Тесты онлайн, бесплатный конструктор тестов. Психологические тестирования, тесты на проверку знаний.
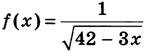
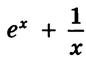
Список вопросов базы знанийАлгебра и начала анализа (11 класс)Вопрос id:661475 Для функции f(x)= ?) ?) ?) - ?) Вопрос id:661476 Для функции f(x)= ?) ?) ?) ?) Вопрос id:661477 Для функции f(x)= найдите хотя бы одну первообразную?) ex+ ln│x│ ?) ex- ln│x│ ?) ex+ lnx ?) ex+ Вопрос id:661478 Для функции f(x)= ?) 2cosх - 3sinx ?) -3cosх+2sinx ?) -3cosх - 2sinx ?) 3cosх+2sinx Вопрос id:661479 Для функции f(x)= ?) 13cosх + 5ctgx ?) - 13sinx +5tgx ?) 13cosх + 5tgx ?) -13cosх + 5ctgx Вопрос id:661480 Для функции f(x)=х2+х16 найдите хотя бы одну первообразную ?) 3 х3+17 х17 ?) х3+х17 ?) ?) Вопрос id:661481 Для функции ?) 4х4-6х3 ?) х4-2х3 ?) 2х4-3х3 ?) Вопрос id:661482 Для функции ?) х5-2х4 ?) х5-3х6 ?) х5- ?) х5+ Вопрос id:661483 Найдите первообразную для функции f(x)= 1+ctg2x ?) - ctgx+С ?) -tgx+С ?) tgx+С ?) ctgx+С Вопрос id:661484 Найдите первообразную для функции f(x)=2sin ?) - ?) sinx+C ?) cosx+C ?) -cosx+C Вопрос id:661485 Найдите первообразную для функции f(x)=ех+4х3, если известно, что F(0)=-1 ?) ех+ ?) ех+х4-2 ?) ех+х4-1 ?) ех+х4+2 Вопрос id:661487 Найдите первообразную функции ?) cos(2- ?) 2cos(2- ?) -2cos(2- ?) Вопрос id:661488 Найдите первообразную функции ?) 2 ?) ?) ?) - Вопрос id:661489 Найдите первообразную функции ?) sin( ?) ?) -sin( ?) - Вопрос id:661490 Найдите первообразную функции ![]() ?) ?) - ?) - ?) Вопрос id:661491 Найдите первообразную функции ?) ?) ?) ?) Вопрос id:661492 Найти первообразную функции f(x) = 4x + ?) 2х2 + ?) 2х2 – ?) 2х2 – ?) х2 – Вопрос id:661493 Пусть график первообразной для функции Вопрос id:661494 Пусть график первообразной для функции Вопрос id:661495 Скорость движения точки по координатной прямой задана формулой v= - 4 sin 3t, t – время движения. Найдите закон движения, если известно, что в момент времени t=0 координата точки равнялась числу 2 ?) s(t)= ?) s(t)= cos3t+ ?) s(t)= ?) s(t)= Вопрос id:661496 Укажите верные утверждения ?) если F(x) – первообразная для f(x), то kF(x) – первообразная для kf(x) ?) первообразная произведения равна произведению первообразных ?) первообразная суммы равна сумме первообразных ?) первообразная частного равна частному первообразных Вопрос id:661497 Установите соответствие между левой и правой частью формулы
Вопрос id:661498 Установите соответствие между функцией и ее первообразной
Вопрос id:661499 Установите соответствие между функцией и ее первообразной
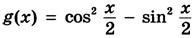
Вопрос id:661500 Функция
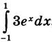
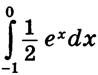
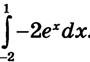
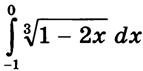
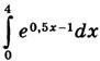
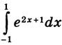
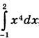
Вопрос id:661501 Вычислите ![]() ?) е- ?) е-1 ?) ?) 1-е Вопрос id:661502 Вычислите ![]() ?) ?) 3 (е- ?) 3( ?) е- Вопрос id:661503 Вычислите ![]() ?) ?) ?) е- ?) Вопрос id:661504 Вычислите ![]() ?) -2(е- ?) 2(е- ?) -2(е- ?) -2( Вопрос id:661505 Вычислите ![]() ?) х=ln ?) х=ln ?) х=ln ?) х=ln Вопрос id:661506 Вычислите ![]() ?) ?) ?) ?) Вопрос id:661507 Вычислить площадь фигуры, ограниченной линиями у = Вопрос id:661510 Вычислить площадь фигуры, ограниченной линиями у = ?) ?) ?) ?) Вопрос id:661511 Геометрический смысл определенного интеграла - ?) площадь криволинейной трапеции ?) перемещение точки, движущейся по прямой со скоростью v = v(t), за промежуток времени от t = а до t =b ?) масса прямолинейного неоднородного стержня с плотностью р(x) ?) скорость движения материальной точки Вопрос id:661512 Укажите верные утверждения: ?) физический смысл определенного интеграла - перемещение точки, движущейся по прямой со скоростью v = v(t), за промежуток времени от t = а до t =b ?) физический смысл определенного интеграла - скорость движения материальной точки ?) физический смысл определенного интеграла - масса прямолинейного неоднородного стержня с плотностью р(x) ?) физический смысл определенного интеграла - площадь криволинейной трапеции Вопрос id:661513 Вычислить ?) ?) ?) ?) 1 Вопрос id:661514 Вычислить (дать цифровой ответ)Вопрос id:661515 Вычислить (дать цифровой ответ)Вопрос id:661516 Вычислить (дать цифровой ответ)Вопрос id:661517 Вычислить ![]() ?) 2(е- ?) -2(е- ?) 2( ?) 2(е- Вопрос id:661518 Вычислить (дать цифровой ответ)Вопрос id:661519 Вычислить (дать цифровой ответ)Вопрос id:661520 Вычислить (дать цифровой ответ)Вопрос id:661521 Вычислить (дать цифровой ответ)Вопрос id:661522 Вычислить ![]() ?) ?) е2х+1 ?) е3- ?) Вопрос id:661523 Вычислить ![]() ?) ?) ln2 ?) ?) Вопрос id:661526 Найдите наибольшее значение функции Вопрос id:661527 Найдите производную функции у=- ?) 6x4- ?) -6x4+ ?) -6x4+ ?) -6x4- Вопрос id:661528 При движении тела по прямой расстояние S (в метрах) изменяется по закону S(t)= Вопрос id:661531 Составьте уравнение касательной к графику функции y= ?) y=10-7x ?) y=7x-5 ?) y=7x+10 ?) y=7x-10 |
Copyright tests.ithead.ru 2013-2026
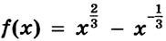
найдите хотя бы одну первообразную
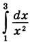
(дать цифровой ответ)





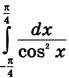
(дать цифровой ответ)
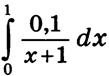
(дать цифровой ответ)
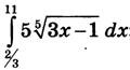
(дать цифровой ответ)
(дать цифровой ответ)
(дать цифровой ответ)
(дать цифровой ответ)
(дать цифровой ответ)
