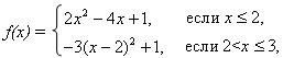
Список вопросов базы знанийАлгебра (9 класс)Вопрос id:638899 Дана функция у = f(x), где
Найдите E(f). ?) E(f) = (–∞; +∞) ?) E(f) = (–3; 1) ?) E(f) = [–3; +∞) ?) E(f) = [–3; 1] Вопрос id:638900 Дана функция у = f(x), где
Найдите D(f). ?) D(f) = [–2, +∞] ?) D(f) = (–∞, 3) ?) D(f) = (–∞, 3] ?) D(f) = (–2, +∞) Вопрос id:638901 Дана функция у = f(x), где
Найдите Е(f). ?) Е(f) = [–2, +∞] ?) Е(f) = (–∞, 3) ?) Е(f) = (–∞, 3] ?) Е(f) = (–2, +∞) Вопрос id:638902 Дана функция у = f(x), где
Найдите D(f). ?) D(f) = (–3; +∞) ?) D(f) = (–3; 1) ?) D(f) = [–3; 1] ?) D(f) = [–3; +∞) Вопрос id:638903 Дана функция у = f(x), где
Найдите D(f). ?) D(f) = [0; 4] ?) D(f) = (–∞; 4) ?) D(f) = (–∞; 4] ?) D(f) = (–∞; 2) Вопрос id:638904 Дана функция у = f(x), где
Найдите E(f). ?) E(f) = (–∞; 4) ?) E(f) = (–∞; 2) ?) E(f) = [0; 4] ?) E(f) = (–∞; 4] Вопрос id:638905 Задайте аналитически функцию, график которой изображен на рисунке:
?) у = ?) у = ?) у = ?) у = Вопрос id:638906 Задайте аналитически функцию, график которой изображен на рисунке:
?) у = – ?) у = – ?) у = ?) у = Вопрос id:638907 Задайте аналитически функцию, график которой изображен на рисунке:
?) у = (х + 2)2 + 2 ?) у = (х – 2)2 + 2 ?) у = (х – 2)2 – 2 ?) у = (х + 2)2 – 2 Вопрос id:638908 Задайте аналитически функцию, график которой изображен на рисунке:
?) у = (х – 2)2 + 4 ?) у = –(х + 2)2 – 4 ?) у = ?) у = – Вопрос id:638909 Задайте аналитически функцию, график которой изображен на рисунке:
?) у = |х| + 2 ?) у = |х| – 2 ?) у = 2|х| + 2 ?) у = 2|х| – 2 Вопрос id:638910 Найдите область определения функции у = ?) х ≤– ?) х ≤– ?) х <– ?) х <– Вопрос id:638911 Найдите область определения функции у = ?) х <– ?) х > ?) х ≥ ?) х ≤– Вопрос id:638912 Найдите область определения функции у = ?) х < –1, –1 < х < 2, х > 2 ?) – ?) – ?) –1 < х < – Вопрос id:638913 Найдите область определения функции у = ![]() ?) х < –6, х > 6 ?) х ≤ –6, –1 < х < 2, х ≥ 6 ?) х < –6, –6 < х < –1, –1 < х < 2, 2 < х < 6, х > 6 ?) х ≤ –6, х ≥ 6 Вопрос id:638914 Найдите область определения функции у = ![]() ?) –5 < х < 1, 1 < х < 5 ?) –5 < х < 5 ?) х < –5, –5 < х < 5, х > 5 ?) –5 < х ≤ 1 Вопрос id:638915 Найдите область определения функции у = ![]() ?) х < –1, –1 < х < 1, 1 < х < ?) х < –1, –1 < х < 1, 1 < х ≤ ?) х ≤ ?) х ≥ Вопрос id:638916 Найдите область определения функции у = ?) х < 1,5, х > 5 ?) х < 1,5, 1,5 < х < 5, х > 5 ?) х ≥ 5 ?) х < 1,5, х > 1,5 Вопрос id:638917 Найдите область определения функции у = ?) х ≤ 0,4 ?) х < 0,4, х > 0,4 ?) х ≥ 0,4 ?) х > 0,4 Вопрос id:638918 Найдите область определения функции у = ?) –4 < х ≤ –1 ?) х < –4, –4 < х < 4, х > 4 ?) х < –4, –4 < х ≤ –1, х > 4 ?) х < –4, –4 < х < –1, –1 < х < 4, х > 4 Вопрос id:638919 Найдите область определения функции у = ?) х < –2, –2 < х < 1, х > 1 ?) х ≥ ?) х > ?) х < –1, –1 < х < Вопрос id:638920 Найдите область определения функции у = ?) х ≠ –1, х ≠ 1, х ≠ –8, х ≠ 8 ?) х ≠ –1, х ≠ 8 ?) х ≠ –1, х ≠ 1, х ≠ –8 ?) х ≠ –8, х ≠ –1 Вопрос id:638921 Найдите область определения функции у = ?) х ≠ –3, х ≠ –1, х ≠ 1, х ≠ 5 ?) х ≠ –15, х ≠ –1, х ≠ 1 ?) х ≠ –3, х ≠ 1, х ≠ 5 ?) х ≠ –1, х ≠ 1, х ≠ 15 Вопрос id:638922 Найдите область определения функции у = ?) х < –2, х > 1 ?) –2 < х < 1 ?) х < –1, –1 < х < 2, х > 2 ?) х < –2, –2 < х < 1, х > 1 Вопрос id:638923 Найдите область определения функции у = ?) х < –50, –50 < х < –7, –7 < х < 2, х > 2 ?) х < –50, –50 < х < –7, х > –7 ?) х < –50, –50 < х < 7, х > 7 ?) х ≠ –50, х ≠ 2, х ≠ 7 Вопрос id:638924 Найдите область определения функции у = ?) х ≠ –0,5 ?) х ≠ –0,5, х ≠ 0,5, х ≠ 0 ?) х ≠ 0,5 ?) х ≠ –0,5, х ≠ 0,5 Вопрос id:638925 Укажите функцию, у которой D(f) = (0; +∞) ?) у = ?) у = ?) у = ?) у = – Вопрос id:638926 Укажите функцию, у которой D(f) = (1; 3) ?) у = ?) у = ?) у = ?) у = Вопрос id:638927 Укажите функцию, у которой D(f) = (–10; +∞) ?) у = ?) у = ?) у = ?) у = Вопрос id:638928 Укажите функцию, у которой D(f) = [–1; 6] ?) у = ?) у = ?) у = ?) у = Вопрос id:638929 Укажите, какой из представленных графиков задает функцию у = f(x) ?) ![]() ?) ![]() ?) ![]() ?) ![]() Вопрос id:638930 Функция у = f(x) задана на множестве всех целых чисел с помощью следующего правила: каждому числу х ставится в соответствие цифра, на которую заканчивается значение квадрата числа х. Найдите область значений этой функции ?) E(f) = {0, 1, 4, 5, 6, 9} ?) E(f) = {0, 1, 2, 3, 4, 5, 6, 7, 8, 9} ?) E(f) = {0, 1, 2, 4, 5, 6, 9} ?) E(f) = {0, 1, 4, 5, 6, 8, 9} Вопрос id:638931 Функция задана формулой S = 2t2 + 4t, где S – путь (в км) и t – время (в ч). Найдите t (в ч), если S = 350 м. ?) ?) ?) ?) Вопрос id:638932 Функция задана формулой S = 2t2 + 4t, где S – путь (в км) и t – время (в ч). Найдите S, если t = 45 мин. ?) 4,23 км ?) 2,375 км ?) 4,125 км ?) 2,75 км Вопрос id:638933 Функция задана формулой S = 2t2 + 4t, где S – путь (в км) и t – время (в ч). Найдите t, если S = 240 км. ?) 10 ч ?) 12 ч ?) 10 ч или 12 ч ?) 8 ч или 10 ч Вопрос id:638934 Функция задана формулой ?) 60 м ?) 0,6 м ?) 6 м ?) 600 м Вопрос id:638935 Функция задана формулой ?) 27 м2 ?) 2,7 м2 ?) 0,27 м2 ?) 270 м2 Вопрос id:638936 Функция задана формулой ?) 90 м3 ?) 0,09 м3 ?) 9 м3 ?) 0,9 м3 Вопрос id:638937 Вычислите наиболее удобным способом: 0,815 · (– ?) –1,4 ?) 0 ?) 3,2 ?) –2,6 Вопрос id:638938 Вычислите наиболее удобным способом: 74,7 · ?) 210 ?) –420 ?) –185 ?) 0 Вопрос id:638939 Вычислите, используя формулы сокращенного умножения: 5 ?) –14 ?) 6 ?) –9 ?) 16 Вопрос id:638940 Вычислите, используя формулы сокращенного умножения: 0,453 – 1,453 – 0,45 · 1,45 = ___. ?) 2,25 ?) –3,61 ?) –6,75 ?) 1,9 Вопрос id:638941 Вычислите, используя формулы сокращенного умножения:
?) 2,25 ?) 1,25 ?) –1,25 ?) –0,64 Вопрос id:638942 Вычислите, используя формулы сокращенного умножения:
?) –0,64 ?) –0,16 ?) 1,25 ?) 0,32 Вопрос id:638943 Вычислите, используя формулы сокращенного умножения:
?) –15 ?) –10 ?) 10 ?) 5 Вопрос id:638944 Вычислите, используя формулы сокращенного умножения:
?) 1,44 ?) –0,81 ?) 0,64 ?) 1,25 Вопрос id:638945 Упростите выражение и найдите все значения переменной, при которых выражение принимает заданное значение k = 0,2:
?) п = –1 и п = 0 ?) п = 4 и п = 1 ?) п = –5 и п = –4 ?) п = 5 и п = –1 Вопрос id:638946 Упростите выражение и найдите все значения переменной, при которых выражение принимает заданное значение k = 9:
?) т = 2 и т = –1 ?) т = 2 и т = 3 ?) т = –3 и т = 1 ?) т = –2 и т = 1 Вопрос id:638947 Упростите выражение и найдите все значения переменной, при которых выражение принимает заданное значение k =
?) q = –2 и q = 0 ?) q = –3 и q = 1 ?) q = 0 и q = 3 ?) q = 3 и q = 1 Вопрос id:638948 Упростите выражение и найдите все значения переменной, при которых выражение принимает заданное значение k =
?) р = ?) р = 1 и р = – ?) р = 0 и р = ?) р = –1 и р = 1,5 |


















.
.
.
.