Список вопросов базы знанийАлгебра и начала анализа (11 класс)Вопрос id:661061 Решив систему уравнений, запишите, сколько пар решений она имеет
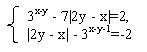
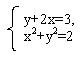
Вопрос id:661062 Решите систему уравнений
?) (2;0; -1), (-2;4;3) ?) (-1;0; 2), ( ?) (2;0; -1), (- ?) (- Вопрос id:661063 Найдите площадь фигуры, заданной системой неравенств
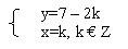
Вопрос id:661064 Применяя графический метод, определите, сколько пар решений имеет система уравнений
Вопрос id:661065 Применяя графический метод, определите, сколько пар решений имеет система уравнений
Вопрос id:661066 Решив систему уравнений, определите значение суммы х+у
Вопрос id:661067 Решив систему уравнений, определите значение суммы х+у
Вопрос id:661068 Решив систему уравнений, определите значение суммы х+у
Вопрос id:661069 Решить систему уравнений
?) (1;-2) ?) (3;2) ?) (-1;2) ?) (2;1) Вопрос id:661070 Решить систему уравнений
?) ?) ?) (0,5;-1) ?) (0;-1) Вопрос id:661071 Решить систему уравнений
?) (-1;2) ?) (3;2) ?) (1;-2) ?) (2;-1) Вопрос id:661072 Решить систему уравнений
?) (2;1), (-2;0) ?) (0;2,5), (-2,5;0) ?) (0;-2), (-2;0) ?) (0;2), (-2;0) Вопрос id:661073 Решить систему уравнений
?) (-1;0) ?) (0;-1) ?) (0;-1), (-1;0) ?) (0;-2), (-1;0) Вопрос id:661074 Решить систему уравнений
?) (0;-2), (-2;0) ?) (2;1) ?) (3;2) ?) (0;2,5), (-2,5;0) Вопрос id:661075 Решить систему уравнений
?) (3;2) ?) (2; -1) ?) (0;-2), (-2;0) ?) (0;2), (-2;0) Вопрос id:661076 Сколько пар решений имеет система уравнений
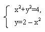
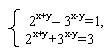
Вопрос id:661077 Сколько пар решений имеет система уравнений
Вопрос id:661078 Составьте математическую модель для решения следующей задачи Три трактора вспахивают поле. Чтобы вспахать все поле, первому трактору требуется времени на 1 ч больше, чем второму, и на 2 ч меньше, чем третьему. Первый и третий тракторы при совместной работе вспашут все поле за 2 ч 24 мин. Сколько времени уйдет на вспашку поля при совместной работе трех тракторов? ?) ![]() ?) ![]() ?) ![]() ?) ![]() Вопрос id:661079 Найдите площадь фигуры, заданной системой неравенств
Вопрос id:661080 Найдите площадь фигуры, заданной системой неравенств
Вопрос id:661081 Решив систему уравнений, определите значение суммы х+у
Вопрос id:661082 Графиком какого уравнения является график, представленный на рисунке?
?) |у|= ?) х= ?) у= ?) у= Вопрос id:661083 Множество точек, удовлетворяющих неравенству
?) ![]() ?) ![]() ?) ![]() ?) ![]() Вопрос id:661087 Решив графически систему уравнений, определите значение х+у
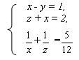
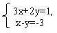
Вопрос id:661088 Решив систему уравнений, определите значение суммы х+у
Вопрос id:661089 Решив систему уравнений, определите значение суммы х+у
Вопрос id:661090 Решив систему уравнений, определите значение суммы х+у
Вопрос id:661091 Решив систему уравнений, определите значение суммы х+у
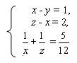
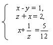
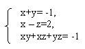
Вопрос id:661092 Решив систему уравнений, определите значений суммы x+y+z
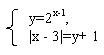
Вопрос id:661093 Решить графически систему уравнений
?) (1;2) ?) (2;1) ?) (1;1) ?) (0;1) Вопрос id:661094 Сколько пар решений имеет система уравнений?
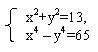
Вопрос id:661096 Решить систему уравнений
?) ( ?) (0;2) ?) ( ?) (1;0) Вопрос id:661097 Решить систему уравнений
?) (1;1), ?) (0;1), ?) ?) (1;1), Вопрос id:661098 Решить систему уравнений
?) (-1;2;1) ?) (-2;-1;1)) ?) (1;-2;-1) ?) (-1;3;2) Вопрос id:661099 Решить систему уравнений
?) (-1;0;-3), ( ?) ( -3;2; -5), (1; -2; -1) ?) (-1;0;-3) ?) ( Вопрос id:661100 Решить систему уравнений
?) ?) ?) ?) Вопрос id:661101 Решить систему уравнений
?) (1,5;3) ?) (2;1) ?) (3;2) ?) (2;1), (1,5;1,5) Вопрос id:661102 Составьте систему уравнений для решения следующей задачи. Три бригады, работая вместе, выполняют норму по изготовлению подшипников за некоторое время. Если бы первые две бригады работали в 2 раза медленнее, а третья бригада – в 4 раза быстрее, то норма была бы выполнена за то же время. Известно, что первая и вторая бригады при совместной работе выполняют норму в два раза быстрее, чем вторая бригада совместно с третьей. Во сколько раз первая бригада производит подшипников за 1 час больше, чем третья? ?) 0,5a+0,5b+c=a+b+4c a+b=2(b+c) ?) 0,5a+0,5b+4c=a+b+c a+b=2(b+c) ?) 0,5a+0,5b+4c=a+b+c 2(a+b)=b+c ?) 2a+2b+4c=a+b+c a+b=2(b+c) Вопрос id:661103 Верны ли утверждения : А) Две системы уравнений называют равносильными, если они имеют одни и те же решения или если обе системы не имеют решений. В) Все пары значений (х; у), которые являются решением первого или второго уравнений системы, называют решением системы уравнений ?) А – да, В - нет ?) А – да, В - да ?) А – нет, В - да ?) А – нет, В - нет Вопрос id:661104 Верны ли утверждения: А) Рациональное уравнение с несколькими переменными называется диофантово уравнение. В) Целое рациональное уравнение с несколькими переменными и с целочисленными коэффициентами, для которого необходимо найти рациональные решения, называется диофантово уравнение ?) А – да, В - нет ?) А – да, В - да ?) А – нет, В - да ?) А – нет, В - нет Вопрос id:661105 Найти целочисленные решения уравнения 4х2 - у2 =11 ?) (3;5), (-3;-5), (5;3), (-5;-3) ?) (2;5), (-2;-5), (5;2), (-5;-2) ?) (3;10), (-3;-10), (10;3), (-10;-3) ?) (2;6), (-2;-6), (6;2), (-6;-2) Вопрос id:661106 Найти целочисленные решения уравнения 5х + у =17 ?) ?) ?) ![]() ?) Вопрос id:661107 Найти целочисленные решения уравнения х + 2у =7 ?) ![]() ?) ?) ?) Вопрос id:661108 Найти целочисленные решения уравнения х2 - 9у2 =19 ?) (3;10), (-3;-10), (10;3), (-10;-3) ?) (2;6), (-2;-6), (6;2), (-6;-2) ?) (3;5), (-3;-5), (5;3), (-5;-3) ?) (2;5), (-2;-5), (5;2), (-5;-2) Вопрос id:661109 Составить уравнение параболы у = ах2 + bх + с, если известно, что она проходит через точки (1; 1), (2; 2) и (-1; 11) ?) у = -2х2 + 3х + 4 ?) у = 3х2 - 5х + 3 ?) у = 2х2 - 5х + 4 ?) у = х2 + 5х + 2 Вопрос id:661110 Графиком уравнения х2+7ху – 18у2=0 является график ?) ![]() ?) ![]() ?) ![]() ?) ![]() Вопрос id:661111 Найдите площадь фигуры, заданной неравенством 2|х|+3|у|≤6 Вопрос id:661112 Найдите площадь фигуры, заданной неравенством |х|+|у|≤4 Вопрос id:661113 Составить уравнение параболы у = ах2 + bх + с, если известно, что она проходит через точки (-1; 6), (2; 9) и (1; 2) ?) у = 3х2 - 2х + 1 ?) у = 3х2 + 2х - 1 ?) у = х2 - х + 3 ?) у = 2х2 - 3х + 1 Вопрос id:661114 Составить уравнение параболы у = ах2 + bх + с, если известно, что она проходит через точки (1; -2), (-1; 8) и (2; -1) ?) у = 2х2 - 5х + 1 ?) у = х2 - 2х + 4 ?) у = 3х2 - 2х + 1 ?) у = 2х2 - 5х + 4 |














































