Тесты онлайн, бесплатный конструктор тестов. Психологические тестирования, тесты на проверку знаний.
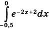
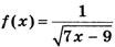
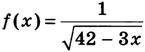
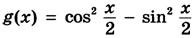
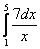
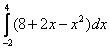
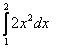
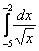
Список вопросов базы знанийАлгебра и начала анализа (11 класс)Вопрос id:662056 При каких значениях параметра а уравнение log5(25x - log5a)=x имеет два различных корня? Укажите номер правильного ответа 1 [1;+∞). 2 (-∞; Вопрос id:662058 Физический смысл определенного интеграла: ?) площадь криволинейной трапеции; ?) масса прямолинейного неоднородного стержня с плотностью р(x) ?) перемещение точки, движущейся по прямой со скоростью v = v(t), за промежуток времени от t = а до t =b; Вопрос id:662059 связь между определенным интегралом и первообразной задается соотношением ?) v(t)dt= s(dt) ?) ?) ?) Вопрос id:662060 Укажите неверное соотношение ?) ?) ?) ?) Вопрос id:662061 Найдите значение производной функции в точке х0 = 0Вопрос id:662062 Найдите значение производной функции у = ех+х2 в точке х0 = 0 Вопрос id:662063 Найдите значение производной функции у = хех в точке х0 = 1 ?) 2+е ?) 1+е ?) е ?) 2е Вопрос id:662064 Найдите производную функции у = 12х3-ех ?) 36х2-хех-1 ?) 36х2-ех ?) 3х2- ?) 15х2-хех-1 Вопрос id:662065 Найдите угол, образованный касательной к графику функции ?) ?) ?) - ?) Вопрос id:662066 Через точку с абсциссой х0 = 0 проведена касательная к графику функции у = Вопрос id:662067 Вычислите ![]() ?) - ?) ?) ?) Вопрос id:662068 Вычислить площадь фигуры, ограниченной линиями у =-x3+1, у = 0, х =0, x=-2 Вопрос id:662069 Вычислить площадь фигуры, ограниченной линиями у =x3+2, у = 0, х =0, x=2 Вопрос id:662070 Вычислить площадь фигуры, ограниченной линиями у =x2, у = 0, х = -3, x=1 Вопрос id:662071 Вычислить площадь фигуры, ограниченной линиями у =x3, у = 0, х = -3, x=1 Вопрос id:662072 Вычислить площадь фигуры, ограниченной линиями х=4, у= Вопрос id:662073 Вычислить площадь фигуры, ограниченной линиями х=9, у=- Вопрос id:662074 Вычислить площадь фигуры, ограниченной линиями х=0, у=10-х, у=х3 Вопрос id:662075 Вычислить площадь фигуры, ограниченной линиями х=4, у=2х у=х-2 Вопрос id:662076 Вычислить площадь фигуры, ограниченной линиями х=3, х=4, у=0 у=х3-8 Вопрос id:662077 Из приведенных примеров укажите, какой интеграл не существует ?) ?) ?) ?) Вопрос id:662078 Точка движется по координатной прямой согласно закону Вопрос id:662079 Решите уравнение ?) ?) -arctg2+ πk ?) - ?) -arctg Вопрос id:662080 Решить уравнение 2sinxcos3x+sin4x=0. ?) x=πn, x= ?) x=πn, x= Вопрос id:662081 Решить уравнение sin х + sin 2x + sin Зx = 0. Введите номер правильного ответа: 1. x= Вопрос id:662082 Найдите наименьший положительный корень уравнения (в градусах, знак градуса в ответе не вводите) cosxcos60o-sinxsin60o=sin200ocos25o+cos200osin25o Вопрос id:662083 Найдите наименьший положительный корень уравнения (в градусах, знак градуса в ответе не вводите) sinxcos45o+cosxsin45o=cos17ocos13o-sin17osin13o Вопрос id:662084 Решите уравнение Вопрос id:662085 Решить уравнение cosx = cos3x + 2sin2x ?) ?) ?) ?) Вопрос id:662086 Решить уравнение Вопрос id:662087 Укажите способ решения уравнения 2cos x – ?) Разложение на множители ?) Замена переменной ?) Однородное тригонометрическое уравнение первой степени (деление на cosx) ?) Однородное тригонометрическое уравнение второй степени (деление на cos2x) Вопрос id:662088 Укажите способ решения уравнения 5 sin2x + 3sin x • cos x –cos2x = 0 ?) Однородное тригонометрическое уравнение первой степени (деление на cosx) ?) Разложение на множители ?) Однородное тригонометрическое уравнение второй степени (деление на cos2x) ?) Замена переменной Вопрос id:662089 Найдите первообразную функции 1 F(x)= Вопрос id:662090 Найдите первообразную функции 1 F(x)= - Вопрос id:662091 Найдите первообразную для функции f(x)= 1+ctg2x ?) ctgx ?) tgx ?) - ctgx ?) -tgx Вопрос id:662092 Найдите первообразную для функции ?) ?) ?) ?) Вопрос id:662093 Найдите первообразную функции Вопрос id:662094 Найдите первообразную функции Вопрос id:662095 Пусть график первообразной для функции Вопрос id:662096 Пусть график первообразной для функции Вопрос id:662097 logabr=___ ?) logab-logar ?) logab+logar ?) rlogab ?) rb Вопрос id:662098 Вычислить Вопрос id:662099 Вычислить Вопрос id:662100 Вычислить Вопрос id:662101 Найдите, на каком промежутке функция ?) [-2;0] ?) [-1;0] ?) [0;2] ?) Не существует Вопрос id:662102 Найдите, на каком промежутке функция у=3 ?) [0;4,5] ?) [4;5] ?) [0;5] ?) [4,5;5] Вопрос id:662103 При каких значениях аргумента х функция у=2 ?) (-∞;1,5] ?) (-∞;1,5) ?) [1,5;+∞) ?) (1,5;+∞) Вопрос id:662104 Владелец дискотеки имел стабильный доход. В погоне за увеличением прибыли он повысил цену на билеты на 25%. Количество посетителей резко уменьшилось, и он стал нести убытки. Тогда он вернулся к первоначальной цене билетов. На сколько процентов владелец дискотеки снизил новую цену билетов, чтобы она стала равна первоначальной? ?) 20 ?) 15 ?) 25 ?) 12 Вопрос id:662105 Вычислить: log4sin ?) 1 ?) 0 ?) -1,5 ?) -1 Вопрос id:662106 Некоторая первообразная функции y=2cos2x+4sin4x принимает в точке х= |
Copyright tests.ithead.ru 2013-2026
в точке х0 = 0
. Введите номер правильного ответа: