Тесты онлайн, бесплатный конструктор тестов. Психологические тестирования, тесты на проверку знаний.
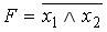
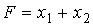
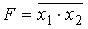
Список вопросов базы знанийЭлектротехника и электроникаВопрос id:1278818 ОС называется ОС по напряжению, если ?) снимаемый сигнал ОС пропорционален напряжению входной цепи ?) сигнал ОС суммируется с входным напряжением ?) ток цепи ОС суммируется с током входного сигнала ?) снимаемый сигнал ОС обратнопропорционален напряжению входной цепи Вопрос id:1278820 От короткого замыкания операционный усилитель защищают ?) стабилизаторы ?) резисторы-ограничители ?) транзисторы ?) диоды смещения Вопрос id:1278822 Отрицательная логика ?) низкому уровню сигналов ставится в соответствие состояние 0 ?) высокому уровню сигналов ставится в соответствие состояние 1 ?) высокому уровню сигналов ставится в соответствие состояние 0 ?) низкому уровню сигналов ставится в соответствие состояние 1 Вопрос id:1278824 Параметры, определяющие характеристики электронных ключей, – это ?) токи утечки в закрытом состоянии ?) чувствительность ?) выходное сопротивление ?) входное сопротивление Вопрос id:1278825 Параметры, определяющие характеристики электронных ключей, – это ?) помехоустойчивость ?) сдвиг фазы входного напряжения ?) падение напряжения на ключе в открытом состоянии ?) выходное сопротивление Вопрос id:1278827 Петлей обратной связи называют замкнутый контур, включающий в себя ?) цепь обратной связи ?) часть усилителя между точками ее подключения ?) обратную связь, охватывающую весь усилитель ?) обратную связь, охватывающую отдельные каскады или части усилителя Вопрос id:1278828 По усиливаемой электрической величине усилители можно подразделить на усилители ?) напряжения ?) мощности ?) высокой частоты ?) тока Вопрос id:1278829 Полный сумматор отличается от полусумматора тем, что ?) он преобразует одну или несколько логических единиц, поступивших на входы, в двоичный код на выходе ?) на его дополнительный вход поступает сигнал переноса от предыдущей схемы ?) логическая единица на одном выходе при нулевых сигналах на остальных выходах соответствует определенному коду на входе ?) он предназначен для преобразования нескольких информационных каналов Вопрос id:1278830 Положительная логика ?) низкому уровню сигналов ставится в соответствие состояние 1 ?) высокому уровню сигналов ставится в соответствие состояние 0 ?) низкому уровню сигналов ставится в соответствие состояние 0 ?) высокому уровню сигналов ставится в соответствие состояние 1 Вопрос id:1278831 При использовании в конструкции усилителей биполярных транзисторов различают следующие схемы: усилитель с общим (ей) ?) базой ?) эмиттером ?) затвором ?) коллектором Вопрос id:1278832 При отрицательной обратной связи коэффициент усиления ?) зависит только от режима работы активного прибора усилителя ?) уменьшается ?) не зависит от типа обратной связи ?) увеличивается Вопрос id:1278833 При параллельной схеме введения ОС ?) напряжение сигнала ОС суммируется с входным напряжением ?) снимаемый сигнал ОС пропорционален напряжению входной цепи ?) ток цепи ОС суммируется с током входного сигнала ?) снимаемый сигнал ОС обратнопропорционален напряжению входной цепи Вопрос id:1278834 При положительной обратной связи коэффициент усиления ?) уменьшается ?) зависит только от режима работы активного прибора усилителя ?) не зависит от типа обратной связи ?) увеличивается Вопрос id:1278835 При последовательной схеме введения ОС ?) напряжение сигнала ОС суммируется с входным напряжением ?) снимаемый сигнал ОС пропорционален напряжению входной цепи ?) снимаемый сигнал ОС обратнопропорционален напряжению входной цепи ?) ток цепи ОС суммируется с током входного сигнала Вопрос id:1278836 Приведенная временная диаграмма напряжения на выходе выпрямителя соответствует … ![]() ?) однофазной однополупериодноой выпрямительной схеме ?) однофазной мостовой выпрямительной схеме ?) трехфазной выпрямительной схеме с выводом средней