Тесты онлайн, бесплатный конструктор тестов. Психологические тестирования, тесты на проверку знаний.
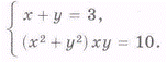
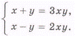
Список вопросов базы знанийАлгебра (9 класс)Вопрос id:641292 График уравнения F(x; by) = 0 при 0 < b < 1 получается из графика уравнения F(x; у) = = 0 с помощью ___ раз ?) сжатия к оси х в b ?) растяжения от оси y в ?) растяжения от оси х в ?) сжатия к оси у в b Вопрос id:641293 График уравнения F(x; by) = 0 при b > 1 получается из графика уравнения F(x; у) = 0 с помощью ?) растяжения от оси y в ?) сжатия к оси у в b раз ?) растяжения от оси х в ?) сжатия к оси х в b раз Вопрос id:641294 График функции ?) проекцией ?) параболой ?) линией ?) гиперболой Вопрос id:641295 График функции у = х2 называют ?) эллипсом ?) гиперболой ?) параболой ?) параболоидом Вопрос id:641296 График четной функции симметричен относительно ?) точки (1;1) ?) начала координат ?) оси абсцисс ?) оси ординат Вопрос id:641297 Графиком неравенства у > ?) левая ?) верхняя ?) правая ?) нижняя Вопрос id:641298 Графиком неравенства у > ?) верхняя ?) левая ?) нижняя ?) правая Вопрос id:641299 Для уравнений пятой степени, а также более высоких степеней формул корней вообще не существует, это доказал ?) Пифогор ?) Эйлер ?) Эвклид ?) Н. Абель Вопрос id:641300 Дробно-рациональным неравенством является ?) x > 7 ?) ?) 11x < 90 ?) 5x = 0 Вопрос id:641301 Дробно-рациональным уравнением является ?) x = 0 ?) 5x = 4 ?) 3x + 5 = 8 ?) Вопрос id:641302 Если b = 0 и a ≠ 0, то графиком уравнения ах + bу = с является прямая, параллельная ?) прямой у = -x ?) оси у ?) оси x ?) прямой у = x Вопрос id:641303 Если b < 0, то уравнение |f(x)| = b ?) имеет бесконечно много корней ?) не имеет корней ?) имеет один корень ?) имеет 2 корня Вопрос id:641304 Если а = 0, b = 0 и с = 0, то графиком неравенства ах + by < с и неравенства ах + by > c является ?) эллипс ?) параболоид ?) пустое множество ?) координатная плоскость Вопрос id:641305 Если в уравнении ах + by = с хотя бы один из коэффициентов а или b не равен нулю, то его графиком является ?) гипербола ?) ось ординат ?) парабола ?) прямая Вопрос id:641306 Если все решения уравнения с двумя переменными изобразить точками в координатной плоскости, то получится(атся) ?) график уравнения с двумя переменными ?) начало координат ?) оси координат ?) график уравнения с одной переменной Вопрос id:641307 Значение переменной, при котором значение многочлена равно нулю, называется ___ многочлена ?) корнем ?) основанием ?) коэффициентом ?) нулем Вопрос id:641308 Значения аргумента, при которых функция обращается в нуль, называются ___ функции ?) нулями ?) координатами ?) решениями ?) вершинами Вопрос id:641309 Класс функций, которые можно задать формулой вида: f(x) = axn + bxn-1 + ...+ kx + l, где а ≠ 0, п - натуральное число, называется функциями ?) квадратическими ?) логарифмическими ?) кубическими ?) целыми рациональныи Вопрос id:641310 Любое дробно-рациональное неравенство можно заменить равносильным неравенством вида ?) ?) ?) ?) Вопрос id:641311 Любое дробно-рациональное уравнение можно заменить равносильным уравнением вида ?) ?) P(x) · Q(x) = 0 ?) ?) Вопрос id:641312 Метод, применяемый для решения целых неравенств, называется методом ?) расстояний ?) интервалов ?) диапозонов ?) знаковым Вопрос id:641313 Множество всех значений, которые принимает функция, называется ___ функции ?) областью значений ?) нулями ?) областью определения ?) корнями Вопрос id:641315 Наибольшая из степеней входящих в многочлен одночленов называется ___ многочлена стандартного вида ?) степенью ?) мощностью ?) рангом ?) коэффициентом Вопрос id:641316 Неравенство вида ах + by < с или ах + by > с, где х и у - переменные, а, b и с - некоторые числа, называется ___ неравенством с двумя переменными ?) нулевым ?) равносильным ?) кубическим ?) линейным Вопрос id:641317 Неравенство с одной переменной, обе части которого являются рациональными выражениями, называется ?) рациональным ?) нулевым ?) дробным ?) линейным Вопрос id:641318 Неравенством, содержащим переменную под