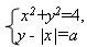
Список вопросов базы знанийАлгебра и начала анализа (11 класс)Вопрос id:662318 Найти все значения а, при каждом из которых уравнение 4x-| 3x - |x + a||= 9 |x- 1| имеет хотя бы один корень ?) [-10; 4] ?) [-8; 6] ?) (-∞;-10]U[4;+∞) ?) (-∞;-8]U[6;+∞) Вопрос id:662319 Найти все значения параметра а, при которых имеет ровно два решения система уравнений ![]() ?) (1;2) ?) (2;3) ?) (1,5;3) ?) (0;1) Вопрос id:662320 Найти значение параметра а, при которых имеет единственное решение система уравнений Вопрос id:662321 Найти наименьшее целое значение параметра а, при которых уравнение 7x+a + 37х+а=х2–3х+4а+ Вопрос id:662322 При каких значениях модуля параметра │а│ функция y=x3+3ax2+18x+12 имеет одну точку экстремума? Вопрос id:662323 При каких положительных значениях параметра k прямая y=kx-4 пересекает параболу y=x2+x+5 в двух различных точках? ?) (5;+∞) ?) (4;+∞) ?) (7;+∞) ?) (8;+∞) Вопрос id:662324 Верны ли утверждения? А) tg(x + p) = tgx для любого x, принадлежащего области определения функции y= tgx В) tg(x + 2p) = tgx для любого x, принадлежащего области определения функции y= tgx Подберите правильный ответ ?) А - нет, В - да ?) А - да, В - нет ?) А - да, В - да ?) А - нет, В - нет Вопрос id:662325 Верны ли утверждения? А) Всегда, когда говорят, что дана функция y = f(x), считают, что уже дана область ее определения X - она либо указана явно, либо есть область существования этой функции (и тогда ее можно найти) В) В тех случаях, когда функция задана формулой и не указана ее область определения, областью определения функции считают область ее существования Подберите правильный ответ ?) А - да, В - да ?) А - да, В - нет ?) А - нет, В - нет ?) А - нет, В - да Вопрос id:662326 Верны ли утверждения? А) График любой четной функции y = f(x) с областью определения X симметричен относительно оси ординат В) График любой нечетной функции y = f(x) с областью определения X симметричен относительно начала координат Подберите правильный ответ ?) А - да, В - нет ?) А - нет, В - да ?) А - да, В - да ?) А - нет, В - нет Вопрос id:662327 Верны ли утверждения? А) График функции y = f(-x) получается из графика функции y = f(x) симметричным отображением последнего относительно оси Оy В) График функции y = -f(x) получается из графика функции y = f(x) симметричным отображением последнего относительно Оx Подберите правильный ответ ?) А - нет, В - да ?) А - нет, В - нет ?) А - да, В - нет ?) А - да, В - да Вопрос id:662328 Верны ли утверждения? А) Графики функций y = f(x) и y = -f(x) симметричны относительно оси Ох В) Графики функций y = f(x) и y = f(-x) симметричны относительно оси Оy Подберите правильный ответ ?) А - нет, В - нет ?) А - да, В - нет ?) А - нет, В - да ?) А - да, В - да Вопрос id:662329 Верны ли утверждения? А) Для любого х0 функция y = 2x имеет предел при х→х0 и он равен В) Функция y = f(x) имеет предел при x→а, равный числу А, если она определена в некоторой окрестности точки а, исключая, быть может, саму точку а, и если для любого положительного числа e найдется такое положительное число d, что для любого x, такого, что 0<|x-а|<d, выполняется неравенство |f(x)- А| <e Подберите правильный ответ ?) А - нет, В - да ?) А - да, В - да ?) А - нет, В - нет ?) А - да, В - нет Вопрос id:662330 Верны ли утверждения? А) Для того чтобы найти все нули функции y=f(x), надо найти все корни уравнения f(x)=0 В) Говорят, что функция y = f(x) в точке x имеет знак « + », если в этой точке f(x)>0, и знак «-», если в этой точке f(x)<0 Подберите правильный ответ ?) А - да, В - да ?) А - да, В - нет ?) А - нет, В - да ?) А - нет, В - нет Вопрос id:662331 Верны ли утверждения? А) Для того, чтобы найти все промежутки знакопостоянства функции y = f(x), надо найти все решения неравенств f(x)>0 и f(x)<0 В) Если найдены все промежутки знакопостоянства функции y = f(x), то говорят, что определено распределение знаков этой функции Подберите правильный ответ ?) А - нет, В - да ?) А - да, В - да ?) А - да, В - нет ?) А - нет, В - нет Вопрос id:662332 Верны ли утверждения? А) Если существуют левый и правый пределы функции y = f(x) в точке а и оба они равны А, то говорят, что эта функция имеет предел в точке а, равный А В) Если существуют левый и правый пределы функции y = f(x) в точке а и оба они равны А, то пишут: Подберите правильный ответ ?) А - да, В - да ?) А - да, В - нет ?) А - нет, В - да ?) А - нет, В - нет Вопрос id:662333 Верны ли утверждения? А) Значения функции В) Пределом функции y = х3 при x→+∞ является +∞ Подберите правильный ответ ?) А - нет, В - да ?) А - нет, В - нет ?) А - да, В - нет ?) А - да, В - да Вопрос id:662334 Верны ли утверждения? А) Каждая из функций y = sinx и y = cosx имеет главный период 2p, а их произведение, т.е функция В) Функция y = sinx + cos x, имеет главный период 2p Подберите правильный ответ ?) А - да, В - да ?) А - нет, В - да ?) А - нет, В - нет ?) А - да, В - нет Вопрос id:662335 Верны ли утверждения? А) Наибольшее значение 1 функция В) Наименьшего значения функция Подберите правильный ответ ?) А - да, В - нет ?) А - да, В - да ?) А - нет, В - да ?) А - нет, В - нет Вопрос id:662336 Верны ли утверждения? А) Наряду с четными и нечетными функциями есть функции, не являющиеся ни четными, ни нечетными В) График любой нечетной функции y = f(x) с областью определения X симметричен относительно оси абсцисс Подберите правильный ответ ?) А - да, В - да ?) А - нет, В - нет ?) А - да, В - нет ?) А - нет, В - да Вопрос id:662337 Верны ли утверждения? А) Нельзя утверждать, что если каждая из двух функций имеет главный период Т, то их сумма, разность, произведение и частное имеют всегда главный период Т В) Функция Подберите правильный ответ ?) А - нет, В - нет ?) А - нет, В - да ?) А - да, В - да ?) А - да, В - нет Вопрос id:662338 Верны ли утверждения? А) Нулей y функции y = ех нет В) Функция y = ех определена и положительна на промежутке (-∞; + ∞), т. е. она имеет знак «+» на этом промежутке Подберите правильный ответ ?) А - да, В - нет ?) А - нет, В - да ?) А - да, В - да ?) А - нет, В - нет Вопрос id:662339 Верны ли утверждения? А) Область изменения функции В) Функция Подберите правильный ответ ?) А - да, В - да ?) А - да, В - нет ?) А - нет, В - да ?) А - нет, В - нет Вопрос id:662340 Верны ли утверждения? А) Периодическая функция - функция y = f(x) с областью определения X, для которой существует число Т≠0, такое, что для любого x⊂ X число (x + Т) ⊂ Х, число (x-Т) ⊂ X и справедливо равенство f(x + T) = f(x) В) Для периодической функции имеет место равенство f(x-T) - f(x) Подберите правильный ответ ?) А - да, В - да ?) А - да, В - нет ?) А - нет, В - да ?) А - нет, В - нет Вопрос id:662341 Верны ли утверждения? А) Пределом функции y = x0 при x, стремящемся к 0, является число 1 В) Функция y = x0 определена для всех действительных x, кроме x = 0, так как запись 00 не имеет смысла Подберите правильный ответ ?) А - да, В - нет ?) А - да, В - да ?) А - нет, В - нет ?) А - нет, В - да Вопрос id:662342 Верны ли утверждения? А) Про функцию y = f{x) говорят, что она принимает на множестве X наименьшее значение в точке х0, если х0 ⊂ Х и f(x0) ≤ f(x) для всех х ⊂ Х В) Говорят, что