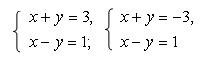
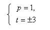
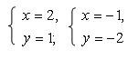
Список вопросов базы знанийАлгебра (9 класс)Вопрос id:640080 ![]() ?) –2 ?) 9 ?) 1 ?) 8 Вопрос id:640081 ![]() ?) 6 ?) –2 ?) 2 ?) –4 Вопрос id:640082 ![]() ?) 9 ?) ?) 8 ?) Вопрос id:640083 .?) (5; 1), (–5; –1), (1; 5), (–1; –5) ?) (1; 4), (–1; –4), (4; 1), (–4; –1) ?) (3; 2), (–3; –2), (2; 3), (–2; –3) ?) (2; 4), (–2; –4), (4; 2), (–4; –2) Вопрос id:640084 ![]() ?) (4; 6) ?) (–2; 1) ?) (–1; 5) ?) (3; –4) Вопрос id:640085 ![]() ?) (–1; 3) ?) (1; –3) ?) (3; –1) ?) (–3; 1) Вопрос id:640086 ![]() ?) (4; 5) ?) (2; 1) ?) (–2; 3) ?) (3; 2) Вопрос id:640087 ![]() ?) (–2; 0,5) ?) (–1; 1,5) ?) ?) Вопрос id:640088 ![]() ?) ?) ?) ?) Вопрос id:640089 Найдите решения (х1; у1) и (х2; у2) системы уравнений и введите число, равное сумме х1 + у1 + х2 + у2 = ___ Вопрос id:640090 ![]() ?) ![]() ?) ![]() ?) ![]() ?) ![]() Вопрос id:640091 ![]() ?) Замена переменных: ?) ?) ?) Решениями системы будут решения системы (1) ?) ![]() ?) при t = 3: р = 2 при t = 2: р = 3 Вопрос id:640092 Укажите количество решений системы уравнений ![]() ?) 6 ?) 4 ?) 2 ?) 8 Вопрос id:640093 Алгоритм использования метода подстановки при решении системы двух уравнений с двумя переменными х, у ?) подставить выражение для у вместо у в другое уравнение системы ?) подставить каждый из корней уравнения поочередно вместо х в выражение у через х ?) решить полученное уравнение относительно х ?) выразить у через х из одного уравнения системы ?) записать ответ в виде пар значений (х; у) Вопрос id:640094 Две системы уравнений с переменными х и у называют ___, если они имеют одни и те же решения или если обе системы не имеют решений Вопрос id:640095 Две системы уравнений с переменными х и у называют равносильными, если ?) в состав уравнений обеих систем входят переменные с одинаковыми степенями ?) они имеют одни и те же решения ?) одно из уравнений одной системы равносильно одному из уравнений другой системы ?) обе системы не имеют решений Вопрос id:640096 Методы решения систем уравнений с двумя переменными ?) метод замены переменных ?) метод подстановки ?) метод разложения на множители ?) графический метод ?) метод алгебраического сложения Вопрос id:640097 Укажите методы решения систем уравнений, использование которых приводит к более простой, но равносильной первоначальной системе уравнений ?) метод подстановки ?) графический метод ?) метод алгебраического сложения ?) метод замены переменных Вопрос id:640098 Укажите соответствие между системой уравнений и ее решением
Вопрос id:640099 Укажите соответствие между системой уравнений и ее решением
Вопрос id:640100 Укажите соответствие между системой уравнений и соответствующей заменой переменных
Вопрос id:640101 Верны ли утверждения? А) Для того, чтобы построить график уравнения (3х + у + 9)(5х + у – 5) = 0, необходимо построить графики функций у = –3х – 9 и у = 5 – 5х В) Для того, чтобы построить график уравнения (2х – 5у – 10)(7х – 3у – 21) = 0, необходимо построить графики функций у = 2 – 0,4х и у = 21 – 7х Подберите правильный ответ ?) А - нет, В - да ?) А - нет, В - нет ?) А - да, В -нет ?) А - да, В - да Вопрос id:640102 Укажите уравнение окружности, изображенной на рисунке
?) х2 + у2 = 4 ?) х2 – у2 = 4 ?) х2 + у2 = 2 ?) х2 – у2 = 2 Вопрос id:640103 Укажите уравнение окружности, изображенной на рисунке
?) х2 + у2 = ?) х2 – у2 = 3 ?) х2 – у2 = ?) х2 + у2 = 3 Вопрос id:640104 Укажите уравнение окружности, изображенной на рисунке
?) х2 + у2 = 2,25 ?) х2 – у2 = 1,5 ?) х2 + у2 = 1,5 ?) х2 – у2 = 2,25 Вопрос id:640105 Укажите уравнение окружности, изображенной на рисунке
