Тесты онлайн, бесплатный конструктор тестов. Психологические тестирования, тесты на проверку знаний.
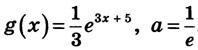
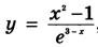
Список вопросов базы знанийАлгебра и начала анализа (11 класс)Вопрос id:661420 Найдите значение производной функции у=е3х-1 в точке х0= Вопрос id:661421 Найдите значение производной функции у=е4-9х в точке х0= Вопрос id:661422 Найдите значение производной функции у=ех+х2 в точке х0=0 Вопрос id:661423 Найдите значение производной функции у=хех в точке х0=1 ?) 2е ?) 2+е ?) 1+е ?) е Вопрос id:661424 Найдите наибольшее целое решение неравенства g′(x)<a, если Вопрос id:661425 Найдите наибольшее целое решение неравенства g′(x)<a, если ![]() Вопрос id:661426 Найдите наименьшее и наибольшее значения функции у=х-lnx на отрезке [ ?) уmin=-1; уmax=e-1 ?) уmin=1; уmax=e ?) уmin=1; уmax=e-1 ?) уmin=1; уmax=e2 Вопрос id:661427 Найдите наименьшее и наибольшее значения функции у=х-lnx на отрезке [е;e2] ?) уmin=e-1; уmax=e2 ?) уmin=1; уmax=e-1 ?) уmin=e-1; уmax=e2-2 ?) уmin=e-2; уmax=e2-2 Вопрос id:661428 Найдите производную функции ?) -sin ?) sin ?) -cos ?) -sin Вопрос id:661429 Найдите производную функции у=12х3-ех ?) 36х2-хех-1 ?) 3х2- ?) 15х2-хех-1 ?) 36х2-ех Вопрос id:661430 Найдите производную функции у= ?) ?) 3 ?) ?) Вопрос id:661431 Найдите производную функции у= ?) 1- ?) ?) ?) Вопрос id:661432 Найдите производную функции у=х3ех ?) 3х2ех+х4ех-1 ?) 3х2ех ?) 3х2ех+х3ех ?) 3х3ех-1 Вопрос id:661433 Решите уравнение f ′(x)=a, если Вопрос id:661434 Решить уравнение 4х+2-11.4х=80 Вопрос id:661435 Составьте уравнение касательной к графику функции y=x5 – lnх в точке а=1 ?) у=4х-3 ?) у=5х-4 ?) у=5х-3 ?) у=х-3 Вопрос id:661436 Составьте уравнение касательной к графику функции ?) у=-2 ?) у=-2х ?) у=2-х ?) у=-2+х Вопрос id:661437 Вычислить Вопрос id:661438 Вычислить Вопрос id:661439 Вычислить Вопрос id:661440 Вычислить ?) ?) ?) ?) Вопрос id:661441 Известно, что lgx=2lgy-lgz+0,5lgt. Выразить x через y, z, t ?) x= ?) x= ?) x= ?) x= Вопрос id:661442 Найдите значение выражения ?) 12log35 ?) 625 ?) 20 ?) log320 Вопрос id:661443 Найдите наименьшее значение функции у= Вопрос id:661445 Найдите экстремумы функции ?) х=ln ?) х=ln ?) х=ln ?) х=ln Вопрос id:661446 Расположите числа по убыванию ?) log0,2 ?) log0,23 ?) log0,22,7 ?) log0,2 Вопрос id:661447 Решить неравенство 16≤2х+3 ?) [7;+∞) ?) (-∞;-1] ?) -3 ?) [1;+ ∞) Вопрос id:661448 Решить неравенство 52-3x-1≥0 ?) (-∞; ?) [ ?) ( ?) (-∞; Вопрос id:661449 Решить неравенство 54x+6≤125x ?) (-∞;6] ?) [-2;+ ∞) ?) [-6;+ ∞) ?) [-∞;-2] Вопрос id:661450 Решить неравенство ?) (-∞; ?) (3;+ ∞) ?) (-∞;- ?) (-∞;3) Вопрос id:661451 Решить уравнение 7x+1-5 . 7х=98 Вопрос id:661452 Составьте уравнение касательной к графику функции y= -2xlnx в точке a = e ?) -4x+2e ?) -x+2e ?) 