функция y = f(x) принимает на множестве X наибольшее значение в точке х0, если х0 ⊂ X и f(x0) ≥ f(x) для всех x ⊂ X Подберите правильный ответ ?) А - нет, В - нет ?) А - нет, В - да ?) А - да, В - нет ?) А - да, В - да Вопрос id:662343 Верны ли утверждения? А) Произведение двух функций, каждая из которых имеет область существования X и период Т, есть функция с областью существования X и с периодом Т В) Частное двух функций, каждая из которых имеет область существования X и период Т, есть функция с областью существования X и с периодом Т Подберите правильный ответ ?) А - нет, В - да ?) А - да, В - нет ?) А - да, В - да ?) А - нет, В - нет Вопрос id:662344 Верны ли утверждения? А) Произведение двух функций, каждая из которых имеет область существования X и период Т, есть функция с областью существования X и с периодом Т×T = T2 В) Частное двух функций, каждая из которых имеет область существования X и период Т, есть функция с областью существования X и с периодом Т/T = 1 Подберите правильный ответ ?) А - нет, В - да ?) А - нет, В - нет ?) А - да, В - нет ?) А - да, В - да Вопрос id:662345 Верны ли утверждения? А) Сумма двух функций, каждая из которых имеет область существования X и период Т, есть функция с областью существования X и с периодом Т+T = 2T В) Разность двух функций, каждая из которых имеет область существования X и период Т, есть функция с областью существования X и с периодом Т-T = 0 Подберите правильный ответ ?) А - да, В - да ?) А - нет, В - нет ?) А - нет, В - да ?) А - да, В - нет Вопрос id:662346 Верны ли утверждения? А) Сумма двух функций, каждая из которых имеет область существования X и период Т, есть функция с областью существования X и с периодом Т В) Разность двух функций, каждая из которых имеет область существования X и период Т, есть функция с областью существования X и с периодом Т Подберите правильный ответ ?) А - нет, В - нет ?) А - да, В - нет ?) А - да, В - да ?) А - нет, В - да Вопрос id:662347 Верны ли утверждения? А) Существуют функции, график которых изобразить невозможно В) Если график функции y = f(x), заданной на промежутке, есть непрерывная линия, полученная непрерывным движением карандаша без отрыва его острия от бумаги, то эту функцию называют непрерывной на этом промежутке Подберите правильный ответ ?) А - да, В - да ?) А - нет, В - нет ?) А - да, В - нет ?) А - нет, В - да Вопрос id:662348 Верны ли утверждения? А) У функции В) У функции Подберите правильный ответ ?) А - нет, В - да ?) А - нет, В - нет ?) А - да, В - нет ?) А - да, В - да Вопрос id:662349 Верны ли утверждения? А) Функции y = f(x) + B, где В≠0, и y = f(x) имеют одну и ту же область определения В) График функции y = f(x) + B получается сдвигом графика функции y = f(x) вдоль оси Оу на величину |В| вверх, если В>0, и вниз, если В<0 Подберите правильный ответ ?) А - нет, В - да ?) А - да, В - нет ?) А - нет, В - нет ?) А - да, В - да Вопрос id:662350 Верны ли утверждения? А) Функции y = f(x) и y = Bf(x), где В≠0, В≠1, имеют одну и ту же область определения В) График функции y = Bf(x) получается растяжением в В раз (В>1) вдоль оси Оу графика функции y = f(x) Подберите правильный ответ ?) А - да, В - нет ?) А - да, В - да ?) А - нет, В - нет ?) А - нет, В - да Вопрос id:662351 Верны ли утверждения? А) Функция В) Функция Подберите правильный ответ ?) А - нет, В - да ?) А - да, В - да ?) А - нет, В - нет ?) А - да, В - нет Вопрос id:662352 Верны ли утверждения? А) Функция В) Функция y = С (константа) имеет периодом любое число Т≠0 Подберите правильный ответ ?) А - нет, В - да ?) А - да, В - да ?) А - нет, В - нет ?) А - да, В - нет Вопрос id:662353 Верны ли утверждения? А) Функция В) Функция Подберите правильный ответ ?) А - нет, В - да ?) А - да, В - нет ?) А - да, В - да ?) А - нет, В - нет Вопрос id:662354 Верны ли утверждения? А) Функция В) Функция Подберите правильный ответ ?) А - да, В - да ?) А - нет, В - нет ?) А - нет, В - да ?) А - да, В - нет Вопрос id:662355 Верны ли утверждения? А) Функция В) Функция Подберите правильный ответ ?) А - нет, В - да ?) А - да, В - нет ?) А - да, В - да ?) А - нет, В - нет Вопрос id:662356 Верны ли утверждения? А) Функция y = cos x имеет главный период Т = 2p В) Функция y = ctg x имеет главный период Т = p Подберите правильный ответ ?) А - да, В - да ?) А - нет, В - нет ?) А - нет, В - да ?) А - да, В - нет Вопрос id:662357 Верны ли утверждения? А) Функция y = cos x имеет главный период Т = p В) Функция y = ctg x имеет главный период Т = 2p Подберите правильный ответ ?) А - нет, В - да ?) А - нет, В - нет ?) А - да, В - нет ?) А - да, В - да Вопрос id:662358 Верны ли утверждения? А) Функция y = f(x-a), где a≠0, определена для всех x, таких, что (x-а) принадлежит области определения функции y = f(x) В) График функции y=f(x-a) (где (x-а) принадлежит области определения функции y = f(x)) получается сдвигом вдоль оси Ох на величину |а| графика функции y = f(x) влево, если a >0, и вправо, если а<0 Подберите правильный ответ ?) А - нет, В - да ?) А - да, В - нет ?) А - да, В - да ?) А - нет, В - нет Вопрос id:662359 Верны ли утверждения? А) Функция y = log0,5x - убывающая на полуинтервале (-∞; 0] В) Функции y = log0,5x и у = 0,5х - убывающие на интервале (0; +∞) Подберите правильный ответ ?) А - да, В - нет ?) А - да, В - да ?) А - нет, В - да ?) А - нет, В - нет Вопрос id:662360 Верны ли утверждения? А) Функция y = log2x на интервале (0; +∞) убывает В) Функция y = 2x на интервале (0; +∞) возрастает Подберите правильный ответ ?) А - да, В - нет ?) А - нет, В - нет ?) А - нет, В - да ?) А - да, В - да Вопрос id:662361 Верны ли утверждения? А) Функция y = log2x на множестве (0; +∞) имеет наименьшее значение y = 0 В) Функция y = log2x на множестве (0; +∞) наибольшего значения не имеет Подберите правильный ответ ?) А - да, В - да ?) А - нет, В - нет ?) А - да, В - нет ?) А - нет, В - да Вопрос id:662362 Верны ли утверждения? А) Функция y = sin x имеет главный период Т = 2p В) Функция y = tg x имеет главный период Т = p Подберите правильный ответ ?) А - да, В - да ?) А - нет, В - да ?) А - нет, В - нет ?) А - да, В - нет Вопрос id:662363 Верны ли утверждения? А) Функция y = sin x имеет главный период Т = p В) Функция y = tg x имеет главный период Т = 2p Подберите правильный ответ ?) А - нет, В - нет ?) А - нет, В - да ?) А - да, В - да ?) А - да, В - нет Вопрос id:662364 Верны ли утверждения? А) Функция y = sinx определена на множестве X = (-∞; +∞) и имеет периодом число Т = 2p В) sin(x + p) = sinx Подберите правильный ответ ?) А - нет, В - нет ?) А - да, В - да ?) А - нет, В - да ?) А - да, В - нет Вопрос id:662365 Верны ли утверждения? А) Функция y = tgx определена на множестве X всех x, кроме точек В) Функция y = tgx имеет периодом число Т = Подберите правильный ответ ?) А - нет, В - нет ?) А - нет, В - да ?) А - да, В - нет ?) А - да, В - да Вопрос id:662366 Верны ли утверждения? А) Функция В) Функция Подберите правильный ответ ?) А - нет, В - да ?) А - да, В - нет ?) А - да, В - да ?) А - нет, В - нет Вопрос id:662367 Верны ли утверждения? А) Функция В) Функция Подберите правильный ответ ?) А - нет, В - нет ?) А - да, В - да ?) А - нет, В - да ?) А - да, В - нет |
