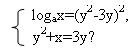
Список вопросов базы знанийАлгебра и начала анализа (11 класс)Вопрос id:661793 Верны ли утверждения? А) Проверка на инвариантность относительно знаков переменных х и у проводится подстановкой в выражение F(x,y) пары (-х, y), (x, - y) В) Если выражение F(x;y) инвариантно относительно преобразования у→(-у) и уравнение F(x;y) = 0 имеет решение (х0;y0), то и пара чисел (х0;-у0) также решение этого уравнения ?) А – нет, В - да ?) А – да, В - да ?) А – да, В - нет ?) А – нет, В - нет Вопрос id:661794 Верны ли утверждения? А) Пусть на промежутке (a; b) заданы возрастающая функция f(x) и убывающая функция g(x), причем x0 - корень уравнения f(x) = g(x) , принадлежащий промежутку (a; b). Тогда решение неравенства f(x) > g(x) - все числа из промежутка (a; x0), а решение неравенства f(x) < g(x) - промежуток (x0; b) В) Уравнение f(x) = g(x), где f(x) -возрастающая, а g(x) - убывающая функции, не имеет решений ?) А – да, В - да ?) А – да, В - нет ?) А – нет, В - да ?) А – нет, В - нет Вопрос id:661795 При каких значениях параметра а имеет ровно два решения система уравнений
?) a € [1;+∞) ?) a € (0;1) ?) a € (0;5] ?) a € [1;3] Вопрос id:661796 Укажите функции, ограниченные снизу: f(x)= |3sin2x+cos2x+a|, g(x)= 2(- ?) f(x), p(x) ?) f(x) ?) f(x), g(x) ?) g(x) Вопрос id:661797 Найти наибольшее значение параметра р, при которых имеет корни уравнение 3cos2x+ Вопрос id:661798 Найдите все значения параметра а, при которых уравнение 8аsin ?) a €(-10;0]U[2;12) ?) a €(-∞;-12]U[0;4]U[8;+∞) ?) a €(-∞;-10]U[2;6]U[12;+∞) ?) a €(-12;0]U[4;8) Вопрос id:661799 Найти все значения x, удовлетворяющие уравнению Вопрос id:661800 Инвариантно ли выражение cos2x+a= ?) нет ?) да Вопрос id:661801 Инвариантно ли выражение относительно знака переменной х? (да/нет)?) да ?) нет Вопрос id:661802 При каких значениях параметра а уравнение log5(25x - log5a)=x не имеет решений? ?) [1;+∞) ?) (0; ?) (0; ?) (-∞; Вопрос id:661803 При каких значениях параметра а уравнение log5(25x - log5a)=x имеет два различных корня? ?) [1;+∞) ?) (0; ?) ( ?) (-∞; Вопрос id:661804 Найдите наименьшее целое решение уравнения x8+90cos(15 – 8x)=90cos(x2)+(15-8x)4 Вопрос id:661805 Найдите наименьшее целое решение уравнения х6 - │4х+3│3=25cos(x2) – 25cos(4x+3) Вопрос id:661806 При каких значениях параметра а, уравнение sin2x+3sinxcosx – 2cos2x=a имеет хотя бы одно решение? ?) - ?) a≠ ?) a≠ ?) - Вопрос id:661807 При каких значениях параметра а, уравнение │sin2x+cosx – 7│=a имеет хотя бы одно решение? ?) - ?) a≠8 ?) 0,195≤a≤8 ?) a≠ Вопрос id:661808 В случае замены переменной х на ?) ?) ?) ?) Вопрос id:661809 Дана функция f(х)=2х3-3ах2+2ах-1. При каком наибольшем целом значении а эта функция является возрастающей на всей числовой прямой? Вопрос id:661810 Если в уравнение входит ?) ?) ?) ?) Вопрос id:661811 Если допустимые значения переменной ?) ?) ?) ?) Вопрос id:661812 Найдите все значения a , при каждом из которых не имеет действительных решений уравнение 2х+sin (x-3a)=2(- ?) a €(-∞;2) ?) a € (4;+∞) ?) a €(-∞;4) ?) a € (2;+∞) Вопрос id:661813 Найдите все значения а, при каждом из которых функция f(x) = х2 - |х - а2| - 3х имеет хотя бы одну точку максимума ?) (-1;1) ?) (- ?) (- ?) (-2;2) Вопрос id:661814 Найти все значения параметра a, при которых уравнение ?) 0<a<1 ?) 1<a ?) a € (-∞;+∞) ?) 1≤ a Вопрос id:661815 Найти все значения параметра a, при которых уравнение ?) 1 < a ?) a € (-∞;+∞) ?) 1 ≤ a ?) 0 < a < 1 Вопрос id:661816 Найти наибольшее целое значение параметра b, при котором имеет решения уравнение (4 – b)sinx=2b - 3 Вопрос id:661817 Найти наименьшее значение параметра k, при котором имеет решение уравнение sin(60o+x) – sin(60o – x)=k. Вопрос id:661818 Найти целые значения параметра а, при которых уравнение Вопрос id:661819 При каких значениях а имеет ровно 3 корня уравнение х(х+3)2+а=0? ?) (-4;0) ?) [-3;0) ?) (-∞;-3]U(0;+∞) ?) (-∞;-4)U(0;+∞) Вопрос id:661820 При каких значениях модуля параметра │а│ функция y=x3+3ax2+18x+12 имеет одну стационарную точку? Вопрос id:661821 При каких значениях модуля параметра │а│ функция y=x3-3ax2+75x-10 имеет одну стационарную точку? Вопрос id:661822 При каких значениях параметра а функция ?) [- ?) [-1;1] ?) [-2;2] ?) [- Вопрос id:661823 При каких значениях параметра а уравнение 1+acosx=(a+1)2 имеет решения? ?) [-1;1] ?) [-3;-1]U{0} ?) [-1;1]U{0} ?) [-3;-1]U{1} Вопрос id:661824 При каких значениях параметра а уравнение 48 . 