Тесты онлайн, бесплатный конструктор тестов. Психологические тестирования, тесты на проверку знаний.
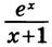
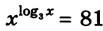
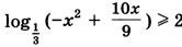
Список вопросов базы знанийАлгебра и начала анализа (11 класс)Вопрос id:661368 Найдите наименьшее целочисленное решение неравенства Вопрос id:661369 Найдите наименьшее целочисленное решение системы неравенств ![]() Вопрос id:661370 Найдите сумму корней уравнения (х+2) Вопрос id:661371 Найдите сумму корней уравнения Вопрос id:661372 Найдите сумму корней уравнения Вопрос id:661373 Найдите сумму корней уравнения lg2x - 3lgx + 2 = 0 Вопрос id:661374 Решите уравнение lg(x2-6)=lg(8+5x) ?) 7 ?) 8 ?) -2;8 ?) 7;-2 Вопрос id:661375 Решите уравнение log0,1(x2+4x-20)=0 ?) -4; 2 ?) 3 ?) -7 ?) -7; 3 Вопрос id:661376 Решите уравнение log0,2(12x+8)=log0,2(11x+7) ?) 1 ?) решений нет ?) -1 ?) 0 Вопрос id:661377 Решите уравнение log2x= log23+ log25 Вопрос id:661378 Решите уравнение log74= log7x- log79 Вопрос id:661379 Решите уравнение Вопрос id:661380 Решите уравнение Вопрос id:661381 Решите уравнение Вопрос id:661382 Решите уравнение ?) 9 ?) ±2 ?) ?) 9; Вопрос id:661383 Решите уравнение Вопрос id:661384 Решите уравнение ?) -5 ?) -5; 2 ?) -7; 3 ?) 2 Вопрос id:661385 Решить неравенство lg(7-x)+lgx>1 ?) (0,1;10) ?) ( ?) (2;5) ?) (-2;5) Вопрос id:661386 Решить неравенство log ?) (3;+ ∞) ?) (21;+ ∞) ?) (-∞;21) ?) (3;21) Вопрос id:661387 Решить неравенство log ?) (-10;20) ?) [-10;+ ∞) ?) (-0,1;20) ?) (-∞;-10) Вопрос id:661388 Решить неравенство ?) ( ?) ( ?) ( Вопрос id:661389 Решить неравенство ?) ( ?) (3;9) ?) (-3;9) ?) (- Вопрос id:661390 Решить неравенство ?) [ ?) ( ?) (4;6] ?) [ Вопрос id:661391 Решить неравенство ?) ( ?) [ ?) ( ?) ( Вопрос id:661392 Решить неравенство ?) (0; ?) [1; ?) (0; Вопрос id:661393 Решить неравенство log1/3log4(x2 – 5) > 0 ?) (- ?) (- ?) (-3;3) ?) (-3;- Вопрос id:661394 Решить неравенство log0,5(2-0,5x)≥-1 ?) [0;4) ?) (4;6] ?) (-∞;0] ?) (4;+ ∞) Вопрос id:661395 Решить неравенство log ?) (-∞;4) ?) (-∞;7) ?) (-3;7) ?) (-3;4) Вопрос id:661396 Решить уравнение log3x+log Вопрос id:661397 Решить уравнение log4(x2 - 4x + 1) - log4(x2 - 6x + 5) = - Вопрос id:661398 Решить уравнение log4x+log16x+log2x=7 Вопрос id:661399 Решить уравнение log2x + 1(2x2 - 8x + 15) = 2 Вопрос id:661401 Решить уравнение log3x + log3(x + 3) = log3(x +24) Вопрос id:661402 Сколько целочисленных решений имеет неравенство Вопрос id:661403 Укажите верные утверждения ?) логарифмическое неравенство logaf(x) > logag(x) , а > 1 преобразуется в неравенство f(x) > g(x) ?) логарифмическое неравенство logaf(x) < logag(x) , 0< а < 1 преобразуется в неравенство f(x) < g(x) ?) логарифмическое неравенство logaf(x) > logag(x) , 0 <а < 1 преобразуется в неравенство f(x) < g(x) ?) логарифмическое неравенство logaf(x) > logag(x) , а > 1 преобразуется в неравенство f(x) < g(x) Вопрос id:661404 Укажите промежуток, которому принадлежит корень уравнения log2(x+1)= log2(3x) ?) (-1; 0) ?) (0;+ ∞) ?) (-∞;-1) ?) [-1; 0] Вопрос id:661405 Укажите промежуток, которому принадлежит корень уравнения log2(x+1)=4 ?) (6;8) ?) (4;6) ?) (14;16) ?) (8;10) Вопрос id:661406 Укажите промежуток, которому принадлежит корень уравнения log2(x+8)= log23+ log25 ?) [5;8] ?) (3;5) ?) (-8;-5] ?) (-1;3) Вопрос id:661407 Укажите промежуток, которому принадлежит корень уравнения log5(x+27) - log52=log5(7x) ?) (0;2) ?) (-3;0) ?) (2;4) ?) (4;6) Вопрос id:661408 Упорядочите числа по возрастанию ?) log73 ?) log27 ?) log74 ?) log29 Вопрос id:661409 Упорядочите числа по убыванию ?) log69 ?) log612 ?) log98 ?) log97 Вопрос id:661410 График какой функции изображен на рисунке?
?) y=a ?) y=log2х ?) y=a2 ?) y=log Вопрос id:661412 Найдите абсциссу точки минимума функции Вопрос id:661413 Найдите абсциссу точки минимума функции Вопрос id:661414 Найдите абсциссу точки минимума функции у=х4 - 4lnx Вопрос id:661415 Найдите значение производной функции у= Вопрос id:661416 Найдите значение производной функции у= х2-lnx в точке х0=0,5 Вопрос id:661417 Найдите значение производной функции у=ln(5-2x) в точке х0=2 Вопрос id:661418 Найдите значение производной функции у=lnx+x в точке х0= Вопрос id:661419 Найдите значение производной функции у= |
Copyright tests.ithead.ru 2013-2026