4x-2e ?) x-e Вопрос id:661453 Укажите верные утверждения ?) если а > 1, то показательное неравенство аf(х)> ag(x) равносильно неравенству противоположного смысла: f(x) < g(x) ?) если 0 < а < 1, то показательное неравенство аf(х)> ag(x) равносильно неравенству противоположного смысла: f(x) < g(x) ?) если а > 1, то показательное неравенство аf(х)> ag(x) равносильно неравенству того же смысла: f(x) > g(x) ?) если 0 < а < 1, то показательное неравенство аf(х)> ag(x) равносильно неравенству того же смысла: f(x) > g(x) Вопрос id:661454 Укажите промежуток, которому принадлежит корень уравнения ?) [1;3) ?) [3;5) ?) [-2;-1) ?) [-1;1) Вопрос id:661455 Установите соответствие между левой и правой частью формулы
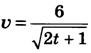
Вопрос id:661457 Через точку с абсциссой х0=2 проведена касательная к графику функции у=е-х+2. Найдите тангенс угла наклона этой касательной к оси абсцисс Вопрос id:661458 Верны ли следующие утверждения? А) Если у = F(x) - первообразная для функции у = f(x), то первообразной для функции у = f(kx + m) служит функция у= В) Если у = F(x) - первообразная для функции у = f(x) на промежутке Х, то у функции у = f(x) бесконечно много первообразных, и все они имеют вид у = F(x) Подберите правильный ответ ?) А - да; В - нет ?) А - нет; В - нет ?) А - нет; В - да ?) А - да; В - да Вопрос id:661459 Будет ли функция F(x)= ?) да ?) нет Вопрос id:661460 Будет ли функция ?) да ?) нет Вопрос id:661461 Задан закон изменения скорости от времени v = -5sin2t. Найти закон движения s=s(t), если известно, что в момент времени t = 0 координата точки была равна 1,5 (т. е. s(0) = 1,5) ?) 2,5 sin2х - 1 ?) 2,5 cos 2х-2 ?) 2,5 cos2х - 1 ?) 5 cos 2х-1 Вопрос id:661462 Задан закон изменения скорости от времени v = 1+2t. Найти закон движения s=s(t), если известно, что в момент времени t = 2 координата точки была равна 5 ?) t2+t-1 ?) t2+t-2 ?) t2+t+1 ?) t2+t+2 Вопрос id:661463 Задан закон изменения скорости от времени . Найти закон движения s=s(t), если известно, что в момент времени t = 0 координата точки была равна 3?) 6 ?) 6 ?) 3 ?) 6 Вопрос id:661467 Найдите хотя бы одну первообразную функции f(x)=2cos2x+4sin4x ?) 2sin2x+4cos4x ?) sin2x-cos4x ?) 2sin2x-4cos4x ?) sin2x+cos4x Вопрос id:661468 Укажите первообразную функции у=2-sinx ?) 2+cosx ?) x2+cosx ?) 2x-cosx ?) 2x+cosx Вопрос id:661469 Для функции f(x)= - ?) ?) - ?) ?) Вопрос id:661470 Для функции f(x)= ?) ?) ?) ?) - Вопрос id:661471 Для функции f(x)= ?) ?) 12 ?) -12 ?) 6 Вопрос id:661472 Для функции f(x)=2cos2 ?) ?) -sinx+15 ?) sinx+15 ?) cosx+16 Вопрос id:661473 Для функции f(x)=2cosx найдите ту первообразную, график которой проходит через точку M( ?) 2cosx+22 ?) 2sinx+22 ?) 2sinx+24 ?) -2sinx+26 Вопрос id:661474 Для функции f(x)=sinx найдите ту первообразную, график которой проходит через точку M( ?) -cosx+ ?) -cosx+ ?) cosx+ ?) cosx+ |
Copyright tests.ithead.ru 2013-2026

. Найти закон движения s=s(t), если известно, что в момент времени t = 0 координата точки была равна 3