4х+27=а+а . 4х+2 не имеет решений? ?) a € (-∞; 3)U(27;+∞) ?) а=3 ?) а >27 ?) a € (3; 27) Вопрос id:661825 При каких значениях параметра а уравнение cos2x+6sinx=4a2 - 2 имеет решения? ?) [-1;1] ?) [- ?) [- ?) [-2;2] Вопрос id:661826 При каком наименьшем значении параметра а функция Вопрос id:661827 При каком наименьшем целом положительным значении параметра k прямая y=kx-4 пересекает параболу y=x2+x+5 в двух различных точках? Вопрос id:661828 Прямая х=1 - ось симметрии параболы у=ах2+(а2–8)х+2, ветви которой направлены вверх. Найдите ординату вершины параболы Вопрос id:661829 Решить уравнение ?) ?) ?) ?) ± Вопрос id:661830 Решить уравнение ![]() Вопрос id:661831 Сколько решений имеет уравнение log7(x(12+ Вопрос id:661832 Укажите верные утверждения ?) при инвариантности относительно знака переменной для нахождения допустимых значений в выражение, содержащее необходимые условия, подставляется нулевое значение переменной ?) алгоритм решения задач, содержащих инвариантные выражения, отличен для решения уравнений и решения неравенств в зависимости от количества параметров или переменных ?) четная функция симметрична относительно знака переменной х ?) четная функция симметрична относительно оси х Вопрос id:661833 Укажите верные утверждения ?) выражение может быть инвариантно либо по отношению к преобразованию х → (-х), либо к преобразованию х→у и у→х ?) для применения алгоритма решения задач, условия которых не изменяются при преобразовании х→у и у→х, необходимо выполнить проверку на инвариантность. ?) выражения, симметричные относительно переменной x или переменной у, называют инвариантными относительно преобразования х → у и у→ х ?) при инвариантности относительно переменной для нахождения допустимых значений в исходное выражение подставляются значения параметра Вопрос id:661834 Укажите неверное утверждение: четная функция ?) симметрична относительно знака переменной х ?) симметрична относительно прямой х=0 ?) инвариантна относительно преобразования х→(-х) ?) симметрична относительно оси х Вопрос id:661835 Верны ли утверждения А) При решении задач вида f(x) v g(x) + a осуществляют параллельный перенос графика вдоль оси Оу В) При решении задач вида f(x) v g(x) + a осуществляют параллельный перенос графика вдоль оси Ох Подберите правильный ответ ?) А – нет, В - нет ?) А – да, В - да ?) А – нет, В - да ?) А – да, В - нет Вопрос id:661836 Верны ли утверждения? А) Для использования координатно-параметрических плоскостей исходное уравнение (или неравенство) преобразуют к виду a v φ(х) или x v ψ(a) В) Если в задаче вида f(a, x) v 0 выразить какую-либо переменную в явном виде сложно, удобно использовать метод областей Подберите правильный ответ ?) А – да, В - нет ?) А – да, В - да ?) А – нет, В - да ?) А – нет, В - нет Вопрос id:661837 Найти максимальное значение параметра р, при которых имеет корни уравнение 3cos2x+ Вопрос id:661838 Найти наименьшее целое значение параметра а, при которых уравнение 7x+a + 37х+а=х2–3х+4а+ Вопрос id:661839 При каком наименьшем значении параметра с имеет решения уравнение cos ( Вопрос id:661840 Пусть G - график уравнения φ(х; y) = 0. Если φ(-х; -y) = φ (х; y), то график G симметричен относительно ___ ?) оси Ох ?) оси Оу ?) точки О ?) прямой у=х Вопрос id:661841 Пусть G - график уравнения φ(х; y) = 0. Если φ(-х; y) = φ (х; y), то график G симметричен относительно ___ ?) оси Оу ?) прямой у=х ?) точки О ?) оси Ох Вопрос id:661842 Пусть G - график уравнения φ(х; y) = 0. Если φ(х; -y) = φ (х; y), то график G симметричен относительно ___ ?) прямой у=х ?) точки О ?) оси Ох ?) оси Оу |

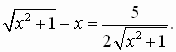
относительно знака переменной х? (да/нет)