?) х2 + у2 = 2,5 ?) х2 – у2 = 2,5 ?) х2 – у2 = 0,25 ?) х2 + у2 = 0,25 Вопрос id:640106 Укажите уравнение окружности, изображенной на рисунке
?) (х + 2)2 + (у – 2)2 = 1 ?) (х – 2)2 + (у + 2)2 = 1 ?) (х + 1)2 + (у – 1)2 = 2 ?) (х + 4)2 + (у – 4)2 = 1 Вопрос id:640107 Укажите уравнение окружности, изображенной на рисунке
?) (х + 3)2 + (у – 1)2 = 4 ?) (х – 3)2 + (у + 1)2 = 16 ?) (х – 3)2 + (у + 1)2 = 4 ?) (х – 9)2 + (у + 1)2 = 4 Вопрос id:640108 Укажите уравнение окружности, изображенной на рисунке
?) (х – 1)2 + (у – 4)2 = 4 ?) (х + 1)2 + (у + 16)2 = 4 ?) (х + 1)2 + (у + 4)2 = 4 ?) (х – 1)2 + (у – 16)2 = 16 Вопрос id:640109 Укажите уравнение окружности, изображенной на рисунке
?) (х – 3)2 + (у – 2)2 = 1 ?) (х + 3)2 – (у + 2)2 = 1 ?) (х + 2)2 + (у + 3)2 = 1 ?) (х + 3)2 + (у + 2)2 = 1 Вопрос id:640110 Укажите уравнение окружности, изображенной на рисунке
?) х2 + (у + 2)2 = 4 ?) х2 + (у – 2)2 = 4 ?) (х – 2)2 + у2 = 4 ?) (х + 2)2 + у2 = 4 Вопрос id:640111 Укажите уравнение окружности, изображенной на рисунке
?) (х – 9)2 + у2 = 9 ?) х2 + (у + 3)2 = 9 ?) (х – 3)2 + у2 = 3 ?) (х + 3)2 + у2 = 9 Вопрос id:640112 Укажите уравнение окружности, изображенной на рисунке
?) х2 + (у – 9)2 = 9 ?) (х + 3)2 + у2 = 9 ?) х2 + (у – 3)2 = 9 ?) х2 + (у + 3)2 = 9 Вопрос id:640113 Укажите уравнение окружности, изображенной на рисунке
?) (х – 1)2 + у2 = 1 ?) х2 + (у – 1)2 = 1 ?) (х – 1)2 – у2 = 1 ?) (х + 1)2 + у2 = 1 Вопрос id:640114 Является ли пара чисел (2; 1) решением уравнения 3х2 – 1 = у? Введите «да», если является, и «нет», если не является ?) нет ?) да Вопрос id:640115 Является ли пара чисел (2; 1) решением уравнения Введите «да», если является, и «нет», если не является ?) да ?) нет Вопрос id:640116 Является ли пара чисел (3; 1) решением уравнения х2 – 2у = 1? Введите «да», если является, и «нет», если не является ?) нет ?) да Вопрос id:640117 Является ли пара чисел (3; 1) решением уравнения Введите «да», если является, и «нет», если не является ?) да ?) нет Вопрос id:640118 Выберите функции, графики которых необходимо построить, чтобы получился график уравнения (4х + 3у – 12)(2х – 9у + 18) = 0 ?) у = ?) у = ?) у = 12 + ?) у = 4 – Вопрос id:640119 Выберите функции, графики которых необходимо построить, чтобы получился график уравнения (5х – 3у + 15)(2х + 7у – 14) = 0 ?) у = 2 – ?) у = 5х + 15 ?) у = ?) у = 2 – Вопрос id:640120 Графиком уравнения х2 + у2 = 25 является ?) парабола ?) прямая ?) окружность ?) гипербола Вопрос id:640121 Графиком уравнения х2 + у2 – 6х = 0 является ___ Вопрос id:640122 Из представленных графиков выберите график уравнения (х + 1)2 + (у – 3)2 = 4 ?) ![]() ?) ![]() ?) ![]() ?) ![]() Вопрос id:640123 Из представленных графиков выберите график уравнения (х + 2)2 + (у + 1)2 = 16 ?) ![]() ?) ![]() ?) ![]() ?) ![]() Вопрос id:640124 Из представленных графиков выберите график уравнения (х + 2)2 + у2 = 9 ?) ![]() ?) ![]() ?) ![]() ?) ![]() Вопрос id:640125 Из представленных графиков выберите график уравнения (х – 3)2 + (у + 5)2 = 1 ?) ![]() ?) ![]() ?) ![]() ?) ![]() Вопрос id:640126 Из представленных графиков выберите график уравнения (х – 4)2 + (у – 1)2 = 9 ?) ![]() ?) ![]() ?) ![]() ?) ![]() Вопрос id:640127 Из представленных графиков выберите график уравнения (х – 4)2 + у2 = 25 ?) ![]() ?) ![]() ?) ![]() ?) ![]() Вопрос id:640128 Из представленных графиков выберите график уравнения х2 + (у + 6)2 = 4 ?) ![]() ?) ![]() ?) ![]() ?) ![]() Вопрос id:640129 Из представленных графиков выберите график уравнения х2 + (у – 3)2 = 36 ?) ![]() ?) ![]() ?) ![]() ?) ![]() |



.
























