точки трансформатора ?) трехфазной мостовой выпрямительной схеме Вопрос id:1278837 Принято различать следующие режимы работы ключа ?) насыщения ?) инверсный активный ?) отсечки ?) нормальный пассивный Вопрос id:1278838 Принято различать следующие режимы работы ключа ?) инверсный активный ?) насыщения ?) инверсный пассивный ?) нормальный активный Вопрос id:1278839 Различают разновидности триггеров ?) D ?) RS ?) DT ?) JK Вопрос id:1278845 Режим, в котором работает активный прибор, зависит от ?) значения входного усиливаемого сигнала ?) постоянного тока и падения напряжения на активном приборе усилительного каскада ?) угла сдвига фаз между входным и выходным напряжениями ?) модуля коэффициента усиления от частоты Вопрос id:1278846 Синфазным входным сигналом называют ?) сигнал на входе дифференциального усилителя пропорциональный разности входных токов ?) разность напряжений, формируемых на входах ?) напряжение между коллекторами транзисторов ?) разность полусуммы напряжений, формируемых на входах Вопрос id:1278847 Синхронизирующий импульс поступает на все регистры одновременно, при этом в каждом последующем триггере запоминается выходной сигнал от предыдущего триггера регистра ?) реверсивного ?) параллельного ?) последовательного ?) суммирующего Вопрос id:1278848 Синхронный T-триггер переключается под воздействием сигналов на ?) C- входе ?) R и S – входах ?) T-входе ?) управляющем входе Вопрос id:1278850 Совокупность триггеров, предназначенная для хранения двоичного слова, называется ?) счётчиком ?) регистром ?) мультиплексором ?) электронным ключом Вопрос id:1278851 Статический режим работы усилительных каскадов характеризуется ?) зависимостью угла сдвига фаз между входным и выходным напряжениями ?) зависимостью модуля коэффициента усиления от частоты ?) постоянным падением напряжения на компонентах, входящих в состав усилительного каскада ?) совокупностью переменных токов и напряжений на элементах каскада Вопрос id:1278852 Сумматор с параллельным переносом - это комбинационная схема ?) выполняющая суммирование одноразрядных двоичных операндов ?) реализующая арифметическое сложение двоичных чисел ?) в которой цифры переноса формируются одновременно во всех разрядах ?) в которой цифры переноса формируются последовательно, распространяясь от младших разрядов к старшим Вопрос id:1278853 Сумматор с последовательным переносом - это комбинационная схема ?) реализующая арифметическое сложение двоичных чисел ?) выполняющая суммирование одноразрядных двоичных операндов ?) в которой цифры переноса формируются одновременно во всех разрядах ?) в которой цифры переноса формируются последовательно, распространяясь от младших разрядов к старшим Вопрос id:1278854 Существуют следующие схемы выпрямителей ?) однофазный двухполупериодный выпрямитель ?) однофазный мостовой выпрямитель ?) двухполупериодный выпрямитель со средней точкой ?) однофазный однополупериодный выпрямитель Вопрос id:1278855 Существуют следующие схемы выпрямителей ?) однофазный двухполупериодный выпрямитель ?) однофазный мостовой выпрямитель ?) трехфазный мостовой выпрямитель ?) трехфазный выпрямитель с нулевым выводом Вопрос id:1278857 Схема, которая преобразует одну или несколько логических единиц, поступивших на входы, в двоичный код на выходе, называется ?) шифратором ?) дешифратором ?) мультиплексором ?) сумматором Вопрос id:1278858 Схема, у которой логическая единица на одном выходе при нулевых сигналах на остальных выходах соответствует определенному коду на входе, называется ?) мультиплексором ?) шифратором ?) сумматором ?) дешифратором Вопрос id:1278859 Схемы, содержащие электронные ключи и выполняющие основные логические операции называются ?) базовыми логическими элементами ?) дифференциальным усилителем ?) импульсным устройством ?) транзисторными ключами Вопрос id:1278862 Транзисторы усилителей мощности работают в режиме ?) большого сигнала ?) насыщения ?) отсечки ?) малого сигнала Вопрос id:1278864 Триггеры относятся к ?) цифровым автоматам ?) мультиплексорам ?) шифраторам ?) электронным