Тесты онлайн, бесплатный конструктор тестов. Психологические тестирования, тесты на проверку знаний.
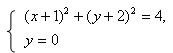
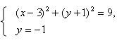
Список вопросов базы знанийАлгебра (9 класс)Вопрос id:640030 Двое учеников вымыли крышки столов в классе за 6 ч. Если бы сначала первый сделал половину этой работы, а затем второй остальную часть, то вся работа была бы выполнена за 12,5 ч. За какое время мог выполнить работу каждый в отдельности? ?) 12 и 14 ч ?) 14 и 16 ч ?) 9 и 12 ч ?) 10 и 15 ч Вопрос id:640031 Двузначное число в 6 раз больше суммы его цифр. Если из этого числа вычесть произведение его цифр, то получится 34. Найдите исходное число Вопрос id:640032 Диагональ прямоугольника равна 10 см, а его периметр равен 28 см. Найдите стороны прямоугольника ?) 3 и 11 см ?) 5 и 9 см ?) 6 и 8 см ?) 4 и 10 см Вопрос id:640033 Если двузначное число разделить на сумму его цифр, то в частном получится 7 и в остатке 6. Если это же двузначное число разделить на произведение его цифр, то в частном получится 3, а в остатке число, равное сумме цифр исходного числа. Найдите исходное число Вопрос id:640034 Если задуманное двузначное число умножить на цифру его единиц, то получится 376, а если из задуманного числа вычесть двузначное число, записанное теми же цифрами, но в обратном порядке, то получится 45. Какое число задумано? Вопрос id:640035 Задуманы два натуральных числа, произведение которых равно 720. Если первое число разделить на второе, то в частном получится 3 и в остатке 3. Какие числа задуманы? ?) 36 и 20 ?) 48 и 15 ?) 18 и 40 ?) 72 и 10 Вопрос id:640036 Из пункта А в одном и том же направлении вышли два лыжника, причем второй стартовал на 6 мин позже первого и догнал первого в 3 км от старта. Дойдя до отметки 5 км, второй лыжник повернул обратно и встретил первого в 4,6 км от старта. Найдите скорости лыжников ?) 10 и 12 км/ч ?) 12 и 15 км/ч ?) 12 и 16 км/ч ?) 10 и 15 км/ч Вопрос id:640037 Какое двузначное число в 4 раза больше суммы своих цифр и в 3 раза больше произведения цифр? Вопрос id:640038 Курьер ехал на велосипеде до станции по грунтовой дороге 10 км с некоторой скоростью, а возвращался обратно лесной дорогой протяженностью 5 км с другой скоростью, затратив на весь путь 1 ч 5 мин. Найдите скорость велосипедиста по грунтовой и по лесной дороге, если на обратный путь он затратил на 15 мин меньше, чем на дорогу до станции ?) 15 км/ч и 12 км/ч ?) 12 км/ч и 10 км/ч ?) 12 км/ч и 16 км/ч ?) 16 км/ч и 10 км/ч Вопрос id:640039 Найдите координаты точек пересечения окружности х2 + у2 = 36 и параболы у = х2 + 6 ?) (0; 0), ( ?) (0; 6) ?) (0; 6), (0; 0) ?) точек пересечения нет Вопрос id:640040 Найдите расстояние между точками А(1; 1) и В(4; 5) на координатной плоскости Вопрос id:640041 Оператор ЭВМ, работая с учеником, обрабатывает задачу за 2 ч 24 мин. Если оператор будет работать 2 ч, а ученик – 1 ч, то будет выполнено ?) 3 и 8 ч ?) 2 и 5 ч ?) 4 и 6 ч ?) 5 и 7 ч Вопрос id:640042 По окружности длиной 60 м равномерно в одном направлении движутся две точки. Одна из них совершает полный оборот на 5 с быстрее другой. При этом совпадение точек происходит каждый раз через 1 мин. Определите скорости движения точек ?) 2 и 3 м/с ?) 3 и 4 м/с ?) 3 и 5 м/с ?) 2 и 4 м/с Вопрос id:640043 Постройте график уравнения 2у – х2 = 0 ?) ![]() ?) ![]() ?) ![]() ?) ![]() Вопрос id:640044 Постройте график уравнения ?) ![]() ?) ![]() ?) ![]() ?) ![]() Вопрос id:640045 При смешивании 40%-го раствора соли с 10%-ным раствором получили 800 г раствора с концентрацией соли 21,25%. Сколько граммов каждого раствора было для этого взято? ?) 