрос id:753364 Функция ?) (1, 3) ?) (-1, 1) ?) (0, -1) ?) (-2, 3) Вопрос id:753365 Функция ?) (3, -26) ?) (1, -2) ?) (0, 1) ?) (-1, 6) Вопрос id:753366 Функция Вопрос id:753367 Функция Вопрос id:753368 Функция Вопрос id:753369 Функция Вопрос id:753370 Функция Вопрос id:753371 Функция Вопрос id:753372 Число ?) какое бы (сколь угодно малое) число ?) выполняется неравенство ?) значения x лежат в интервале ?) значения х лежат в Вопрос id:753373 “Замечательными” пределами называются выражения: ?) ?) ?) Вопрос id:753374 Вычислите площадь области, ограниченной кривыми y = x2 и y = x3
?) ?) ?) ?) Вопрос id:753375 Вычислите площадь области, ограниченной параболой y = 4(x + 1) и прямой x – y – 2 = 0
?) ?) ?) ?) Вопрос id:753376 Найдите ?) 2 ?) ?) π ?) √π Вопрос id:753377 Верны ли определения? А) Дифференциальное уравнение В) Дифференциальное уравнение Подберите правильный ответ ?) А – нет, В - нет ?) А – да, В - нет ?) А – нет, В - да ?) А – да, В - да |
Copyright tests.ithead.ru 2013-2026
является прямая …
равен…





































