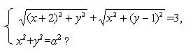
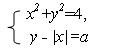
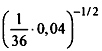
Список вопросов базы знанийАлгебра и начала анализа (11 класс)Вопрос id:661843 Пусть G - график уравнения φ(х; y) = 0. Если φ(х;y) = φ (у;х), то график G симметричен относительно ___ ?) точки О ?) оси Оу ?) прямой у=х ?) оси Ох Вопрос id:661844 Верны ли утверждения? А) Если функция обращается в нуль в конечном числе точек этого промежутка, то этими точками промежуток разбивается на интервалы, в пределах каждого из которых функция не меняет знак В) Выражение, содержащее выражение logax – logab, будет иметь такой же знак, как и выражение х-b, следовательно, замена в неравенстве множителя logax – logab на множитель х-b является равносильным преобразованием четная функция ?) А – да, В - нет ?) А – нет, В - нет ?) А – да, В - да ?) А – нет, В - да Вопрос id:661845 Найти значения модуля параметра │a│ при котором система уравнений
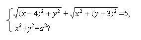
имеет два решения Вопрос id:661846 Найти значения модуля параметра │a│ при которых имеет шесть решений система уравнений
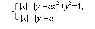
Вопрос id:661847 Для решения системы вида
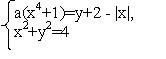
необходимо рассмотреть ___ ?) окружность и прямую ?) окружности или круги ?) окружность и отрезок ?) отрезки Вопрос id:661848 Для решения системы неравенств вида
необходимо рассмотреть ___ ?) окружность и прямую ?) окружность и отрезок ?) отрезки ?) окружности или круги Вопрос id:661849 Для решения системы уравнений вида
необходимо рассмотреть ___ ?) окружность и прямую ?) отрезки ?) окружность и отрезок ?) окружности или круги Вопрос id:661850 При каком наибольшем значении а имеет единственное решение система уравнений
Ответ введите десятичной дробью, указав после запятой один знак Вопрос id:661851 При каком наибольшем значении а имеет единственное решение система уравнений
Вопрос id:661852 Найти при каких значениях параметра а имеет единственное решение система уравнений
Вопрос id:661853 Найти все значения параметра а, при каждом из которых имеет единственное решение система уравнений
Если такое значение не одно, в ответе указать их сумму Вопрос id:661854 Найти наименьшее значение параметра a, при котором имеет четыре решения система уравнений
Вопрос id:661855 При каком максимальном целочисленном значении а имеет ровно три корня уравнение x3-12x+1=a? Вопрос id:661856 Найти все значения параметра а, при каждом из которых система уравнений
имеет единственное решение Вопрос id:661857 Найти значения параметра а, при которых имеет единственное решение система уравнений Вопрос id:661859 При каких значениях параметра а корни уравнения 2ах2 - 2х - 3а - 2 = 0 меньше 1? ?) - ?) -4< a<0 ?) -2 <a <2 ?) нет решений Вопрос id:661860 При каком наименьшем значении параметра а функция f(x)=(2 – a)(x –a–3) не имеет нуля на промежутке [-1;3)? Вопрос id:661861 При каком наименьшем значении параметра а функция f(x)=(2 – a)(x - a – 3) не имеет нуля на промежутке [-4;2)? Вопрос id:661862 При решении задач вида a v φ(х) или x v ψ(a)___ ?) осуществляют сжатие (растяжение) графика вдоль оси Оу ?) осуществляют поворот графика относительно точки ?) удобно использовать метод областей ?) осуществляют исследование функциональной зависимости одной переменной от другой Вопрос id:661863 При решении задач вида f(x) v a(x - x0) + y0 осуществляют ___ ?) поворот графика относительно точки ?) параллельный перенос графика вдоль оси Оу ?) параллельный перенос графика вдоль оси Ох ?) сжатие (растяжение) графика вдоль оси Оу Вопрос id:661864 При решении задач вида f(x) v g(x + a) ___ ?) осуществляют поворот графика относительно точки ?) осуществляют параллельный перенос графика вдоль оси Ох ?) осуществляют параллельный перенос графика вдоль оси Оу ?) осуществляют сжатие (растяжение) графика вдоль оси Оу Вопрос id:661865 Укажите верные утверждения: решении задач вида ?) f(а,x) v g(a,x) осуществляют исследование взаимного расположения графиков двух семейств функций ?) при f(а,x) v g(a,x) осуществляют сжатие (растяжение) графика вдоль оси Оу ?) f(x) v ag(x) осуществляют параллельный перенос графика вдоль оси Ох ?) f(а,x) v 0 не требуется осуществлять преобразования графика функции Вопрос id:661866 Найти все значения параметра а, при которых уравнение 2sinπax=x+ ?) a≠± ?) a=±1 +2n ?) a=± ?) a≠±1 +2n Вопрос id:661867 При каких значениях параметра а уравнение log5(25x - log5a)=x имеет единственное решение? ?) [1;+∞) ?) [ ?) ?) Вопрос id:661868 Найти все значения параметра a, при которых неравенство (a–4)((х+2)(a+2)-3х)>0 при любых х ≥ 0 не имеет решений. В ответе укажите сумму этих значений Вопрос id:661869 Найти все значения параметра a, при которых уравнение |2х2 – 3х+1| =4а – а2 имеет единственное решение ?) 