Тесты онлайн, бесплатный конструктор тестов. Психологические тестирования, тесты на проверку знаний.
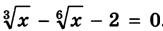
Список вопросов базы знанийАлгебра и начала анализа (11 класс)Вопрос id:661945 Найдите значение выражения 3sin2x – 7cos2x, если х= - 0,1 Вопрос id:661946 Найдите значение выражения Вопрос id:661947 Найдите значение выражения Вопрос id:661948 Найдите значение выражения Вопрос id:661949 Найдите значение выражения Вопрос id:661950 Найдите значение выражения ![]() Вопрос id:661951 Найдите корень уравнения sin2x – 4cosx = 0 , принадлежащий отрезку [2p; 3p] ?) ?) ?) ?) Вопрос id:661952 Найдите наибольшее целое значение функции Вопрос id:661953 Найдите ту первообразную для функции f(x)=2x, график которой касается прямой у=х+2 ?) F(x) =х2+2,25 ?) F(x) =х2 - 2,25 ?) F(x) =х+2,25 ?) F(x) =х2+2 Вопрос id:661954 Периодическая функция Вопрос id:661955 Планируя выпуск нового электронного прибора, экономисты предприятия определили, что в первый месяц может быть изготовлено 200 приборов. Далее предполагалось ежемесячно увеличивать выпуск на 20 изделий. За сколько месяцев предприятие сможет изготовить по этому плану 11000 приборов? Вопрос id:661956 По пенсионному вкладу банк выплачивает 10 % годовых. По истечении каждого года эти проценты капитализируются, т.е. начисленная сумма присоединяется к вкладу. На данный вид вклада был открыт счёт в 50000 рублей, который не пополнялся и с которого не снимали деньги в течение 3 лет. Какой доход был получен по истечении этого срока? Вопрос id:661957 Решите уравнение cos( ?) ± ?) (-1)k+1 ?) (-1)k+1 ?) ± Вопрос id:661958 Решите уравнение ?) ±(π - arccos ?) ±(π - arccos ?) ±(π - arccos ?) ±(π - arccos Вопрос id:661959 Решите уравнение ?) ± ?) ± πn ?) πn ?) Вопрос id:661960 Решите уравнение ?) (-1)n ?) ± ?) (-1)n+1 ?) (-1)n Вопрос id:661961 Решить уравнение ?) arctg1,5+ πk ?) arctg1+ πk ?) arctg1,5+ 2πk ?) arctg3+ πk Вопрос id:661962 Решить уравнение ?) ?) 2πn ?) ± ?) πn Вопрос id:661963 Решить уравнение ?) ± ?) ± ?) ± ?) Нет решений Вопрос id:661966 Торговая база закупила у изготовителя партию альбомов и поставила ее магазину по оптовой цене, которая на 30 % больше цены изготовителя. Магазин установил розничную цену на альбом на 20 % выше оптовой. При распродаже в конце сезона магазин снизил розничную цену на альбом на 10 %. На сколько рублей больше заплатил покупатель по сравнению с ценой изготовителя, если на распродаже он приобрел альбом за 70,2 р.? Вопрос id:661967 Укажите соответствие между левой и правой частью формулы
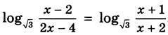
Вопрос id:661968 Верны ли утверждения: А) Замена уравнения h(f(x)=h(g(x)) уравнением f(x)=g(x) может быть причиной потери корней при решении уравнений В) Осуществление перехода от уравнения h(f(x)=h(g(x)) к уравнению f(x)=g(x) без потери корней возможно если функции монотонны Подберите правильный ответ ?) А - да, В - да ?) А - нет, В - да ?) А - нет, В - нет ?) А - да, В - нет Вопрос id:661969 Будет ли уравнение h(f(x)=h(g(x)) равносильно уравнению f(x)=g(x), если f(x)=32-x, g(x)= ?) нет ?) да Вопрос id:661970 Будет ли уравнение h(f(x)=h(g(x)) равносильно уравнению f(x)=g(x), если f(x)=lg ?) нет ?) да Вопрос id:661971 Будет ли уравнение h(f(x)=h(g(x)) равносильно уравнению f(x)=g(x), если f(x)=(3х2 – 2)4, g(x)=(х – 3)4 (да/нет)? ?) нет ?) да Вопрос id:661972 Будет ли уравнение h(f(x)=h(g(x)) равносильно уравнению f(x)=g(x), если f(x)= ?) нет ?) да Вопрос id:661973 Решить уравнение cos2(π –x) + sin2x=0 ?) arcctg ?) - arctg ?) ± ?) - arcctg Вопрос id:661974 Решить уравнение sin2x=sinx ?) ± ?) ?) ?) ± Вопрос id:661975 Решить уравнение ?) (-1)n ?) ± ?) ?) Вопрос id:661977 Найдите сумму корней уравнения Вопрос id:661979 Решите уравнение Вопрос id:661982 Решите уравнение графическим методом: log Вопрос id:661983 Решите уравнение графическим методом: log Вопрос id:661984 Решите уравнение функционально–графическим методом 1+x2= ?) 0; 1 ?) 1 ?) 0 ?) нет решений Вопрос id:661985 Решите уравнение функционально–графическим методом: 1- Вопрос id:661986 Решите уравнение функционально–графическим методом: Вопрос id:661987 Решить уравнение 25-х – 50=5-х+1 ?) -log510 ?) -2 ?) 2 ?) log510 Вопрос id:661989 Решить уравнение Вопрос id:661990 Решить уравнение 2x+21-x=3 ?) ±1 ?) 0; 1 ?) -1; 0 ?) 2 Вопрос id:661991 Решить уравнение lg2x2+lg10x -6=0 ?) 10; ?) ?) 5; 10 ?) -lg Вопрос id:661992 Решить уравнение ?) 4, 8 ?) нет решений ?) 6, 8 ?) 0, 6 Вопрос id:661993 Решить уравнение ?) ±3; (-1)k ?) (-1)k ?) ±3; (-1)k+1 ?) ±2; (-1)k Вопрос id:661994 Решить уравнение ?) нет решений ?) -1 ?) -3; 2 ?) -1; 2 Вопрос id:661995 Решить уравнение ![]() ?) ?) ?) 7 ?) Вопрос id:661996 Решить уравнение Вопрос id:661997 Решить уравнение Вопрос id:661998 Решить уравнение Вопрос id:661999 Решить уравнение ?) 2 ?) 3 ?) 1 ?) 7 Вопрос id:662000 Решить уравнение ?) 5 ?) 7 ?) 1 ?) 3 Вопрос id:662001 Решить уравнение (дать цифровой ответ) |
Copyright tests.ithead.ru 2013-2026


(дать цифровой ответ)