ключам Вопрос id:1278865 Уровень нелинейных искажений и КПД усилителя мощности существенно зависят от ?) начального режима работы ?) модуля коэффициента усиления от частоты в логарифмическом масштабе ?) угла сдвига фаз между входным и выходным напряжениями ?) модуля коэффициента усиления от частоты Вопрос id:1278866 Усилители используются для ?) для обеспечения работы регистрирующих устройств ?) компенсации потерь при передаче информационных сигналов на большие расстояния ?) для выделение нужных составляющих АЧХ спектра сигналов ?) для создания нормальных условий восприятия информации человеком Вопрос id:1278867 Усилители можно подразделить по диапазону усиливаемых частот на усилители ?) напряжения ?) высокой частоты ?) низкой частоты ?) постоянного тока Вопрос id:1278868 Усилители можно подразделить по режимам работы на усилители ?) линейные ?) нелинейные ?) постоянного тока ?) мощности Вопрос id:1278869 Усилители мощности бывают ?) трёхтактные ?) однотактные ?) четырёхтактные ?) двухтактные Вопрос id:1278870 Усилитель мощности предназначен для ?) работы в двухтактных выходных каскадах, имеющих высокий КПД ?) работы в мощных резонансных усилителях, где нагрузкой является резонансный контур ?) обеспечения заданной мощности нагрузки при заданном сопротивлении нагрузки ?) тех случаев, когда необходимо обеспечить малые нелинейные искажения Вопрос id:1278872 Усилителями постоянного тока называют усилители ?) Однотактные ?) работающие в статическом режиме ?) работающие в режиме A работы активного прибора усилителя ?) коэффициент усиления которых не уменьшается при снижении частоты вплоть до нуля Вопрос id:1278874 Устройство, обладающее двумя состояниями устойчивого равновесия и способное скачком переходить из одного состояния в другое под воздействием внешнего управляющего сигнала, называется … ?) операционным усилителем ?) логическим устройством, реализующим функцию «ИЛИ» ?) логическим устройством, реализующим функцию «И» ?) триггером Вопрос id:1278875 Устройство, предназначенное для коммутации электрических сигналов, называется ?) электронным ключом ?) дифференциальным усилителем ?) ограничителем ?) операционным усилителем Вопрос id:1278876 Устройство, предназначенное для преобразования аналоговой информации в цифровую, называется … ?) шифратором ?) счетчиком ?) цифро-аналоговым преобразователем ?) аналого-цифровым преобразователем Вопрос id:1278877 Устройство, содержащее несколько триггеров, состояние которых определяется числом поступивших на вход устройства импульсов, называют ?) электронным ключом ?) счетчиком ?) сумматором ?) мультиплексором Вопрос id:1278878 Хронируемый RS-триггер имеет входы ?) C, R, S, K и относится к асинхронному типу ?) Установки и сброса и относится к асинхронному типу ?) С, R и S и относится к синхронному типу ?) C, R, S, J и относится к синхронному типу Вопрос id:1278880 Чаще всего D-триггер выполняется на основе ?) двухступенчатого RS-триггера ?) дополнительного элемента И ?) T-триггера ?) включения на входе дополнительного инвертора Вопрос id:1278881 Число триггеров, из которых конструктивно состоит счетчик, определяет его ?) производительность ?) надежность ?) разрядность ?) сложность Вопрос id:1278882 Элемент, реализующий логическую функцию ( ), выполняет логическую операцию …?) умножения (И ?) сложения (ИЛИ) ?) функцию Шеффера (И-НЕ) ?) инверсии (НЕ) Вопрос id:1278883 Элемент, реализующий логическую функцию ( ), выполняет логическую операцию …?) умножения (И) ?) инверсии (НЕ) ?) сложения (ИЛИ) ?) функцию Шеффера (И-НЕ) Вопрос id:1278884 Эмиттерно-связанные логические элементы выполняются на основе ?) двухтактовых эмиттерных повторителей ?) комплиментарных полевых транзисторов с изолированными затворами и с индуцированными каналами ?) операционных усилителей с использованием высокочастотных биполярных транзисторов ?) дифференциального усилителя с использованием высокочастотных биполярных транзисторов |
Copyright tests.ithead.ru 2013-2026

(
), выполняет логическую операцию …
(
), выполняет логическую операцию …