знаком модуля, является ?) |х - а| > b ?) |х - а| = b ?) х - |а| < b ?) (х - а) > b Вопрос id:641319 Областью определения функции f(x) = ах2 + bх + с при а > 0 является множество ___ чисел ?) положительных действительных ?) отрицательных действительных ?) целых ?) действительных Вопрос id:641320 Пара значений переменных, обращающая каждое уравнение системы уравнений с двумя переменными в верное равенство, называется ___ системы уравнений с двумя переменными ?) основаниями ?) решением ?) корнями ?) нулями Вопрос id:641321 Параболическое зеркало, согласно легенде, использовал, чтобы помочь защитникам Сиракуз в войне против римлян, ?) Геракл ?) Пифагор ?) Эвклид ?) Архимед (287-212 гг. до н. э.) Вопрос id:641322 Пересечение множеств решений неравенств, составляющих систему, является ___ системы неравенств ?) множеством решений ?) областью значений ?) областью определения ?) множеством нулей Вопрос id:641323 Представление многочлена в виде произведения двух или нескольких многочленов называется ?) выделением общего множителя многочлена ?) решением многочлена ?) конвертацией многочлена ?) разложением многочлена на множители Вопрос id:641324 Прямая, к которой приближаются как угодно близко точки кривой при удалении их в бесконечность, называется ?) гиперболой кривой ?) параболой ?) асимптотой кривой ?) критической линией Вопрос id:641325 Рациональное выражение, которое не содержит операции деления на выражение с переменными, называется ?) логарифмическим ?) целым ?) нулевым ?) производным Вопрос id:641326 Рациональное неравенство, левая и правая части которого - целые выражения, называется ?) целым ?) возвратным ?) квадратичным ?) нулевым Вопрос id:641327 Рациональное неравенство, обе части которого или хотя бы одна из них являются дробными выражениями, называется ?) возвратным ?) дробно-рациональным ?) квадратичным ?) линейным Вопрос id:641329 Решением неравенства ?) (-6; 5)∪(5; +∞) ?) (5; +∞) ?) (-6; 2)∪(5; +∞) ?) (-6; 2) Вопрос id:641330 Решением неравенства ?) (-∞; -3)∪(-2; 1)∪(1; 3) ?) (5; +∞) ?) (-∞;3) ?) (-∞; -3)∪( 1; 3) Вопрос id:641331 Решением неравенство | х + 1| < 5 является ?) (-6; +∞) ?) (0; +∞) ?) (-6; 4) ?) 0 Вопрос id:641332 Решением уравнение |х - 2| = 3 является(ются) ?) -1 ?) 0 ?) 5 ?) -1 и 5 Вопрос id:641333 Решите неравенство | х2 - 5х - 6| < х + 10 ?) (-2; 2) ∪ (3; 8) ?) (-2; 2) ∪ (2; 8) ?) (-2; 2) ∪ (2; +∞) ?) (-2; 2) Вопрос id:641334 Решите неравенство |x + 1| + |x + 4| <5 ?) (- ?) (-2; 2) ∪ (3; 8) ?) (-2; 2) ∪ (2; +∞) ?) (-5; 0) Вопрос id:641335 Решите неравенство |х2 - х| < |х - 10| ?) (-2; 2) ∪ (3; 8) ?) (-2; 2) ∪ (2; +∞) ?) (- ?) (- Вопрос id:641336 Решите систему ![]() ?) (0; 0); (2; 0,4) ?) (0; 0) ?) (1; 2), (2; 1) ?) (1; 2), (2; +∞) Вопрос id:641337 Решите систему ![]() ?) (0; 0) ?) (0; 0); (2; 0,4) ?) (-2; 2) ∪ (3; 8) ?) (-2; 2) ∪ (2; +∞) Вопрос id:641338 Решите систему ![]() ?) (0; 0); (2; 0,4) ?) (3,4; 5,2), (-1; +∞) ?) (0; 0) ?) (3,4; 5,2), (-1; 3) Вопрос id:641339 Соответствие между множествами X и Y, при котором каждому элементу множества X соответствует единственный элемент множества Y, называется ?) графиком функции ?) функцией ?) числовой последовательностью ?) формулой Вопрос id:641340 Составьте неравенство, задающее верхнюю открытую полуплоскость, граница которой проходит через точки (-2; 0) и (0; 2) ?) у - х > 2 ?) у - х < 2 ?) х < 2 ?) у - х < 0 Вопрос id:641341 Способ решения систем уравнений, в котором строят графики обоих уравнений и находят координаты общих точек этих графиков, называется методом ?) графическим ?) сложения ?) разложения на множители ?) подстановки Вопрос id:641342 Способ решения систем уравнений, в котором на одном из этапов выражают из какого-либо уравнения системы одну переменную через другую, называется методом ?) разложения на множители ?) подстановки ?) сложения ?) графическим метдом Вопрос id:641343 Способ решения систем уравнений, в котором на одном из этапов складывают почленно левые и правые части уравнений, называется методом ?) подстановки ?) вычитания ?) сложения ?) разложения на множители |
Copyright tests.ithead.ru 2013-2026


