Список вопросов базы знанийЭлектротехника и электроникаВопрос id:1278504 В цепи постоянного тока переходный ток i(t) имеет вид
?) ![]() ?) ![]() ?) ![]() ?) ![]() Вопрос id:1278505 В цепи постоянного тока переходный ток i(t) имеет вид
?) ![]() ?) ![]() ?) ![]() ?) ![]() Вопрос id:1278506 В цепи постоянного тока переходный ток i(t) при U=80 B, R1=120 Ом, R2=200 Ом, R3=50 Ом, L=0,5 Гн равен
?) ![]() ?) ![]() ?) ![]() ?) ![]() Вопрос id:1278507 В цепи постоянного тока переходный ток i(t) равен
?) ![]() ?) ![]() ?) ![]() ?) ![]() Вопрос id:1278508 В цепи постоянного тока переходный ток i1(t) при U=120 B, R1=20 Ом, R2=30 Ом, L=0,3 Гн равен
?) ![]() ?) ![]() ?) ![]() ?) ![]() Вопрос id:1278509 В цепи постоянного тока переходный ток i1(t) при U=120 B, R1=6 Ом, R2=4 Ом, L1=0,8 Гн, L2=0,3Гн равен
?) ![]() ?) ![]() ?) ![]() ?) ![]() Вопрос id:1278510 В цепи постоянного тока переходный ток i2(t) при U=120 B, R1=20 Ом, R2=30 Ом, L=0,3 Гн равен
?) ![]() ?) ![]() ?) ![]() ?) ![]() Вопрос id:1278511 В цепи постоянного тока переходный ток i2(t) при U=120 B, R1=6 Ом, R2=4 Ом, L1=0,3 Гн, L2=0,8 Гн равен
?) ![]() ?) ![]() ?) ![]() ?) ![]() Вопрос id:1278512 В цепи постоянного тока переходный ток i2(t) при U=300 B, R=10 Ом, R1=5 Ом, R2=30 Ом, L=2 Гн равен
?) ![]() ?) ![]() ?) ![]() ?) ![]() Вопрос id:1278513 В цепи постоянного тока переходный ток i3(t) при U=120 B, R1=20 Ом, R2=30 Ом, L=0,3 Гн равен
?) ![]() ?) ![]() ?) ![]() ?) ![]() Вопрос id:1278514 Величина напряжения uL(0) в момент коммутации равна …
?) 2 В ?) 20 В ?) 0 В ?) 0,2 В Вопрос id:1278515 Если в цепи постоянного тока R1=10 Ом, R2=30 Ом, L=0,1 Гн, U=120 B, переходное напряжение
?) ![]() ?) ![]() ?) ![]() ?) ![]() Вопрос id:1278516 Если в цепи постоянного тока U=120 B, R1=10 Ом, R2=30 Ом, L=0,1 Гн, переходное напряжение u1 на сопротивлении R1 равно
?) ![]() ?) ![]() ?) ![]() ?) ![]() Вопрос id:1278517 Если в цепи постоянного тока U=120 B, R1=10 Ом, R2=30 Ом, L=0,1 Гн, переходное напряжение на индуктивности uL равно
?) ![]() ?) ![]() ?) ![]() ?) ![]() Вопрос id:1278518 Если в цепи постоянного тока U=120 B, R1=10 Ом, R2=30 Ом, L=0,1 Гн, переходный ток i будет равен
?) ![]() ?) ![]() ?) ![]() ?) ![]() Вопрос id:1278519 Если в цепи постоянного тока U=120 B, R1=10 Ом, R2=30 Ом, L=0,1 Гн, переходный ток i равен
?) ![]() ?) ![]() ?) ![]() ?) ![]() Вопрос id:1278520 Если в цепи постоянного тока U=120 B, R=40 Ом, L=0,5 Гн, переходный ток i равен
?) ![]() ?) ![]() ?) ![]() ?) ![]() Вопрос id:1278521 Если комплексное сопротивление Z задано, то коэффициенты четырехполюсника равны
?) A=0, B= , C=0, D=1?) A= , B= , C=1, D=1?) A=1, B=0, C= , D=1?) A=1, B= , C=0, D=0Вопрос id:1278522 Если уравнения линейного пассивного четырехполюсника в
то величина параметра D составляет … ?) -j10 Ом ?) 4 ?) 1 ?) j0,3 См Вопрос id:1278523 Если уравнения линейного пассивного четырехполюсника в
то величина параметра В составляет … ?) -j10 Ом ?) j0,3 См ?) 4 ?) 1 Вопрос id:1278524 Начальные условия для расчета переходного процесса в электрической цепи определяются в соответствии с …
?) вторым законом Кирхгофа ?) первым законом Кирхгофа ?) вторым законом коммутации ?) первым законом коммутации Вопрос id:1278525 Уравнения четырехполюсника
