Список вопросов базы знанийАлгебра (9 класс)Вопрос id:640180 Укажите все решения неравенства
?) х > 3 ?) –3 < х < 3 ?) х < –3 ?) решений нет Вопрос id:640181 Укажите все решения неравенства
?) –4 ≤ х < –1 ?) х ≥ 4 ?) –1 < х < 0 ?) 0 < х ≤ 4 ?) х ≤ –4 Вопрос id:640182 Укажите все решения неравенства
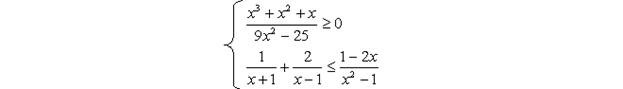
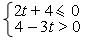
?) х ≥ ?) 2 < х ≤ ?) –4 < х < 2 ?) х < –4 Вопрос id:640183 Укажите все решения системы неравенств
?) 0 ≤ х < 1 ?) – ?) х = 0 ?) х ≥ Вопрос id:640184 Укажите графическую модель решения неравенства:
?) ?) ?) ?) ![]() Вопрос id:640185 Укажите наибольшее число, являющееся решением системы неравенств
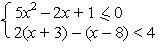
Вопрос id:640186 Укажите числовые промежутки, являющиеся решением неравенства (2 – 3х)(3х + 2)(5 + 3х)(2х – 3) < 0 ?) ?) – ?) х < – ?) – ?) х > Вопрос id:640187 Укажите числовые промежутки, являющиеся решением неравенства (2х + 5)(4х + 3)(7 – 2х)(х – 3) < 0 ?) – ?) 3 < х < ?) х < – ?) – ?) х > Вопрос id:640188 Укажите числовые промежутки, являющиеся решением неравенства (2х + 1)(1 – 2х)(х – 1)(2 – 3х) > 0 ?) х < –0,5 ?) –0,5 < х < 0,5 ?) 0,5 < х < ?) х > 1 ?) Вопрос id:640189 Укажите числовые промежутки, являющиеся решением неравенства (3х – 2)(5 – х)(х + 1)(2 – х) < 0 ?) ?) 2 < х < 5 ?) –1 < х < ?) х < –1 ?) х > 5 Вопрос id:640190 Укажите числовые промежутки, являющиеся решением системы неравенств
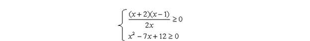
?) х ≤ –3 ?) –1 ≤ х < 0 ?) ?) –1 < х < 3 Вопрос id:640191 Укажите числовые промежутки, являющиеся решением системы неравенств
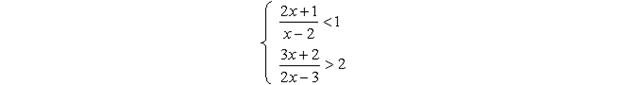
?) 1 ≤ х ≤ 3 ?) –2 ≤ х < 0 ?) 0 < х ≤ 1 ?) х ≥ 4 Вопрос id:640192 Укажите, какие из перечисленных ниже промежутков являются решением неравенства
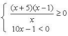
?) 2 ≥ х ≥ –2 ?) –2 ≥ х ≥ –3 ?) х > 3 ?) 3 ≥ х ≥ 2 ?) х < –3 Вопрос id:640193 Укажите, какие из перечисленных ниже промежутков являются решением неравенства
?) –13 ≤ х < –10 ?) 10 < х ≤ 13 ?) х ≥ 13 ?) –10 < х < 10 ?) х ≤ –13 Вопрос id:640194 Укажите, какие из перечисленных ниже промежутков являются решением неравенства
?) –3 ≤ х ≤ 2 ?) –1 ≤ х < 0,5 ?) х ≥ 3 ?) х < –4 ?) 3 < х Вопрос id:640195 Укажите, какие из перечисленных ниже чисел являются решением неравенства
?) 4 ?) –2 ?) – ?) – ?) – Вопрос id:640196 Укажите, какие из перечисленных ниже чисел являются решением системы неравенств
?) ?) – ?) ?) 8,5 Вопрос id:640197 Укажите, какие из перечисленных ниже чисел являются решением системы неравенств
?) 1,5 ?) 2 ?) 8 ?) –3 ?) ни одно из перечисленных Вопрос id:640198 Укажите, какие из перечисленных ниже чисел являются решениями системы неравенств
?) – ?) – ?) 0 ?) Вопрос id:640199 Решите неравенство: 2х + х2 ≤ 0 ?) –2 ≤ х ≤ 0 ?) решений нет ?) х ≤ –2, х ≥ 0 ?) вся числовая ось Вопрос id:640200 Решите неравенство: 49х2 + 14х + 1 ≤ 0 ?) вся числовая ось ?) х < – ?) нет решений ?) х = – Вопрос id:640201 Решите неравенство: 5х + х2 < 0 ?) вся числовая ось ?) решений нет ?) –5 < х < 0 ?) х < –5, х > 0 Вопрос id:640202 Решите неравенство: 8 – 2х ≥ х2 ?) х ≤ –4, х ≥ 2 ?) х ≤ –2, х ≥ 4 ?) –2 ≤ х ≤ 4 ?) –4 ≤ х ≤ 2 Вопрос id:640203 Решите неравенство: х2 + 4х + 3 ≤ 0 ?) нет решений ?) х ≤ 1, х ≥ 3 ?) –3 ≤ х ≤ –1 ?) 1 ≤ х ≤ 3 Вопрос id:640204 Решите неравенство: х2 + 6х + 9 ≥ 0 ?) х ≤ –3, х ≥ 3 ?) вся числовая ось ?) –3 ≤ х ≤ 3 ?) нет решений Вопрос id:640205 Решите неравенство: х2 ≤ 16 ?) х ≤ –4, х ≥ 4 ?) –4 < х < 4 ?) нет решений ?) –4 ≤ х ≤ 4 Вопрос id:640206 Решите неравенство: –4х2 + 20х > 25 ?) нет решений ?) х < –4, х > 5 ?) –4 < х < 5 ?) вся числовая ось Вопрос id:640207 Укажите соответствие между неравенством и графической моделью его решения
