Список вопросов базы знанийАлгебра (9 класс)Вопрос id:639980 Постройте график функции у = 2х2 – 4х –1 и найдите область значений этой функции при х ?) [–5; 3] ?) [–5; –3] ?) [3; 5] ?) [–3; 5] Вопрос id:639981 Постройте график функции у = 3х – 0,5х2 и найдите область значений этой функции при х ?) [–4,5; –3,5] ?) [–4,5; 3,5] ?) [3,5; 4,5] ?) [–3,5; 4,5] Вопрос id:639982 Постройте график функции у = х2 + 4х + 3 и укажите интервалы ее знакопостоянства. ?) у > 0 на (1; 3), у < 0 на (–∞; 1) и (3; +∞) ?) у > 0 на (–3; 1), у < 0 на (–∞; –3) и (1; +∞) ?) у > 0 на (–∞; 1) и (3; +∞), у < 0 на (1; 3) ?) у > 0 на (–∞; –3) и (–1; +∞), у < 0 на (–3; –1) Вопрос id:639983 Постройте график функции у = х2 – 2х – 3 и найдите область значений этой функции при х ?) [4; +∞) ?) [–4; +∞) ?) (–∞; –4] ?) (–∞; 4] Вопрос id:639984 Постройте график функции у = ?) функция возрастает на (–∞; –3], убывает на [–3; +∞) ?) функция возрастает на [3; +∞), убывает на (–∞; –3] ?) функция возрастает на [3; +∞), убывает на (–∞; 3] ?) функция возрастает на (–∞; 3], убывает на [3; +∞) Вопрос id:639985 Постройте график функции у = ?) функция убывает на (0; +∞) и возрастает на (–∞; 0) ?) функция убывает на (–∞; 0) и (0; +∞) ?) функция возрастает на (–∞; 0) и (0; +∞) ?) функция убывает на (–∞; 0) и возрастает на (0; +∞) Вопрос id:639986 Постройте график функции у = –0,5х2 + х – 0,5 и укажите промежутки монотонности функции. ?) функция возрастает на (–∞; –1], убывает на [–1; +∞) ?) функция возрастает на [–1; +∞), убывает на (–∞; –1] ?) функция возрастает на [1; +∞), убывает на (–∞; 1] ?) функция возрастает на (–∞; 1], убывает на [1; +∞) Вопрос id:639987 Постройте график функции у = –0,5х2 – х и укажите интервалы ее знакопостоянства. ?) у > 0 на (–2; 0), у < 0 на (–∞; –2) и (0; +∞) ?) у > 0 на (–∞; 0) и (2; +∞), у < 0 на (0; 2) ?) у > 0 на (–∞; –2) и (0; +∞), у < 0 на (–2; 0) ?) у > 0 на (0; 2), у < 0 на (–∞; 0) и (2; +∞) Вопрос id:639988 Постройте график функции у = –2х2 – 6х и укажите промежутки монотонности функции. ?) функция возрастает на [1,5; +∞), убывает на (–∞; 1,5] ?) функция возрастает на (–∞; –1,5], убывает на [–1,5; +∞) ?) функция возрастает на [–1,5; +∞), убывает на (–∞; –1,5] ?) функция возрастает на (–∞; 1,5], убывает на [1,5; +∞) Вопрос id:639989 Постройте график функции у = –х2 + 4х и найдите область значений этой функции при х ?) [4; +∞) ?) (–∞; 4] ?) (–∞; –4] ?) [–4; +∞) Вопрос id:639990 Постройте график функции у = –х2 + 4х – 4 и укажите интервалы ее знакопостоянства. ?) у > 0 на (–∞; +∞) ?) у > 0 на (–∞; 2) и (2; +∞) ?) у < 0 на (–∞; 2) и (2; +∞) ?) у < 0 на (–∞; +∞) Вопрос id:639991 Постройте график функции у = –х2 + 6х – 5 и укажите интервалы ее знакопостоянства. ?) у > 0 на (1; 5), у < 0 на (–∞; 1) и (5; +∞) ?) у > 0 на (–∞; –5) и (–1; +∞), у < 0 на (–5; –1) ?) у > 0 на (–∞; 1) и (5; +∞), у < 0 на (1; 5) ?) у > 0 на (–1; 5), у < 0 на (–∞; –1) и (5; +∞) Вопрос id:639992 Постройте график функции у = –х2 – 2х + 3 и укажите интервалы ее знакопостоянства. ?) у > 0 на (–∞; –1) и (3; +∞), у < 0 на (–1; 3) ?) у > 0 на (–3; 1), у < 0 на (–∞; –3) и (1; +∞) ?) у > 0 на (3; –1), у < 0 на (–∞; –1) и (3; +∞) ?) у > 0 на (–∞; –3) и (1; +∞), у < 0 на (–3; 1) Вопрос id:639993 Пусть а(х) = ?) ?) ?) ?) – Вопрос id:639994 Укажите область значений функции у = (2х – 1)2 – (3х – 1)2. ?) (–∞; 0,2] ?) (–∞; +∞) ?) (0; +∞) ?) [0,2; +∞) Вопрос id:639995 Укажите область значений функции у = (х – 1)2 + (2х – 3)2. ?) (0; +∞) ?) [0,2; +∞) ?) (–∞; 0,2] ?) (–∞; +∞) Вопрос id:639996 Укажите соответствие между функцией и ее областью определения
Вопрос id:639997 Укажите соответствие между функцией и ее областью определения
