Список вопросов базы знанийАлгебра и начала анализа (11 класс)Вопрос id:661743 Найдите наименьшее целочисленное значение параметра а, при котором уравнение 9х+(а +4) 3х+4а=0 не имеет решений Вопрос id:661744 Найдите наименьшее целочисленное значение параметра b, при котором неравенство 2log0,5a – 3+2xlog0,5a – x2<0 верно при любом значении х. Вопрос id:661745 Найдите наименьшее целочисленное значение параметра b, при котором уравнение Вопрос id:661746 Найдите наименьшее целочисленное значение параметра b, при котором уравнение Вопрос id:661747 Найдите целое значение параметра a при котором уравнение 9х+2а.3х+1+9=0 не имеет корней. Если таких значений несколько, найдите их сумму Вопрос id:661748 Определите модуль значения параметра b, при котором уравнение Вопрос id:661749 Определите модуль значения параметра b, при котором уравнение Вопрос id:661750 Определить количество различных решений уравнения (х-1) ?) Если q ≤1, то два различных корня, если q >1, то один корень ?) Если q <1, то два различных корня, если q ≥1, то один корень ?) Если q <1, то один корень, если q ≥1, то два различных корня ?) Если q >1, то два различных корня, если q ≤1, то один корень Вопрос id:661751 При каких значениях а >0 уравнение 48 . 4х+27=а+а . 4х+2 не имеет корней? ?) а €(-∞;2)U(24;+ ∞) ?) а €(-∞;3)U(27;+ ∞) ?) а €(2;24) ?) а €(3;27) Вопрос id:661752 При каких значениях а >0 уравнение ?) а > ?) а= ?) a € (0; ?) a € (0; Вопрос id:661753 При каких значениях а >0 уравнение ?) a € (0; ?) а > ?) a € (0; ?) а= Вопрос id:661754 При каких значениях а неравенство х2+ 4|х - а|≥а2 справедливо для всех действительных х? ?) а ≥2 ?) a € [-2; 2] ?) a € (-2; 2) ?) а=-2 Вопрос id:661755 При каких значениях а неравенство х2+4х+6а |х+2|+9а2≤0 имеет не более одного решения? ?) a € (0; ?) a € (0; ?) а > ?) а≥ Вопрос id:661756 При каких значениях а уравнение 2log ?) (0; ?) (0;1) ?) (0; ?) (0; Вопрос id:661757 При каких значениях b уравнение х2-(4b)|x|+3b2 – 2b=0 имеет два различных решения? ?) 0<b< ?) 0<b< ?) 0<b≤1 ?) 0<b< Вопрос id:661758 При каких значениях параметра a уравнение log3(mx)=2 не имеет корней? Вопрос id:661759 При каких значениях параметра а неравенство любых х? ?) 2<a<1 ?) а < -1 ?) a > 3 ?) a >4 Вопрос id:661760 При каких значениях параметра а неравенство ?) а<-1 ?) a>3 ?) а<2 ?) a>4 Вопрос id:661761 При каких значениях параметра а уравнение 48 . 4х+27=а+а . 4х+2 не имеет решений? ?) a € (3; 27) ?) a € (-∞; 3)U(27;+∞) ?) а >27 ?) а=3 Вопрос id:661762 При каких значениях параметра b неравенство bx –6 ≤ 2b -3x имеет решением все действительные числа? Вопрос id:661763 При каких значениях параметра b неравенство bx –х +1≥ b2 имеет решением все действительные числа? Вопрос id:661764 При каких значениях параметра b уравнение b2x – 4x+2=b не имеет корней? Вопрос id:661765 При каких значениях параметра b уравнение b2x – x+2=b2+b имеет более одного корня? Вопрос id:661766 При каких значениях параметра b уравнение b2x – x+2=b2+b не имеет корней? Вопрос id:661767 При каких значениях параметра m уравнение mx – x+1=m2 имеет более одного корня? Вопрос id:661768 При каких значениях параметра m уравнение mx2 + 4x -a+5=0 имеет ровно один корень? Если такое значение m не одно, в ответе запишите сумму всех значений m Вопрос id:661769 При каких значениях параметра m уравнение mx2 + 4x -m+5=0 имеет два различных корня? ?) m € (1;4) ?) m € (-∞;1)U(4;+∞) ?) m €[-1;4) ?) m €{1;4} Вопрос id:661770 При каких значениях параметров a и b неравенства вида ax > b с переменной x имеет решением промежуток ?) a <0 ?) a = 0, b < 0 ?) a = 0, b ≥ 0 ?) a >0 Вопрос id:661771 При каких значениях параметров a и b неравенства вида ax > b с переменной x имеет решением промежуток ?) a >0 ?) a = 0, b ≥ 0 ?) a = 0, b < 0 ?) a <0 Вопрос id:661772 При каких значениях параметров a и b уравнение вида a x = b с переменной x не имеет решений? ?) a ≠ 0 ?) a = 0, b ≠ 0 ?) a ≠ 0, b = 0 ?) a = 0, b = 0 Вопрос id:661773 При каком m уравнение log3(mx)=2 не имеет решений ? Вопрос id:661774 При каком значении параметра а уравнение |х+3|=а не имеет решений? ?) а<0 ?) а >0 ?) 0<a<3 ?) a<х Вопрос id:661775 При каком значении параметра а уравнение |х+3|=а имеет равно два решения? ?) а<0 ?) а >0 ?) a<х ?) 