?) -форме?) -форме?) -форме?) -формеВопрос id:1278526 Через параметры Г-образной схемы замещения коэффициенты четырехполюсника выражаются следующим образом
?) ![]() ?) ![]() ?) ![]() Вопрос id:1278527 Через параметры Г-образной схемы замещения коэффициенты четырехполюсника выражаются следующим образом
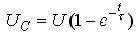
?) ![]() ?) ![]() ?) ![]() Вопрос id:1278532 В любой ветви напряжение и заряд на емкости сохраняют в момент коммутации те значения, которые они имели непосредственно перед коммутацией и в дальнейшем изменяются, начиная именно с этих значений. Это ?) второй закон коммутации ?) второй закон кирхгофа ?) первый закон коммутации ?) первый закон кирхгофа в операторной форме Вопрос id:1278533 В любой ветви с индуктивностью ток и магнитный поток в момент коммутации сохраняют те значения, которые они имели непосредственно перед коммутацией и дальше начинают изменяться именно с этих значений. Это ?) второй закон кирхгофа ?) первый закон коммутации ?) второй закон коммутации ?) первый закон кирхгофа в операторной форме Вопрос id:1278534 Второй закон Кирхгофа в операторной форме при нулевых начальных условиях ?) ![]() ?) ![]() ?) ![]() ?) ![]() Вопрос id:1278535 Второй закон коммутации ?) ![]() ?) ![]() ?) ![]() ?) ![]() Вопрос id:1278536 Второй шаг при расчете переходных процессов операторным методом ?) находят оригинал основной переменной с помощью таблиц ?) составляется операторная схема замещения ?) изображения основной переменной, искомого тока или напряжения рассчитывают по операторной схеме любым наиболее рациональным методом ?) рассчитывают независимые начальные условия il(0) и uc(0) Вопрос id:1278537 Второй шаг составления операторной схемы замещения при расчете переходных процессов операторным методом ?) начальный запас энергии в анализируемой цепи при ненулевых начальных условиях в операторной схеме замещения учитывают введением дополнительных источников ЭДС и тока ?) изображения источников ЭДС и источников тока, воздействующих на цепь, находят по таблицам ?) находят оригинал основной переменной с помощью таблиц ?) сопротивление пассивных элементов учитывается в операторной форме: R, pL, 1/pC Вопрос id:1278538 Для симметричного четырехполюсника характерно ?) A=B ?) B=C ?) A=D ?) C=D Вопрос id:1278539 Если к началу переходного процесса непосредственно перед коммутацией все токи и напряжения на пассивных элементах схемы равны нулю, то в схеме имеют место ___ начальные условия ?) нулевые ?) ненулевые ?) зависимые ?) независимые Вопрос id:1278540 Если к началу переходного процесса хотя бы часть токов и напряжений в схеме не равны нулю, то в схеме имеют место ___ начальные условия ?) зависимые ?) нулевые ?) ненулевые ?) независимые Вопрос id:1278541 Если конденсатор не был предварительно заряжен, то закон изменения напряжения на конденсаторе при замыкании ключа будет иметь вид … ![]() ?) ![]() ?) ![]() ?) ![]() ?) ![]() Вопрос id:1278542 Если конденсатор, заряженный до напряжения U0 через резистор и катушку индуктивности, разряжается так, что напряжение на нем монотонно спадает от значения U0 до нуля, то это ___ разряд(а) конденсатора ?) колебательный ?) апериодический ?) периодический ?) предельный случай апериодического Вопрос id:1278543 Если конденсатор, заряженный до напряжения U0 через резистор и катушку индуктивности, разряжается так, что напряжение на нем