Тесты онлайн, бесплатный конструктор тестов. Психологические тестирования, тесты на проверку знаний.
Список вопросов базы знанийАлгебра и начала анализа (11 класс)Вопрос id:662107 Некоторая первообразная функции y=3cos3x+6sin6x принимает в точке х= Вопрос id:662108 Решить систему неравенств:
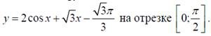
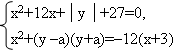
?) (1;3) ?) ( ?) ( ?) ( Вопрос id:662109 Найдите значение выражения 21,32-0,740,7 Вопрос id:662110 Найдите значение выражения +Вопрос id:662111 Найдите наибольшее значение функции ![]() Вопрос id:662112 Найти сумму корней уравнения ( Вопрос id:662113 Решите уравнение log7(3х+5)+ Вопрос id:662114 Решить уравнение 5х+20( Вопрос id:662115 Решить уравнение log2 х + log4 х = log Вопрос id:662116 Найти значения модуля параметра │a│ при которых система уравнений
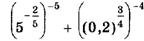
Вопрос id:662117 Найти значение выражения (результат записать в виде десятичной дроби) Вопрос id:662118 Найти значение выражения ![]() Вопрос id:662119 Решить неравенство ?) Нет решений ?) x≤ ?) R ?) x≥ Вопрос id:662120 Упростить выражение ?) а2 ?) 2а2 ?) 2а3 ?) а3 Вопрос id:662121 Упростить выражение ![]() ?) b ?) а ?) ?) Вопрос id:662122 Упростить выражение ?) ?) ?) ?) Вопрос id:662123 Упростить выражение ![]() ?) a ?) a2 ?) ac ?) Вопрос id:662124 Выполните действия 6 ?) 70 ?) 10 ?) 70 ?) 10 Вопрос id:662125 Вычислить (3,4 ![]() Вопрос id:662126 Вычислить Вопрос id:662127 Найти значение выражения 46а . 4-4а при а= Вопрос id:662128 Найти значения выражения Вопрос id:662129 Найти значения выражения Вопрос id:662130 Представить в виде степени с рациональным показателем ?) ?) ?) ?) Вопрос id:662131 Представьте выражение в виде степени ?) 52 ?) ?) ?) 252 Вопрос id:662132 Упростить выражение ![]() ?) 2а ?) 2а2 ?) а ?) а3 Вопрос id:662133 График какой функции изображен на рисунке
?) у =ax, где 0< a < 1 ?) у = ?) у = ?) у =ax, где a > 1 Вопрос id:662134 Вычислить Вопрос id:662135 Вычислить Вопрос id:662136 Если 0<a<1 и x1≤x2. Тогда … ?) ?) ?) ?) Вопрос id:662137 Если a>1 и x1≤x2. Тогда … ?) ?) ?) ?) Вопрос id:662138 Найдите, на каком отрезке функция y= ?) [-3;4] ?) [-1;4] ?) [-3;5] ?) [-2;4] Вопрос id:662139 Решить уравнение 52x=54 Вопрос id:662140 Решить уравнение Вопрос id:662141 При использовании геометрического метода можно воспользоваться ___ (укажите неверное окончание высказывания): ?) геометрическим смыслом модуля ?) построением графиков функций на координатно-параметрической плоскости Oxа. ?) неравенством треугольника ?) формулой расстояния между двумя точками на плоскости Вопрос id:662142 Исследуйте функцию ?) убывает при х ⊂ (0;+∞) ?) возрастает при х ⊂ (-∞;+∞) ?) убывает при х ⊂ (-∞;+∞) ?) возрастает при х ⊂ (0;+∞) Вопрос id:662143 Исследуйте функцию ?) убывает при х ⊂ (0;+∞) ?) возрастает при х ⊂ (-∞;+∞) ?) убывает при х ⊂ (-∞;+∞) ?) возрастает при х ⊂ (0;+∞) Вопрос id:662144 Какое из чисел log0,32,7; log0,33; log0,3 ?) log0,32,7 ?) log0,33 ?) log0,3 ?) log0,3 Вопрос id:662145 Какое из чисел log20,7; log20,1; log22,6; log2 ?) log20,1 ?) log22,6 ?) log20,7 ?) log2 Вопрос id:662146 Найдите значение функции у=log2x в точке х=16 Вопрос id:662147 Найдите значение функции у=log2x в точке х= Вопрос id:662148 Найдите наибольшее значение функции у= Вопрос id:662149 Найдите наибольшее значение функции у=log3x на промежутке [ Вопрос id:662150 Найдите наименьшее значение функции у=log3x на промежутке log3x [ Вопрос id:662151 Решить неравенство ?) (-∞;81] ?) [81;+∞) ?) (81;+∞) ?) (-∞;81) Вопрос id:662152 Найдите значение производной функции Вопрос id:662153 Найдите значение производной функции у = ln(5-2x) в точке х0 = 2 Вопрос id:662154 Найдите значение производной функции у = х2-lnx в точке х0 = 0,5 Вопрос id:662155 Найдите производную функции ?) ?) 1- ?) ?) Вопрос id:662156 Производная функции у = logax равна ?) ?) аx ?) ?) аx ln a |
Copyright tests.ithead.ru 2013-2026

+
, имеет два решения.