200 г и 600 г ?) 350 г и 450 г ?) 300 г и 500 г ?) 250 г и 550 г Вопрос id:640046 Произведение цифр натурального двузначного числа равно 12, а сумма квадратов цифр этого числа равна 40. Найдите это число, а если их несколько, то укажите их сумму ?) 34 ?) 26 ?) 88 ?) 77 Вопрос id:640047 Расположите уравнения окружностей в порядке возрастания их радиуса, начиная с наименьшего ?) (х – 1)2 + (у + 5)2 = 1 ?) (х + 2)2 + (у – 4)2 = 81 ?) (х – 4)2 + у2 – 144 = 0 ?) х2 + у2 = 25 Вопрос id:640048 Сумма квадратов цифр двузначного числа равна 13. Если от этого числа отнять 9, то получится число, записанное теми же цифрами, но в обратном порядке. Найдите исходное число Вопрос id:640049 Сумма цифр двузначного числа равна 12. Если к заданному числу прибавить 36, то получим число, записанное теми же цифрами, но в обратном порядке. Найдите исходное число Вопрос id:640050 Турист проплыл по реке на лодке 90 км и прошел пешком 10 км. При этом на пеший путь было затрачено на 4 ч меньше, чем на путь по реке. Если бы турист шел пешком столько времени, сколько на самом деле он плыл по реке, а плыл по реке столько времени, сколько на самом деле шел пешком, то соответствующие расстояния были бы равны. Сколько времени он шел пешком и сколько времени он плыл по реке? ?) 1 и 5 ч. ?) 2 и 6 ч. ?) 2,5 и 6,5 ч. ?) 1,5 и 5,5 ч. Вопрос id:640051 Укажите соответствие между системой уравнений и ее решением
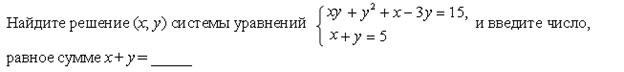
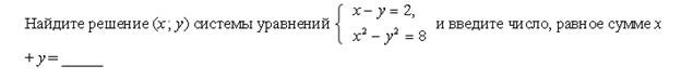
Вопрос id:640052 Чан наполняется двумя кранами при совместной работе за 1 ч. Наполнение чана только через первый кран длится вдвое дольше, чем через второй кран. За какой промежуток времени каждый кран отдельно может наполнить чан? ?) 3 и 1,5 ч ?) 7 и 3,5 ч ?) 2 и 4 ч ?) 3 и 6 ч Вопрос id:640053 ![]() Вопрос id:640054 ![]() Вопрос id:640055 ![]() Вопрос id:640056 ![]() Вопрос id:640057 ![]() Вопрос id:640058 ![]() Вопрос id:640059 ![]() Вопрос id:640060 ![]() Вопрос id:640061 ![]() ?) 14 ?) –16 ?) –12 ?) 10 Вопрос id:640062 ![]() ?) –1 ?) 3 ?) –3 ?) –5 Вопрос id:640063 ![]() ?) 4 ?) –8 ?) –3 ?) 12 Вопрос id:640064 ![]() ?) 5 ?) ?) 4 ?) Вопрос id:640065 ![]() ?) 14 ?) –7,8 ?) –3 ?) 1,2 Вопрос id:640066 ![]() ?) (2; 5), (–1; 6) ?) (–2; 4), (3; 9) ?) (–3; 7), (4; 2) ?) (7; –3), (9; 1) Вопрос id:640067 ![]() ?) (–3; 4), (4; –3) ?) (–1; 2), (2; –1) ?) (1; 0), (0; 1) ?) (–2; 3), (–3; 2) Вопрос id:640068 ![]() ?) (–2; 1), (0,2; 0,5) ?) (3; 2), (–0,4; 0,3) ?) (–4; –2), (0,1; 0,4) ?) (5; 1), (0,3; 0,9) Вопрос id:640069 ![]() ?) (4; 2), (3; 8) ?) (0; 1), (–2; 2) ?) (–5; 2), (6; –1) ?) (1; 1) Вопрос id:640070 ![]() ?) (3; –2), (3; 2), (–2; –3), (–2; 3) ?) (4; –3), (4; 3), (–4; –3), (–4; 3) ?) (5; –1), (5; 1), (–5; –1), (–5; 1) ?) (2; –5), (2; 5), (–2; –5), (–2; 5) Вопрос id:640071 ![]() ?) (4; 1) ?) (–4; –1), (–4; 1) ?) (4; –1), (4; 1) ?) (4; –1), (4; 1), (–4; –1), (–4; 1) Вопрос id:640072 ![]() ?) 2 ?) 3 ?) 1 ?) 4 Вопрос id:640073 ![]() ?) (1; 4), (1; 2), (2; –1), (–0,5; 4) ?) (1; 1), (0,5; 3), (2; –1), (–2; 4) ?) (1; 1), (0,5; 2), (2; –1), (–0,5; 4) ?) (4; 1), (0,5; 2), (0,5; –1), (–0,5; 4) Вопрос id:640074 ![]() Вопрос id:640075 ![]() Вопрос id:640076 ![]() Вопрос id:640077 Введите «да», если соотношения верны, и «нет», если неверны?) нет ?) да Вопрос id:640078 ![]() ?) –9 ?) –3 ?) 15 ?) 9 Вопрос id:640079 ![]() ?) 6 ?) ?) ?) –5 |
Copyright tests.ithead.ru 2013-2026


































Введите «да», если соотношения верны, и «нет», если неверны
