Тесты онлайн, бесплатный конструктор тестов. Психологические тестирования, тесты на проверку знаний.
Список вопросов базы знанийАлгебра и начала анализа (11 класс)Вопрос id:661317 Разность значений функции в точках x+Dх и x называют приращением ___ Вопрос id:661318 Расположите по порядку действия необходимые для вычисления максимума и минимума функции f(x) на отрезке [a; b] ?) приравнивание решение уравнения f ’(x) = 0 ?) вычисление значения функции в точках, где f ’(x) = 0: x1, x2 … xn. ?) нахождение производной f ’(x) ?) нахождение наибольшего и наименьшего из чисел f(a), f(b), f(x1), f(x2) …f(xn) Вопрос id:661319 Результат выполнения дифференцирования функции называют ___ Вопрос id:661320 Сумму Вопрос id:661321 Тангенс угла наклона касательной к графику функции f(x) = 0,5х2-2х + 4 в точке с абсциссой x = 0 равен ___ ?) 2 ?) 4 ?) -2 ?) 3 Вопрос id:661322 Тангенс угла наклона касательной к графику функции f(x) = 2х2 - 2х + 10 в точке с абсциссой x = 2 равен ___ ?) 8 ?) 6 ?) 14 ?) 4 Вопрос id:661323 Тангенс угла наклона касательной к графику функции f(x) = 3х2 - 5х + 7 в точке с абсциссой x = 1 равен ___ ?) 8 ?) -2 ?) 5 ?) 1 Вопрос id:661324 Точки локального максимума и локального минимума функции y = f(x) называют точками ___ этой функции ?) локального мини-максимума ?) локального макси-минимума ?) локальной вершины ?) локального экстремума Вопрос id:661325 Точки, в которых производная функции равна нулю или не существует, называют ___ точками этой функции Вопрос id:661326 Точкой ___ максимума функции f(х) называют точку х0 отрезка [а; b], для которой существует отрезок [х0 - d; х0 + d] (d>0), целиком принадлежащий отрезку [а; b], на котором х0 является точкой максимума ?) локального ?) отрезочного ?) точечного ?) глобального Вопрос id:661327 Точкой ___ максимума функции f(х) называют точку х0 отрезка [а; b], для которой существует отрезок [х0 - d; х0 + d] (d>0), целиком принадлежащий отрезку [а; b], на котором х0 является точкой максимума Вопрос id:661328 Точкой ___ минимума функции f(x) называют точку х0 отрезка [а; b] , для которой существует отрезок [х0 - d; х0 + d] (d>0), целиком принадлежащий отрезку [а; b], на котором х0 является точкой минимума ?) точечного ?) локального ?) отрезочного ?) глобального Вопрос id:661330 Точку отрезка [а; b], в которой функция достигает максимума на этом отрезке, называют ___ ?) наибольшим значением аргумента ?) максимумом аргумента ?) точкой максимума ?) максимумом функции Вопрос id:661331 Точку отрезка [а; b], в которой функция достигает максимума на этом отрезке, называют точкой ___ Вопрос id:661332 Точку отрезка [а; b], в которой функция достигает минимума на этом отрезке, называют ___ ?) минимумом функции ?) минимумом аргумента ?) точкой минимума ?) наименьшим значением аргумента Вопрос id:661333 Точку отрезка [а; b], в которой функция достигает минимума на этом отрезке, называют точкой ___ Вопрос id:661334 Третья производная функции: f(x) = sin x равна f ‘’’(x) = ___ ?) -sin x ?) cos x ?) -cos x ?) sin x Вопрос id:661335 Третья производная функции: f(x) = cos x равна f ‘’’(x) = ___ ?) -cos x ?) -sin x ?) sin x ?) cos x Вопрос id:661336 Угол ___ касательной - угол между этой касательной и положительным направлением оси Ох ?) поворота ?) параллелизма ?) схождения ?) наклона Вопрос id:661337 Уравнение касательной к графику функции f(x) = x2, проходящей через точку графика с абсциссой х0 = -2 имеет вид: y = ___ ?) -4х2 - 4 ?) 