Вопрос id:640208 Укажите соответствие между неравенством и его решением
Вопрос id:640209 Укажите, какие из представленных ниже неравенств имеют решением всю числовую ось ?) 7х2 + 3 ≤ 2х ?) 5х2 + 6х + 13 ≥ 0 ?) 3х2 + 4 < х ?) 4х2 + х+ 1 > 0 Вопрос id:640210 Укажите, какие из представленных ниже неравенств не имеют решения ?) –4х2 + х – 1 ≥ 0 ?) –3х2 + 4х – 5 ≤ 0 ?) –2х2 + х – 3 < 0 ?) –6х2 + 5х – 6 > 0 Вопрос id:640211 Верны ли определения? А) Значение переменной, при котором все неравенства системы обращаются в верные числовые неравенства, называют частным решением системы неравенств В) Решением системы неравенств является объединение решений каждого неравенства системы Подберите правильный ответ ?) А - нет, В - нет ?) А - да, В -нет ?) А - да, В - да ?) А - нет, В - да Вопрос id:640212 Верны ли определения? А) Значение переменной, при котором хотя бы одно из неравенств системы обращается в верное числовое неравенство, называют решением системы неравенств В) Множество решений каждого неравенства из системы неравенств представляет собой общее решение системы неравенств Подберите правильный ответ ?) А - нет, В - нет ?) А - да, В - да ?) А - да, В -нет ?) А - нет, В - да Вопрос id:640213 Верны ли утверждения? А) Если в системе из нескольких неравенств с одной переменной одно неравенство не имеет решений, то система не имеет решений В) Если в системе из двух неравенств с одной переменной одно неравенство выполняется при любых значениях переменной, то решением системы служит решение другого неравенства системы Подберите правильный ответ ?) А - да, В - да ?) А - да, В -нет ?) А - нет, В - да ?) А - нет, В - нет Вопрос id:640214 Выберите графическую модель решения системы неравенств
?) ![]() ?) ![]() ?) ![]() ?) ![]() Вопрос id:640215 Какие из чисел являются решением системы неравенств
?) 3 ?) 9 ?) –1 ?) 0 Вопрос id:640216 Какие из чисел являются решением системы неравенств
?) 10 ?) 2 ?) 8 ?) 6 Вопрос id:640217 Какие из чисел являются решением системы неравенств
?) –3 ?) –8 ?) 5 ?) –2 Вопрос id:640218 Какие из чисел являются решением системы неравенств
?) 8 ?) 2 ?) –3 ?) –1 Вопрос id:640219 Решите систему неравенств:
Графическая модель решения представлена на рисунке
?) решений нет ?) –3 ≤ х ≤ 2 ?) –3; 2; х > 5 ?) x > 5 Вопрос id:640220 Решите систему неравенств:
?) х < ?) –3 < х < ?) –3 < х < –2 ?) х < Вопрос id:640221 Решите систему неравенств:
?) любое значение х ?) х < 2 ?) решений нет ?) х > 2 Вопрос id:640222 Решите систему неравенств:
?) решений нет ?) х > ?) любое значение х ?) х < Вопрос id:640223 Решите систему неравенств:
?) х < 2 ?) решений нет ?) любое значение х ?) –2 < х < 2 Вопрос id:640224 Решите систему неравенств:
?) –3 < х < 3 ?) решений нет ?) х ≤ –3, х ≥ 3 ?) любое значение х Вопрос id:640225 Решите систему неравенств:
?) – ?) любое значение х ?) решений нет ?) x > Вопрос id:640226 Решите систему неравенств:
?) –4 ≤ х ≤ 4 ?) любое значение х ?) решений нет ?) х ≥ 4, х ≤ –4 Вопрос id:640227 Решите систему неравенств:
?) х ≥ 0,5 ?) –3 ≤ х < 0, х ≥ 3 ?) –3 ≤ х < 0, х ≥ 0,5 ?) х ≥ 3 Вопрос id:640228 Решите систему неравенств:
?) –5 ≤ х < 0 ?) –5 ≤ х < 0, х ≥ 1 ?) х < 0,1 ?) х < 0,1, х ≥ 1 Вопрос id:640229 Решите систему неравенств:
?) х ≥ 5 ?) –5 ≤ х < 0, х ≥ 9 ?) х ≥ 9 ?) –5 ≤ х < 0 |

