монотонно спадает от значения U0 до нуля и сопротивление контура равно критическому, то это ___ разряд(а) конденсатора ?) предельный случай апериодического ?) периодический ?) апериодический ?) колебательный Вопрос id:1278544 Если оригинал e(t)=E=const, то изображение ?) ![]() ?) ![]() ?) ![]() ?) ![]() Вопрос id:1278545 Если оригинал e(t)=Emsin(ωt+α) , то изображение ?) ![]() ?) ![]() ?) ![]() ?) ![]() Вопрос id:1278546 Если оригинал j(t)=j=const, то изображение ?) ![]() ?) ![]() ?) ![]() ?) ![]() Вопрос id:1278547 Если оригинал j(t)=jmsin(ωt+β) , то изображение ?) ![]() ?) ![]() ?) ![]() ?) ![]() Вопрос id:1278548 Если оригинал UR(t)=R·i(t) , то изображение ?) UR(p)=R·I(p) ?) ![]() ?) UR(p)=pRI(p)-Ri(0+) ?) UR(p)=pRI(p) Вопрос id:1278551 Если перемена местами входных и выходных выводов четырехполюсника не изменяет токов и напряжений в цепи, с которой он соединен, то такой четырехполюсник называется … ?) активным ?) несимметричным ?) Пассивным ?) симметричным Вопрос id:1278553 Если продольное сопротивление состоит из параллельно соединенных индуктивностей и емкостей, то фильтр относится к категории ___ фильтров ?) низкочастотных ?) полосовых ?) высокочастотных ?) заграждающих Вопрос id:1278554 Если продольное сопротивление состоит из последовательно соединенных индуктивностей и емкостей, то фильтр относится к категории ___ фильтров ?) заграждающих ?) низкочастотных ?) высокочастотных ?) полосовых Вопрос id:1278555 Если продольное сопротивление состоит только из емкостей, то фильтр относится к категории ___ фильтров ?) высокочастотных ?) заграждающих ?) полосовых ?) низкочастотных Вопрос id:1278556 Если продольное сопротивление состоит только из индуктивностей, то фильтр относится к категории ___ фильтров ?) полосовых ?) низкочастотных ?) заграждающих ?) высокочастотных Вопрос id:1278559 Если четырехполюсник не содержит внутри нескомпенсированные источники электрической энергии, то такой четырехполюсник называется … ?) мостовым ?) активным ?) пассивным ?) Г-образным Вопрос id:1278560 Если четырехполюсник содержит внутри взаимно некомпенсирующиеся источники электрической энергии, то такой четырехполюсник называется … ?) мостовым ?) активным ?) Г-образным ?) пассивным Вопрос id:1278561 Заграждающий фильтр – это ?) фильтрующая система, сочетающая каскадное соединение низкочастотных и высокочастотных фильтров, пропускающая токи с частотами от ω1 до ω2 ?) фильтр, у которого произведение продольного сопротивления на соответствующее поперечное сопротивление представляет собой некоторое для данного фильтра число, не зависящее от частоты ?) фильтр, у которого произведение продольного сопротивления на соответствующее поперечное сопротивление представляет собой некоторое для данного фильтра число, зависящее от частоты ?) фильтрующая система, у которой полоса пропускания разрезана на две части полосой затухания Вопрос id:1278562 Закон изменения тока при переходном процессе имеет вид … ![]() ?) ![]() ?) ![]() ?) ![]() ?) ![]() |



















































на R1 равно






























, C=0, D=1
, B=
, C=1, D=1
, D=1
, C=0, D=0
-форме имеют следующий вид: 
-форме имеют следующий вид:
,
записаны в …
-форме
-форме
-форме
-форме















при замыкании ключа будет иметь вид … 

