Вопрос id:639998 Укажите, какие из указанных точек принадлежал графику функции у = х + х0,5 + 1 ?) С(4; 7) ?) D(4; 8) ?) А(–4; –5) ?) В(0; 1) Вопрос id:639999 Укажите, какие из указанных точек принадлежал графику функции у = х + х–0,5 ?) D(1; 0,5) ?) С(1; 2) ?) А(–4; –4,5) ?) В(0; 0) Вопрос id:640000 ![]() ?) ![]() ?) ![]() ?) ![]() ?) ![]() Вопрос id:640001 ![]() ?) (5; 1) ?) (5; –2) ?) (–2; –2,5) ?) (–2,5; 1) Вопрос id:640002 Аквариум объемом 54 м3 заполняется при помощи двух кранов. При этом первый кран работает 3 ч, а второй – 2 ч. Какова пропускная способность первого крана, если 1 м3 он заполняет на 1 мин медленнее, чем второй? Ответ: ___ м3/ч. Вопрос id:640003 В колледже для проведения письменного экзамена по математике было заготовлено Ответ: ___ чел. Вопрос id:640004 Велосипедист за каждую минуту проезжает на 600 м меньше, чем мотоциклист, поэтому на путь в 120 км он затрачивает времени на 3 ч больше, чем мотоциклист. Верны ли утверждения: А) Скорость мотоциклиста 75 км/ч В) Скорость велосипедиста 25 км/ч Подберите правильный ответ ?) А - нет, В - нет ?) А - да, В - да ?) А - нет, В - да ?) А - да, В -нет Вопрос id:640005 Верны ли определения? А) Расстояние между точками А(х1, у1) и В(х2, у2) вычисляется по формуле В) Графиком уравнения (х – х0)2 + (у – у0)2 = 4 является окружность с центром в точке Подберите правильный ответ ?) А - да, В –нет ?) А - нет, В - нет ?) А - да, В - да ?) А - нет, В - да Вопрос id:640006 Верны ли утверждения? «Первый рабочий может выполнить задание за х часов, а второй – за у. Двое рабочих, работая одновременно, могут справиться с заданием за 2 ч. Если один из них сделает 40% задания, а затем второй – оставшуюся часть работы, то на выполнение задания понадобится 4 ч. Считая, что производительность труда у рабочих различная, ответьте, верны ли составленные уравнения: А) В) Подберите правильный ответ ?) А - нет, В - да ?) А - нет, В - нет ?) А - да, В -нет ?) А - да, В - да Вопрос id:640007 Верны ли утверждения? Дана система уравнений с параметром р:
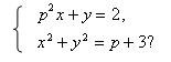
А) График первого уравнения – окружность с центром (0; 0) и радиусом 2; график второго уравнения – парабола у = х2, сдвинутая на величину р В) Для того, чтобы система имела 3 решения, парабола должна иметь вершину в точке Подберите правильный ответ ?) А - да, В - да ?) А - нет, В - да ?) А - нет, В - нет ?) А - да, В -нет Вопрос id:640008 Длина диагонали прямоугольника равна 13, а его площадь 60. Найдите периметр прямоугольника. Ответ: ___ (число) Вопрос id:640009 Из двух городов, расстояние между которыми 700 км, одновременно навстречу друг другу отправляются два поезда и встречаются через 5 ч. Если второй поезд отправится на 7 ч раньше первого, то они встретятся через 2 ч после отправления первого поезда. Укажите соответствие между математическим выражением и его смыслом, если считать, что х км/ч – скорость первого поезда, а у км/ч – скорость второго поезда
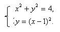
Вопрос id:640010 На участке одноколейной железной дороги длиной 20 км надо уложить рельсы. Для укладки имеются рельсы длиной 25 м и 12,5 м. Если уложить все рельсы длиной 25 м, то надо будет израсходовать половину имеющегося количества рельсов длиной в 12,5 м. Если же уложить все имеющиеся рельсы длиной 12,5 м, то рельсов длиной 25 м надо уложить Ответ: ___ шт Вопрос id:640011 Постройте графики обоих уравнений и укажите, сколько решений (число) имеет система уравнений
Вопрос id:640012 Постройте графики обоих уравнений и укажите, сколько решений (число) имеет система уравнений
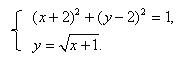
Вопрос id:640013 При каком значении параметра р пара чисел (1; –2) является решением системы уравнений
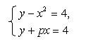
Вопрос id:640014 При каком значении параметра р система уравнений
