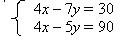
Список вопросов базы знанийАлгебра (9 класс)Вопрос id:640280 Решите задачу: Два туриста одновременно выехали из пунктов A и В навстречу друг другу. Расстояние между А и В равно 50 км. Встретившись через час, туристы продолжили путь с той же скоростью. Первый прибыл в В на 50 мин раньше, чем второй в А. Определите, с какой скоростью ехал первый турист. Ответ: скорость первого туриста равна ___ км/ч (число) Вопрос id:640281 Решите задачу: Завод по плану должен был к определенному сроку изготовить 180 станков. Перевыполняя дневную норму на 2 станка, завод выполнил задание на 1 день раньше срока. За сколько дней завод выполнил план? Ответ: завод выполнил план за ___ дней (число) Вопрос id:640282 Решите задачу: Из города А в город В выехал велосипедист. Спустя 44 мин вслед за ним выехал мотоциклист, скорость которого на 30 км/ч больше скорости велосипедиста. Через 36 мин после своего выезда мотоциклист, обогнав велосипедиста, был на расстоянии 7 км от него. Найдите скорость велосипедиста. Ответ: скорость велосипедиста равна ___ км/ч (число) Вопрос id:640283 Решите задачу: Из города А в город В, расстояние между которыми 120 км, одновременно выехали два велосипедиста. Скорость первого на 3 км/ч больше скорости второго, поэтому он прибыл в город В на 2 ч раньше. Определите скорость первого велосипедиста. Ответ: скорость первого велосипедиста равна ___ км/ч (число) Вопрос id:640284 Решите задачу: Из города А в город В, расстояние между которыми равно 30 км, выехал грузовик. Через 10 мин вслед за ним отправился легковой автомобиль, скорость которого на 20 км/ч больше скорости грузовика. Найдите скорость легкового автомобиля, если известно, что он приехал в город B на 5 мин раньше грузовика. Ответ: скорость легкового автомобиля равна ___ км/ч (число) Вопрос id:640285 Решите задачу: Катер должен был пройти 36 км за определенный срок, но был задержан с отправлением на 18 мин, а потому, чтобы прибыть вовремя, шел со скоростью, на 6 км/ч большей, чем полагалось по расписанию. С какой скоростью шел катер? Ответ: скорость катера равна ___ км/ч (число) Вопрос id:640286 Решите задачу: На одно платье и три сарафана пошло 9 м ткани, а на три таких же платья и пять таких же сарафанов – 19 м ткани. Сколько ткани требуется на одно платье? Ответ: на одно платье требуется ___ м ткани (число) Вопрос id:640287 Решите задачу: Периметр прямоугольного треугольника равен 84 см, а его гипотенуза равна 37 см. Найдите площадь этого треугольника. Ответ: площадь треугольника равна ___ см2 (число) Вопрос id:640288 Решите задачу: Пешеход рассчитывал, что, двигаясь с определенной скоростью, намеченный путь он пройдет за 1,2 часа. Но он шел со скоростью, превышающей запланированную на 1 км/ч, поэтому прошел путь за 1 ч. Найдите длину пути. Ответ: длина пути пешехода равна ___ км (число) Вопрос id:640289 Решите задачу: Расстояние между пунктами А и В грузовой автомобиль должен был преодолеть за 3 ч. Первые 2 ч он ехал с намеченной скоростью, а затем увеличил ее на 10 км/ч и поэтому в конечный пункт прибыл на 12 мин раньше, чем предполагалось. Найдите первоначальную скорость автомобиля. Ответ: первоначальная скорость автомобиля равна ___ км/ч (число) Вопрос id:640290 Решите задачу: Расстояние по реке между пунктами А и В равно 45 км. Одновременно из них навстречу друг другу вышли две моторные лодки, собственные скорости которых равны. Через 1,5 ч они встретились. Найдите собственную скорость лодок, если скорость течения реки равна 3 км/ч. Ответ: собственные скорости лодок равны ___ км/ч (число) Вопрос id:640291 Решите задачу: Токарь должен был изготовлять по 24 детали в день, чтобы выполнить задание в срок. Однако он делал в день на 15 деталей больше и уже за 6 дней до срока изготовил 21 деталь сверх плана. Сколько деталей изготовил токарь? Ответ: токарь изготовил ___ деталей (число) Вопрос id:640292 Решите задачу: Швея получила заказ сшить 60 сумок к определенному сроку. Она шила в день на 2 сумки больше, чем планировалось, поэтому уже за 4 дня до срока ей осталось сшить только 4 сумки. Сколько сумок в день шила швея? Ответ: швея шила ___ сумок в день (число) Вопрос id:640293 Решите систему уравнений:
?) х = –1, у = 0,8 ?) решений нет ?) х = 2, у = 2 ?) х = –5, у = 4 Вопрос id:640294 Решите уравнение: 2х2 – х(2х – 5) – 2(2х – 1) – 5 = 0. Ответ: х = ___ (число) Вопрос id:640295 Решите уравнение: 6х(х + 2) – 0,5(12х2 – 7х) – 31 = 0. Ответ: х = ___ (число). Вопрос id:640296 Решите уравнение: Ответ: х = ___ (число) Вопрос id:640297 Укажите соответствие между аргументом и значением функции:
Вопрос id:640298 Укажите соответствие между аргументом и значением функции:
Вопрос id:640299 Число b =
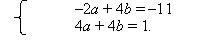
Найдите значение а. Ответ: а = ___ (число) Вопрос id:640300 Из представленных чисел выберите решения уравнения ?) 3 ?) 2 ?) 0 ?) 1 Вопрос id:640301 Из представленных чисел выберите решения уравнения ?) –2 ?) 0 ?) –3 ?) –1 Вопрос id:640302 Разложите на множители методом дополнения до полного квадрата: х2 + 16х + 39 = ___ ?) (х – 3)(х + 13) ?) (х – 3)(х – 13) ?) (х + 3)(х – 13) ?) (х + 3)(х + 13) Вопрос id:640303 Разложите на множители: (х3 – 64) = ___ ?) (х – 4)(х2 + 4х + 16) ?) (х + 4)(х2 – 4х + 16) ?) (х + 4)(х2 – 8х + 16) ?) (х – 4)(х2 + 8х + 16) Вопрос id:640304 Разложите на множители: 15х3 + 15у3 = ___ ?) (х – 15у)(15х2 + 2ху + у2) ?) 15(х + у)(х2 – ху + у2) ?) 225(х + у)(х2 – 2ху + у2) ?) (15х – у)(х2 + 15ху + у2) Вопрос id:640305 Разложите на множители: 2х2 – 297х + 295. ?) (2х – 295)(х – 1) ?) (х + 295)(2х – 1) ?) (2х – 295)(х + 1) ?) (х + 295)(2х + 1) Вопрос id:640306 Разложите на множители: 3х2 + 35х – 38. ?) 3(х – 1)(х + 38) ?) 3(х – 1)(х + ?) (х – 1)(х + ?) (х – 3)(х + Вопрос id:640307 Разложите на множители: 4a + bу + ау + 4b = ___ ?) (b – у)(а – 4) ?) (4 + b)(а + у) ?) (4 + a)(y + b) ?) (4 + у)(а + b) Вопрос id:640308 Разложите на множители: 5х2 + 10ху + 5у2 = ___ ?) (5х + у)2 ?) 25(х + у)2 ?) (х + 5у)2 ?) 5(х + у)2 Вопрос id:640309 Разложите на множители: 9т2 – 9тп – 5т + 5п = ___ ?) (9т – п)(5т + п) ?) (9т – 5)(т – п) ?) (9т + 5)(т – п) ?) (5т – 9)(т + п) Вопрос id:640310 Разложите на множители: ах + bx + ас + bc = ___ ?) (c + b)(x + a) ?) (x + b)(a + c) ?) (а + b)(x + c) ?) (а + х)(b + c) Вопрос id:640311 Разложите на множители: х2 – 16х + 55 = ___ ?) (х – 11)(х + 5) ?) (х – 11)(х – 5) ?) (х + 11)(х + 5) ?) (х + 11)(х – 5) Вопрос id:640312 Разложите на множители: х2 – 2у – х – 4у2 = ___ ?) (2у – х)(х + 2у – 1) ?) (у + 2х)(х – 2у + 1) ?) (2у + х)(х – 2у – 1) ?) (у + 2х)(х + 2у – 1) Вопрос id:640313 Решите уравнение ?) 2 ?) –2 ?) –1; 2 ?) –2; 1 Вопрос id:640314 Решите уравнение ?) 2 ?) 5 ?) –2 ?) 5; 2 Вопрос id:640315 Решите уравнение: (3х – 1)(2х – 2) = (х – 4)2 + 7 ?) 2,1 ?) ?) ?) Вопрос id:640316 Решите уравнение: 14х2 – 5х – 1 = 0 ?) ?) решений нет ?) – ?) –2; 7 Вопрос id:640317 Решите уравнение: 2х – (х + 1)2 = 3х2 – 5. ?) 1 ?) ?) нет решений ?) Вопрос id:640318 Решите уравнение: 3х2 + 5х – 2 = 0. ?) 2; ?) –2; – ?) –2; ?) 2; – Вопрос id:640319 Сократите дробь: ?) ?) ?) – ?) Вопрос id:640320 Сократите дробь: ?) ?) ?) ?) Вопрос id:640321 Укажите соответствие между выражением и его значением
Вопрос id:640322 Укажите соответствие между системой уравнений и суммой ее корней
Вопрос id:640323 Укажите соответствие между числовым выражением и его значением
Вопрос id:640324 Упростите выражение: 2у(х – у) + у(3у – 2х) = ___ ?) 2ху ?) 2у2 ?) у2 ?) 3у Вопрос id:640325 Верны ли утверждения? А) Если а > b, а b > 2, то 10а > 3b + 14. В) При b > 0 Подберите правильный ответ ?) А - да, В -нет ?) А - нет, В - да ?) А - да, В - да ?) А - нет, В - нет Вопрос id:640326 Верны ли утверждения? А) Если а < b, а b < 3, то 13а < 4b + 27. В) При а > 0 Подберите правильный ответ ?) А - да, В - да ?) А - да, В -нет ?) А - нет, В - да ?) А - нет, В - нет Вопрос id:640327 Для выражения Верны ли утверждения? А) Выражение определено при х ≤ –9 и при х ≥ 2. В) Выражение равно нулю при х = –9 и при х = –2. Подберите правильный ответ ?) А - да, В - да ?) А - нет, В - нет ?) А - нет, В - да ?) А - да, В -нет Вопрос id:640328 Для выражения Верны ли утверждения? А) Выражение определено при х ≤ –1 и при х ≥ 11 В) Выражение равно нулю при х = –1, при х = 0 и при х = 11 Подберите правильный ответ ?) А - да, В -нет ?) А - нет, В - да ?) А - да, В - да ?) А - нет, В - нет Вопрос id:640329 Для выражения Верны ли утверждения? А) Выражение определено при х < –2,5. В) Выражение равно нулю только при х = 3 Подберите правильный ответ ?) А - нет, В - да ?) А - нет, В - нет ?) А - да, В -нет ?) А - да, В - да |

