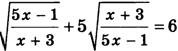
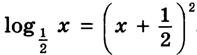
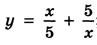
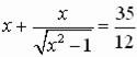
Список вопросов базы знанийАлгебра и начала анализа (11 класс)Вопрос id:662002 Решить уравнение ![]() ?) нет решений ?) 1; -3,8 ?) -1; 3 ?) 0; -3,5 Вопрос id:662003 Решить уравнение графическим методом ?) ±1 ?) -1; 0 ?) 0 ?) 0; 1 Вопрос id:662004 Решить уравнение графическим методом: ?) log210 ?) -log210 ?) 1, 2 ?) -2, 1 Вопрос id:662005 Решить уравнение графическим методом: ![]() ?) 5; 10 ?) ?) 1 ?) нет решений Вопрос id:662006 Решить уравнение графическим методом: Вопрос id:662007 Решить уравнение графическим методом: Вопрос id:662008 Сколько решений имеет уравнение 2x=sinx на интервале [0;+∞)? ?) 1 ?) 3 ?) нет решений ?) бесконечное множество Вопрос id:662010 Сколько решений имеет уравнение х3 -3х2 – 4х+12=0 (дать цифровой ответ) Вопрос id:662012 Сколько решений имеет уравнение Вопрос id:662014 Сколько решений имеет уравнение x2+1=cosx ? (дать цифровой ответ) Вопрос id:662015 Сколько решений имеет уравнение ?) 1 ?) бесконечное множество ?) нет решений ?) 3 Вопрос id:662016 Укажите эскиз графика решения уравнения ?) ![]() ?) ![]() ?) ![]() ?) ![]() Вопрос id:662017 Материальная точка движется по прямой со скоростью v(t)=3t2-4t+1. Какой путь пройдет точка за 3 секунды, считая от начала движения? Вопрос id:662018 Материальная точка движется по прямой со скоростью v(t)=4t3-6t2. Какой путь пройдет точка за 3 секунды, считая от начала движения? Вопрос id:662019 Закончить утверждение: «Если в задаче вида f(a, x) v 0 выразить какую-либо переменную в явном виде сложно ___» ?) осуществляют поворот графика относительно точки ?) осуществляют сжатие (растяжение) графика вдоль оси Оу ?) осуществляют исследование функциональной зависимости одной переменной от другой ?) удобно использовать метод областей Вопрос id:662020 Закончить утверждение: «При решении задач вида a v φ(х) или x v ψ(a)___» ?) удобно использовать метод областей ?) осуществляют исследование функциональной зависимости одной переменной от другой ?) осуществляют сжатие (растяжение) графика вдоль оси Оу ?) осуществляют поворот графика относительно точки Вопрос id:662021 Укажите неверное утверждение ?) При использовании координатной плоскости Oxa или Oax ось Ox называют - координатно-параметрической. ?) Основная идея метода областей: решение задачи сводится к решению совокупности смешанных систем (уравнений и неравенств), не содержащих знаков модуля, в каждой частичной области, на которые разбивается исходная область. ?) Если при решении уравнения или неравенства f(x, a) v g(x,a) удается выразить одну из переменных в явном виде, переходят к исследованию функциональной зависимости одной переменной от другой. ?) Если переменные x или a заданы в неявном виде, и выразить какую-либо переменную в явном виде сложно, то удобно использовать метод областей. Вопрос id:662022 Закончить утверждение: «При решении задач вида f(x) v ag(x) ___» ?) осуществляют поворот графика относительно точки ?) осуществляют сжатие (растяжение) графика вдоль оси Оу ?) осуществляют параллельный перенос графика вдоль оси Ох ?) осуществляют параллельный перенос графика вдоль оси Оу Вопрос id:662023 Закончить утверждение: «При решении задач вида f(а,x) v 0 ___» ?) осуществляют параллельный перенос графика вдоль оси Оу ?) осуществляют поворот графика относительно точки ?) не требуется осуществлять преобразования графика функции ?) осуществляют сжатие (растяжение) графика вдоль оси Оу Вопрос id:662024 Закончить утверждение: «При решении задач вида f(а,x) v g(a,x) ___» ?) осуществляют параллельный перенос графика вдоль оси Оу ?) осуществляют сжатие (растяжение) графика вдоль оси Оу ?) осуществляют исследование взаимного расположения графиков двух семейств функций. ?) не требуется осуществлять преобразования графика функции Вопрос id:662025 Закончить утверждение: «При решении задач вида f(x) v a(x - x0) + y0 ___» ?) осуществляют сжатие (растяжение) графика вдоль оси Оу ?) осуществляют поворот графика относительно точки ?) осуществляют параллельный перенос графика вдоль оси Ох ?) осуществляют параллельный перенос графика вдоль оси Оу Вопрос id:662026 При каком наименьшем значении параметра а функция f(x)=(2 – a)(x - a – 3) не имеет нуля на промежутке [-1;3)? Вопрос id:662027 Закончить утверждение: «При решении задач вида f(x) v g(x + a) ___» ?) осуществляют параллельный перенос графика вдоль оси Оу ?) осуществляют параллельный перенос графика вдоль оси Ох ?) осуществляют сжатие (растяжение) графика вдоль оси Оу ?) осуществляют поворот графика относительно точки Вопрос id:662028 Закончить утверждение: «При решении задач вида f(x) v g(x) + a ___» ?) осуществляют сжатие (растяжение) графика вдоль оси Оу ?) осуществляют параллельный перенос графика вдоль оси Оу ?) осуществляют параллельный перенос графика вдоль оси Ох ?) осуществляют поворот графика относительно точки Вопрос id:662029 При каких значениях параметра а корни уравнения 2ах2 - 2х - 3а - 2 = 0 меньше 1? Укажите номер правильного ответа 1 -2 <a <2; 2 -4< a<0; 3 - Вопрос id:662030 Найти все значения параметра a, при которых уравнение |2х2 – 3х+1| =4а – а2 имеет единственное решение. ?) нет решений ?) 1≤ a ; ?) 0<a<1; ?) а=0; Вопрос id:662031 Укажите неверное утверждение ?) Построение графического образа задачи на координатной плоскости Oxy осуществляют в том случае, если параметр рассматривается как переменная. ?) В случае, если параметр - переменная, запись f(x, a) рассматривается как выражение с двумя переменными x и а ?) Построение графического образа задачи на координатной плоскости Oаx осуществляют в том случае, если параметр рассматривается как переменная. ?) Построение графического образа задачи на координатной плоскости Oxy осуществляют в том случае, если параметр рассматривается как фиксированное число. Вопрос id:662032 На рисунках изображены графики функций и касательные к ним в точке а. Укажите функцию, производная которой в точке а равна 1 ?) ![]() ?) ![]() ?) ![]() ?) ![]() Вопрос id:662033 Найдите абсциссу точки графика функции у=9 - 4х+х2, в которой угловой коэффициент касательной равен 2. Вопрос id:662034 Найдите значение производной функции Вопрос id:662035 Найдите значение производной функции Вопрос id:662036 Найдите значение производной функции у= х2+sinx в точке х0=π ?) 2π-1 ?) π2-1 ?) 2π ?) 2π+1 Вопрос id:662037 Функция у = f(x) задана на промежутке [–6; 4]. Укажите промежуток, которому принадлежат все точки экстремума.
?) [0; 4] ?) [– 6; 0] ?) [– 3; 1] ?) [– 2; 3] Вопрос id:662038 Функция у = f (x) задана на отрезке [a; b]. На рисунке изображен график ее производной у = f '(x). Исследуйте на монотонность функцию у = f (x). В ответе укажите количество промежутков, на которых функция возрастает.
Вопрос id:662039 Функция у = f (x) задана на отрезке [a; b]. На рисунке изображен график ее производной у = f '(x). Исследуйте на монотонность функцию у = f (x). В ответе укажите количество промежутков, на которых функция убывает.
Вопрос id:662040 Функция у = f(x) определена на промежутке (–6;4). График ее производной изображен на рисунке. Укажите точку минимума функции у = f(x) на этом промежутке.
Вопрос id:662041 Функция y=f(x) определена на промежутке (–3;7). График ее производной изображен на рисунке. Укажите число точек минимума функции y=f(x) на промежутке (–3;7).
Вопрос id:662042 Определите промежутки монотонности функции y=5x2+15x-1 ?) При x≥- ?) При x≥ ?) При x≥ ?) При x≥- Вопрос id:662043 Исследуйте функцию y= ?) (-∞; ?) (-∞;1] возрастает, [1;+ ∞) убывает ?) (-∞; ?) (-∞; Вопрос id:662044 Найдите точки экстремума функции ?) x=-5 – точка максимума , x=5 – не точка экстремума ?) x=-5 – точка минимума, x=5 – точка максимума ?) x=-5 – не точка экстремума, x=5 –точка максимума ?) x=-5 – точка максимума , x=5 – точка минимума Вопрос id:662045 Сколько точек экстремума имеет функция y=(x-1)2(x+2) Вопрос id:662046 Сколько точек экстремума имеет функция y=5x3-3x5 Вопрос id:662047 Для функции f(x)= ?) F(x)= ?) F(x)= ?) F(x)= Вопрос id:662048 Для функции f(x)= ?) F(x)= 13cosх + 5ctgx ?) F(x)= 13cosх + 5tgx ; ?) F(x)= - 13sinx +5tgx ; Вопрос id:662049 Для функции f(x)= найдите хотя бы одну первообразную.?) F(x)= ex+ lnx ; ?) F(x)= ex+ ln│x│ ; ?) F(x)= ex+ Вопрос id:662050 Для функции f(x)= Вопрос id:662051 Для функции Вопрос id:662052 Для функции Вопрос id:662053 Решить уравнение ?) ?) ?) Вопрос id:662054 Решить уравнение ?) ?) ?) ?) |


















найдите хотя бы одну первообразную.
. Укажите номер правильного ответа