Тесты онлайн, бесплатный конструктор тестов. Психологические тестирования, тесты на проверку знаний.
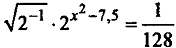
Список вопросов базы знанийАлгебра и начала анализа (11 класс)Вопрос id:661894 Найдите производную функции ?) 3x2+ ?) 3x2- ?) 3x2- ?) 3x2+ Вопрос id:661895 Найдите угол, образованный касательной функции y= -3 ?) ?) ?) ?) Вопрос id:661896 Найдите угол, образованный касательной функции y= ?) ?) ?) ?) Вопрос id:661897 Найти наибольшее значение функции у = 3х+1 + 2 на отрезке [-2; 2] Вопрос id:661898 Найти производную ?) ?) ?) ?) Вопрос id:661899 Провести касательную к графику функции у = ln x в точке х = е ?) у =ex ?) у =2x ?) у =- ?) у = Вопрос id:661900 Решите неравенство ?) (-∞;1]U [2;+ ∞) ?) [-1;1] ?) (-∞;-1]U [1;+ ∞) ?) [-1;2] Вопрос id:661901 Решите систему уравнений ![]() ?) x=2, y= ?) x=2, y=2 ?) x=2, y=2 ?) нет решений Вопрос id:661902 Решите уравнение log Вопрос id:661903 Решить неравенство log ?) [0;2] ?) (0;2) ?) [1;8] ?) [0;4] Вопрос id:661904 Решить уравнение ?) 3 ?) ?) ?) 27 Вопрос id:661905 Решить уравнение ?) 1 ?) ±1 ?) -1 ?) -0,5 Вопрос id:661906 Сократите дробь, считая, что переменные принимают только неотрицательные значения ![]() ?) ?) a ?) ?) a Вопрос id:661907 Составьте уравнение касательной к графику функции y= ?) ?) ?) ?) Вопрос id:661908 Расположите числа в порядке возрастания: ?) ?) ?) ?) -1 Вопрос id:661909 Упростить выражение ( ?) ?) ?) ?) Вопрос id:661910 Упростить выражение - +?) cb ?) b-c ?) 3с ?) с Вопрос id:661911 Верно ли равенство ?) да ?) нет Вопрос id:661912 Верно ли равенство Вопрос id:661913 Найдите абсциссу точки графика функции у=5+4х-х2, в которой угловой коэффициент касательной равен нулю Вопрос id:661914 Найдите значение функции в точке максимумаВопрос id:661915 Найдите наименьшее значение функции Вопрос id:661916 Найдите угловой коэффициент касательной к графику функции y= x-1+x-2 в точке a=1 Вопрос id:661917 Найдите угол, образованный касательной к графику функции y= ?) ?) ?) ?) Вопрос id:661918 Найти наибольший корень уравнения ( Вопрос id:661920 Расположите числа в порядке убывания ?) ?) ?) ?) Вопрос id:661921 Решить уравнение 32х+3 . 33х+1 . 625х+2=600х+7 Вопрос id:661922 Решить уравнение Вопрос id:661923 Решить уравнение Вопрос id:661924 Решить уравнение ?) { ?) { ?) {3; 9} ?) { Вопрос id:661925 Решить уравнение =2log3(3Вопрос id:661926 Решить уравнение log22x+7log2x+49= ![]() Вопрос id:661927 Установите соответствие между левой и правой частью формулы
Вопрос id:661928 Установите соответствие между левой и правой частью формулы
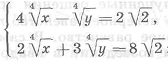
Вопрос id:661929 Чему равно значение выражения ?Вопрос id:661930 Решить систему уравнений
?) (6; 3), (6; -3), (-6; 3), (-6; -3) ?) (4; 2), (4; -2), (-4; 2), (-4; -2) ?) (3; 2), (3; -2), (-3; 2), (-3; -2) ?) (3; 4), (3; -4), (-3; 4), (-3; -4) Вопрос id:661931 Пусть (х0; у0) - решение системы Найдите произведение Вопрос id:661932 Пусть (x0; y0) – решение системы уравнений Найдите произведение x0 × y0 Вопрос id:661933 Решить уравнение arccos2 x - 8 arccos x +15 = 0 ?) -cos5 ?) -cos3 ?) cos3 ?) cos5 Вопрос id:661934 Решить уравнение sin7xcos4x = -1 ?) ?) πk ?) ?) Вопрос id:661935 Решить уравнение Вопрос id:661936 Решить уравнение 2 sin 4 x - sin2 x -1 = 0 ?) ?) πn ?) ± ?) 2πn Вопрос id:661937 Решить неравенство 3tg2x + ?) - ?) - ?) - ?) - Вопрос id:661938 Установите соответствие между левой и правой частью формулы
Вопрос id:661939 Упростить выражение ?) 0 ?) cosa + sina ?) 2cosa ?) cosa - sina Вопрос id:661940 Решить неравенство ?) –arccos(- ?) –arccos(- ?) –arccos(- ?) –arccos(- Вопрос id:661941 В комиссионном магазине цена товара, выставленного на продажу, ежемесячно уменьшается на одно и то же число процентов от предыдущей цены. Определите, на сколько процентов каждый месяц уменьшалась цена магнитофона, если, выставленный на продажу за 4000 рублей, после двух снижений он был продан за 2250 рублей. Вопрос id:661942 Вычислите площадь фигуры, ограниченной линиями Вопрос id:661943 Вычислить площадь фигуры, ограниченной графиками функций у=-х2+2х+5 и у= х2+2х-3 ?) ?) 20 ?) ?) 3 Вопрос id:661944 Найдите все значения х, при каждом из которых выражения принимают равные значения?) (-1)n+1 ?) (-1)n ?) ± ?) (-1)n+1 |
Copyright tests.ithead.ru 2013-2026


-
+
в точке максимума
=2log3(3
?


принимают равные значения