0<a<3 Вопрос id:661776 При каком наибольшем значении параметра a уравнение 22х-1=2а+3 не имеет корней? Вопрос id:661777 Решите неравенство ?) х≥2, если а >2; x<a, если а≤2 ?) а<x<2, если a<2; нет решений, если а≥2 ?) а<x<2, если 0<a<2; х≥2, если а≥2 ?) х≥2, если а<2; x≥a, если а≥2 Вопрос id:661778 Решите неравенство ?) х≥6, если а >6; x<a, если а≤6 ?) х≥6, если а<6; x≥a, если а≥6 ?) а<x<6, если 0<a<6; х≥6, если а≥6 ?) а<x<6, если a<6; нет решений, если а≥6 Вопрос id:661779 Сколько целочисленных значений может принимать параметр a, при котором неравенство loga(x2+5)>1 выполняется при всех значениях х? Вопрос id:661780 Укажите верные утверждения ?) Квадратное уравнение ax2 + bx+ c = 0 не имеет корней тогда и только тогда, когда D<0 ?) Квадратное уравнение ax2 + bx+ c = 0 не имеет корней тогда и только тогда, когда D≤0 ?) Квадратное уравнение ax2 + bx+ c = 0 имеет два положительных корня тогда и только тогда, когда D=0 ?) Квадратное уравнение ax2 + bx+ c = 0 имеет два различных корня тогда и только тогда, когда D>0 Вопрос id:661781 Найти все значения параметра а, при которых имеет два решения система уравнений
?) 2 ?) 1 ?) 1,5 ?) 2,5 Вопрос id:661782 Найти все значения параметра а, при которых область определения функции у=lg(ax+2x3 ?) [3;6)U(8;9] ?) [-2;-3)U(5;6] ?) [-2;3)U(4;6] ?) [2;3)U(5;6] Вопрос id:661783 Найти все значения параметра а, при которых имеет единственное решение система неравенств
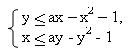
Если такое значение не одно, в ответе указать сумму значений Вопрос id:661784 Найти все значения параметра а, при которых система неравенств
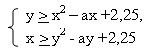
имеет единственное решение. Если такое значение не одно, в ответе указать сумму значений Вопрос id:661785 Найти все значения параметра а, при которых система уравнений
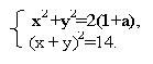
имеет ровно два решения. Если такое значение не одно, в ответе указать сумму значений Вопрос id:661786 Найти все значения параметра а, при которых система уравнений
имеет ровно два решения. Если такое значение не одно, в ответе указать сумму значений Вопрос id:661787 Верны ли утверждения? А) Если во всех точках открытого промежутка X выполняется неравенство f '(x) > 0 (причем равенство f '(x) = 0 либо не выполняется, либо выполняется лишь в конечном множестве точек), то функция у = f(x) убывает на промежутке X В) Если во всех точках открытого промежутка X выполняется неравенство f '(x) < 0 (причем равенство f '(x) = 0 либо не выполняется, либо выполняется лишь в конечном множестве точек), то функция у = f(x) возрастает на промежутке X ?) А – нет, В - да ?) А – нет, В - нет ?) А – да, В - нет ?) А – да, В - да Вопрос id:661788 Верны ли утверждения? А) Если во всех точках открытого промежутка X выполняется равенство f '(x) = 0, то функция у = f(x) постоянна на промежутке X В) Если во всех точках открытого промежутка X функция у = f(x) постоянна, то f '(x) не существует ?) А – да, В - нет ?) А – нет, В - да ?) А – нет, В - нет ?) А – да, В - да Вопрос id:661789 Верны ли утверждения? А) Алгоритм решения задач, содержащих инвариантные выражения, зависит от вида инвариатности - относительно преобразования х→у и у→х или относительно преобразования х→(-х) В) Проверка на инвариантность относительно переменных х и у проводится подстановкой в выражение F(x,y) пары (y, x) ?) А – да, В - нет ?) А – да, В - да ?) А – нет, В - нет ?) А – нет, В - да Вопрос id:661790 Верны ли утверждения? А) Если выражение F(x;y) - инвариантно (симметрично) относительно преобразования х→у и у→х и уравнение F(x;y) = 0 имеет решение (x0;y0), то пара чисел (y0;x0) также решение этого уравнения В) Если выражение F(x;y) инвариантно относительно преобразования х→(-х) и уравнение F(x;y) = 0 имеет решение (х0;y0), то и пара чисел ( -хо;уо) также решение этого уравнения ?) А – да, В - да ?) А – нет, В - да ?) А – да, В - нет ?) А – нет, В - нет Вопрос id:661791 Верны ли утверждения? А) Если функция f(x) строго возрастает на некотором промежутке, то уравнения f(x)= x и f(f(x)) = x равносильны на этом промежутке В) Пусть на промежутке (a; b) задана возрастающая функция f(x) и x0 - корень уравнения f(x) = c, принадлежащий промежутку (a; b) . Тогда решение неравенства f(x) > c - все числа из промежутка (a; x0), а решение неравенства f(x) < c - промежуток (x0; b) ?) А – нет, В - да ?) А – да, В - нет ?) А – нет, В - нет ?) А – да, В - да Вопрос id:661792 Верны ли утверждения? А) Проверка на инвариантность относительно знаков переменных х и у проводится подстановкой в выражение F(x,y) пары (-х, y), (x, - y), (-х, - y) В) Если выражение F(x;y) инвариантно относительно преобразования у→(-у) и уравнение F(x;y) = 0 имеет решение (х0;y0), то и пара чисел (-х0;-у0) - также решение этого уравнения ?) А – нет, В - нет ?) А – да, В - да ?) А – нет, В - да ?) А – да, В - нет |