2х ?) 2х - 2 ?) -4х – 4 Вопрос id:661338 Уравнение касательной к графику функции f(x) = -х2+ 6х - 7, параллельной прямой y = 4х + 5 имеет вид y + 2=4(x - 1), т.е. y = ___ ?) 6х - 7 ?) 4х - 6 ?) 4х + 2 ?) 4х Вопрос id:661339 Установите соответстви
Вопрос id:661340 Установите соответствие
Вопрос id:661341 Установите соответствие
Вопрос id:661342 Установите соответствие
Вопрос id:661343 Установите соответствие
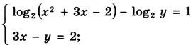
Вопрос id:661344 Функция f(x) = х3 - 3х2 на отрезке [-1; 4] достигает максимума (y =___) в точке x = 4 ?) -2 ?) -16 ?) 16 ?) 4 Вопрос id:661345 Функция f(x) = х3 - 3х2 на отрезке [-1; 4] достигает максимума в точке x = ___ ?) -1 ?) 1 ?) 4 ?) 2 Вопрос id:661346 Функция f(x) = х3 - 3х2 на отрезке [-1; 4] достигает минимума (y = ___) в двух точках: x = -1 и x = 2 ?) -4 ?) 4 ?) 0 ?) -1 Вопрос id:661347 Функция f(x) = х3 является ___ на всем интервале (-∞; + ∞) ?) невозрастающей ?) возрастающей ?) убывающей ?) неопределенной Вопрос id:661348 Функция f(x) = х3 является возрастающей ___ ?) только на полуинтервале [-∞; 0) ?) только на полуинтервале [0; + ∞) ?) только на интервале [0; + 1] ?) на всем интервале (-∞; + ∞) Вопрос id:661349 Четвертая производная функции: f(x) = sin x равна f (4)(x) = ___ ?) cos x ?) sin x ?) -cos x ?) -sin x Вопрос id:661350 Четвертая производная функции: f(x) = cos x равна f (4)(x) = ___ ?) sin x ?) -cos x ?) cos x ?) -sin x Вопрос id:661351 Четная функция - функция y = f(x) с областью определения X, для которой для любого х ⊂ Х число (-x) ⊂ Х и справедливо равенство ?) f(-x) = f(x) ?) f(-x) = -f(x) ?) f(-x) = -4f(x) ?) f(-x) = -2f(x) Вопрос id:661352 Число Dх называют ___ ?) приращением зависимой переменной ?) производной ?) приращением аргумента ?) приращением функции Вопрос id:661353 Число Dх называют ___ аргумента Вопрос id:661354 Широко употребляются следующие обозначения производной: ___ ?) y’x ?) df(x’) ?) x(y) ?) ?) y’ Вопрос id:661355 Сколько пар решений имеет система уравнений?
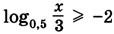
Вопрос id:661356 Найдите наименьшее целочисленное решение системы неравенств
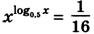
Вопрос id:661357 Вычислить 6log2125.log52+2 lg7. 5 lg7 Вопрос id:661358 Вычислить Вопрос id:661359 Найдите область определения функции f(x)=log x(37-2x)log7-2x3 ?) (0;3,5) ?) (0;1)U(1;3,5)U(3,5;18,5) ?) (0;1)U(1;3)U(3;3,5) ?) (0;18,5) Вопрос id:661360 Вычислить Вопрос id:661361 Известно, что log23=a. Найдите log3 ?) ?) ?) ?) - Вопрос id:661362 Известно, что log23=a. Найдите log49 ?) ?) 2a ?) ?) Вопрос id:661363 Найдите наибольшее целочисленное решение неравенства Вопрос id:661364 Найдите наибольшее целочисленное решение неравенства Вопрос id:661365 Найдите наибольшее целочисленное решение неравенства Вопрос id:661366 Найдите наибольший корень уравнения Вопрос id:661367 Найдите наименьшее целочисленное решение неравенства |
Copyright tests.ithead.ru 2013-2026