имеет одно решение? Вопрос id:640015 Пусть первоначальная скорость первого пешехода х км/ч, а второго – у км/ч. Расстояние между двумя поселками, равное 24 км, первый пешеход преодолел на 2 ч быстрее второго. Если скорость движения первого увеличить на 2 км/ч, а второго на 1 км/ч, то и в этом случае весь путь первый преодолеет на 2 ч быстрее второго. Верны ли составленные уравнения: А) В) Подберите правильный ответ ?) А - нет, В - нет ?) А - да, В - да ?) А - нет, В - да ?) А - да, В -нет Вопрос id:640016 Разность катетов прямоугольного треугольника равна 23 дм, а его гипотенуза равна 37 дм. Найдите периметр треугольника. Ответ: ___ дм. Вопрос id:640017 Решите систему уравнений и введите сумму х1 + х2 + у1 + у2 = ___ (число) Вопрос id:640018 Решите систему уравнений и введите сумму х1 + х2 + у1 + у2 = ___ (число) Вопрос id:640019 Сумма двух натуральных чисел равна 50, а произведение – на 11 меньше, чем разность их квадратов. Найдите большее из этих чисел. Ответ: ___ (число) Вопрос id:640020 Сумма двух натуральных чисел равна 50, а произведение – на 11 меньше, чем разность их квадратов. Найдите меньшее из этих чисел. Ответ: ___ (число). Вопрос id:640021 Суммарный доход двух предприятий возрастет втрое, если доход первого предприятия останется неизменным, а доход второго увеличится в 4 раза. Во сколько раз надо увеличить доход первого предприятия, оставляя неизменным доход второго, чтобы их суммарный доход вырос в 4 раза? Ответ: в ___ раз Вопрос id:640022 Турист проплыл на лодке по реке из города А в город В и обратно за 7 ч. Найдите скорость течения реки, если известно, что турист проплывал 2 км против течения за то же время, что и 5 км по течению, а расстояние между городами равно 20 км. Ответ: ___ км/ч. Вопрос id:640023 Укажите все решения системы уравнений
?) (–2; 1), (–2; –1) ?) ?) ?) (2; 1), (–2; –1) Вопрос id:640024 Укажите графическую модель решения системы уравнений
?) ![]() ?) ![]() ?) ![]() ?) ![]() Вопрос id:640025 Бригада слесарей может выполнить некоторое задание по обработке деталей на 15 ч скорее, чем бригада учеников. Если бригада учеников отработает 18 ч, выполняя это задание, а потом бригада слесарей продолжит выполнение задания в течение 6 ч, то будет выполнено только 60% всего задания. Сколько времени требуется бригаде учеников для самостоятельного выполнения задания? Ответ: ___ ч Вопрос id:640026 Две бригады, работая вместе, могут выполнить задание за 8 ч. Первая бригада, работая одна, могла бы выполнить задание на 12 ч быстрее, чем вторая бригада. За сколько часов могла бы выполнить задание первая бригада, если бы она работала одна? Ответ: за ___ ч. Вопрос id:640027 В бассейн проведены две трубы разного сечения. Одна равномерно подает, а вторая равномерно отводит воду, причем через первую бассейн наполняется на 2 ч дольше, чем через вторую опорожняется. При заполненном на ?) 12 и 10 ч ?) 8 и 6 ч ?) 5 и 7 ч ?) 9 и 5 ч Вопрос id:640028 В январе 2008 г. на счет в банке была положена некоторая сумма денег. В конце 2008 г. проценты по вкладу составили 200 руб. Добавив в январе 2009 г. на свой счет еще 1800 руб., вкладчик пришел в банк закрыть счет в декабре 2009 г. и получил 4400 руб. Какая сумма была положена на счет первоначально и сколько процентов в год начисляет банк? ?) 2000 руб., 10% ?) 2500 руб., 12% ?) 3000 руб., 8% ?) 1500 руб., 13% Вопрос id:640029 Два экскаватора, работая одновременно, выполнят некоторый объем земляных работ за 3 ч 45 мин. Один экскаватор, работая отдельно, может выполнить этот объем работ на 4 ч быстрее, чем другой. Сколько времени требуется каждому экскаватору в отдельности для выполнения того же объема земляных работ? ?) 6 ч и 10 ч ?) 5,5 ч и 9,5 ч ?) 7 ч и 11 ч ?) 5 ч и 9 ч |




















