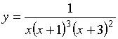
Список вопросов базы знанийМатематический анализ (курс 7)Вопрос id:753226 Угол между осью ?) ?) ?) ?) ![]() Вопрос id:753227 Угол между осью ?) ?) ?) ?) Вопрос id:753228 Уравнение вертикальной асимптоты для графика функции ?) ?) ?) ?) Вопрос id:753229 Уравнение вертикальной асимптоты для графика функции ?) ?) ?) ?) Вопрос id:753230 Уравнение вертикальной асимптоты для графика функции ?) ?) ?) ?) Вопрос id:753231 Уравнение вертикальной асимптоты для графика функции ?) ?) ?) ?) Вопрос id:753232 Уравнение вертикальной асимптоты для графика функции ?) ?) ?) ?) Вопрос id:753233 Уравнение касательной к графику функции ?) ?) у = - 2х + 2 ?) ?) Вопрос id:753234 Уравнение касательной к графику функции ?) ?) у = 12х – 16 ?) ?) Вопрос id:753235 Уравнение касательной к графику функции ?) ?) ?) ?) Вопрос id:753236 Уравнение касательной к графику функции ?) ?) ?) ?) Вопрос id:753237 Уравнение касательной к графику функции ?) ?) ?) ?) у = 4х – 1 Вопрос id:753238 Уравнение не вертикальной асимптоты для графика функции ?) ?) ?) ?) Вопрос id:753239 Уравнение не вертикальной асимптоты для графика функции ?) ?) ?) нет невертикальной асимптоты ?) Вопрос id:753240 Уравнение невертикальной асимптоты для графика функции ?) ?) ?) нет невертикальной асимптоты ?) Вопрос id:753242 Уравнение невертикальной асимптоты для графика функции ?) ?) ?) нет невертикальной асимптоты ?) Вопрос id:753243 Функция
Правильными утверждениями являются… ?) на отрезке ?) множеством значений функции ?) уравнение ?) при любом значении Вопрос id:753244 Функция
Правильными утверждениями являются… ?) при любом значении ?) уравнение ?) на отрезке ?) множеством значений функции Вопрос id:753245 Функция
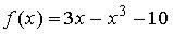
Правильными утверждениями являются… ?) среди значений функции ?) функция ?) при любом значении ?) множеством значений функции Вопрос id:753246 Функция
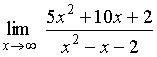
Правильными утверждениями являются… ?) на отрезке ?) при любом значении ?) уравнение ?) множеством значений функции Вопрос id:753247 Число, равное наибольшему значению функции ?) 3 ?) 10 ?) ?) 7 Вопрос id:753248 Число, равное наибольшему значению функции ?) ?) 3 ?) 1 ?) Вопрос id:753249 Значение предела ?) 0,5 ?) 0 ?) 2 ?) Вопрос id:753250 Дана функция ?) ?) ?) ?) Вопрос id:753251 Значение предела равно?) 2 ?) 1 ?) ?) 0 Вопрос id:753252 Значение предела равно?) 0 ?) 2 ?) 3 ?) Вопрос id:753253 Значение предела равно?) 0 ?) 1 ?) ?) 5 Вопрос id:753254 Значение предела равно?) 0 ?) 2 ?) 4 ?) Вопрос id:753255 Значение предела равно?) 1 ?) 3 ?) ?) 0 Вопрос id:753256 Значение предела равно?) ?) 2 ?) 0 ?) 1,5 Вопрос id:753257 Значение предела равно?) 2 ?) ?) 0 ?) 1 Вопрос id:753258 Значение предела равно?) 5 ?) ?) 0 ?) 2 Вопрос id:753259 Значение предела равно?) 0 ?) ?) 1 ?) 4 Вопрос id:753260 Наибольшее значение функции ?) 4 ?) 5 ?) 2,5 ?) 7 Вопрос id:753261 Наибольшее значение функции ?) 1 ?) 3 ?) 5 ?) 2 Вопрос id:753262 Наибольшее значение функции ?) 1 ?) 13 ?) 3 ?) 15 Вопрос id:753263 Наибольшее значение функции ?) – 18 ?) 11 ?) 0 ?) – 11 Вопрос id:753264 Наибольшее значение функции ?) 2 ?) ?) ?) 3 Вопрос id:753265 Наибольшее значение функции ?) 2 ?) 5 ?) 0 ?) 4 Вопрос id:753266 Наибольшее значение функции ?) 1 ?) 0 ?) 10 ?) 9 Вопрос id:753267 Наибольшее значение функции ?) 6 ?) 2 ?) – 8 ?) – 10 Вопрос id:753268 Наибольшее значение функции ?) – 6 ?) – 9 ?) – 11 ?) – 10 Вопрос id:753269 Наименьшее значение функции ?) 0,5 ?) 1,5 ?) – 1,5 ?) 2,5 Вопрос id:753270 Наименьшее значение функции ?) 0 ?) 5 ?) 4 ?) – 2 Вопрос id:753271 Наименьшее значение функции ?) – 10 ?) – 16 ?) – 12 ?) – 2 Вопрос id:753272 Наименьшее значение функции ?) 0 ?) – 1 ?) 9 ?) 1 Вопрос id:753273 Наименьшее значение функции ?) – 15 ?) – 1,5 ?) 10,5 ?) 0 Вопрос id:753274 Производная частного ?) ![]() ?) ![]() ?) ![]() ?) Вопрос id:753275 Число точек разрыва функции равно?) 2 ?) 1 ?) 3 ?) 0 Вопрос id:753276 Число точек разрыва функции равно?) 3 ?) 5 ?) 0 ?) 6 |





равно
равно
равно
равно
равно
равно
равно
равно
равно
равно


равно
равно