1≤ a ?) а=0 ?) нет решений ?) 0<a<1 Вопрос id:661870 Найти все значения параметра a, при которых уравнение |х2 – 2х+1|=2а – а2 имеет единственное решение. Если таких значений несколько, в ответе укажите их сумму Вопрос id:661871 Найти значения параметра а, при которых уравнение ах2 -|х + Вопрос id:661872 Найти значения параметра а при которых уравнение ах2 +|х - Вопрос id:661873 Найти наибольшее значение а, при котором уравнение 4x-| 3x - |x + a||= 9 |x- 1| имеет хотя бы один корень Вопрос id:661874 Найти наибольшее значение параметра a, при котором имеет единственное решение уравнение х2+(а+6)2=|х+а+6|+|х–а-6| Вопрос id:661875 Найти наименьшее значение параметра a, при котором имеет единственное решение уравнение х2+(а+3)2=|х+а+3|+|х–а-3| Вопрос id:661876 При каких значениях а уравнение х2–(6а–4)│х│+5а2–4а=0 имеет единственное решение? Вопрос id:661877 При каких значениях а уравнение х2–(6а–4)│х│+5а2–4а=0 имеет три различных решения? Вопрос id:661878 При каких значениях параметра а функция y=3||x| - а2| - x+а имеет ровно один ноль? Если таких значений несколько, в ответе укажите их сумму Вопрос id:661879 При каких значениях параметра уравнение =1 имеет единственное решение??) (0; 1) ?) (-∞; 0] U [1; + ∞) ?) (-∞; -1] U [1; + ∞) ?) (-1; 1) Вопрос id:661880 При каком значении а прямая y=6x+a касается графика функции у=х2 Вопрос id:661881 При каком значении а прямая у=4х имеет только одну общую точку с графиком функции у=х 2+а? Вопрос id:661882 Укажите верные утверждения ?) построение графического образа задачи на координатной плоскости Oxy осуществляют в том случае, если параметр рассматривается как переменная ?) построение графического образа задачи на координатной плоскости oxy осуществляют в том случае, если параметр рассматривается как фиксированное число ?) в случае, если параметр - переменная, запись f(x, a) рассматривается как выражение с двумя переменными x и а ?) построение графического образа задачи на координатной плоскости Oаx осуществляют в том случае, если параметр рассматривается как переменная Вопрос id:661883 Укажите верные утверждения ?) если при решении уравнения или неравенства f(x, a) v g(x,a) удается выразить одну из переменных в явном виде, переходят к исследованию функциональной зависимости одной переменной от другой ?) при использовании координатной плоскости Oxa или Oax ось Ox называют - координатно-параметрической ?) если переменные x или a заданы в неявном виде, и выразить какую-либо переменную в явном виде сложно, то удобно использовать метод областей ?) основная идея метода областей: решение задачи сводится к решению совокупности смешанных систем (уравнений и неравенств), не содержащих знаков модуля, в каждой частичной области, на которые разбивается исходная область Вопрос id:661884 Укажите верные утверждения: четная функция ?) инвариантна относительно преобразования х→(-х) ?) симметрична относительно знака переменной х ?) симметрична относительно прямой х=0 ?) симметрична относительно оси х Вопрос id:661885 На рисунке изображен график функции y = f (x) и касательная к этому графику в точке с абсциссой, равной 3. Найдите значение производной этой функции в точке x = 3
Вопрос id:661886 Решить систему уравнений
?) 1 ?) -1 ?) нет решений ?) 0 Вопрос id:661887 График какой функции изображен на рисунке?
?) y=logах, а>1 ?) y=ax, 0<а<1 ?) y=ax, а>1 ?) y=logах, 0<а<1 Вопрос id:661888 Вычислить 491-0,251og725 Вопрос id:661889 Вычислить ![]() Вопрос id:661890 Вычислить ![]() Вопрос id:661891 Дано: lg 3 = a, lg 5 = b. Вычислить log2 15 ?) ?) ?) ?) Вопрос id:661892 Исследовать на экстремум функцию у = х2ех ?) -2 – точка максимума; 0 – точка минимума ?) -2 – точка минимума; 0 – точка максимума ?) -4 – точка максимума; 0 – точка минимума ?) -4 – точка минимума; 0 – точка максимума Вопрос id:661893 Исследуйте функцию y= ?) функция убывает при xє[0;4], функция возрастает при xє[4;+∞) ?) функция возрастает при xє[0;4], функция убывает при xє[4;+∞) ?) функция убывает при xє[0;2], функция возрастает при xє[2;+∞) ?) функция возрастает при xє[0;2], функция убывает при xє[2;+∞) |












=1 имеет единственное решение?
.


