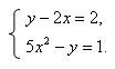
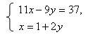
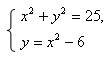
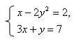
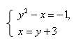
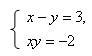
Список вопросов базы знанийАлгебра (9 класс)Вопрос id:639149 График уравнения (х – 5)2 + (у + 2)2 – 9 = 0 задает окружность ___ ?) с центром в точке (–5; 2) и радиусом 9 ?) с центром в точке (5; –2) и радиусом 3 ?) с центром в точке (5; –2) и радиусом 9 ?) с центром в точке (–5; 2) и радиусом 3 Вопрос id:639150 Два экскаватора, работая одновременно, выполняют некоторый объем земляных работ за 3 ч 45 мин. Один экскаватор, работая отдельно, может выполнить этот объем работ на 4 ч быстрее, чем другой. Сколько времени требуется каждому экскаватору в отдельности для выполнения того же объема земляных работ? ?) 12 и 8 ч ?) 11 и 7 ч ?) 10 и 6 ч ?) 9 и 5 ч Вопрос id:639151 Запишите уравнение окружности с центром в начале координат, если известно, что она проходит через точку А(–2; ?) х2 + у2 = 9 ?) (х + 2)2 + (у – ?) (х + 2)2 + (у – ?) х2 + у2 = 25 Вопрос id:639152 Запишите уравнение окружности с центром в точке О(2; –5), если известно, что она проходит через точку А(–3; 7) ?) (х – 2)2 + (у + 5)2 = 169 ?) (х – 2)2 + (у + 5)2 = 25 ?) (х + 3)2 + (у – 7)2 = 169 ?) (х + 3)2 + (у – 7)2 = 25 Вопрос id:639153 Из некоторого пункта вышли одновременно два отряда. Один направился на север, а другой – на восток. Спустя 4 ч расстояние между отрядами было равно 24 км, причем первый отряд прошел на 4,8 км больше, чем второй. С какой скоростью шел каждый отряд? ?) 3,7 и 4,5 км/ч ?) 4,8 и 3,6 км/ч ?) 3,2 и 5,4 км/ч ?) 4,5 и 3,4 км/ч Вопрос id:639154 Из представленных неравенств выберите те, решением которых является вся числовая ось ?) х2 + 2х – 48 < 0 ?) 7х2 – 10х + 7 > 0 ?) 4х2 – 12х + 9 > 0 ?) 0,25х2 – 8х + 64 ≥ 0 Вопрос id:639155 Из представленных пар чисел выберите те, которые являются решением системы уравнений ![]() ?) ?) (3; –5) ?) ?) (1; 4) Вопрос id:639156 Из пунктов А и В, расстояние между которыми равно 40 км, вышли одновременно навстречу друг другу два пешехода. Через 4 ч им осталось пройти до встречи 4 км. Если бы из пункта А пешеход вышел на 1 ч раньше, то встреча произошла бы на середине пути. С какой скоростью шел каждый пешеход? ?) 3 и 5 км/ч ?) 4 и 5 км/ч ?) 3 и 6 км/ч ?) 4 и 6 км/ч Вопрос id:639157 Известно, что функция у = f(x) – четная и ограничена сверху при х > 0. Эта функция при х < 0 ___ ?) ограничена сверху ?) ограничена снизу ?) ограничена сверху и снизу ?) не ограничена Вопрос id:639158 Найдите область определения выражения у = ?) (–∞, –3) ?) (–3, 3) ?) (–∞, –3) ?) (–∞, 3) Вопрос id:639159 Найдите область определения функции у = х2 + ?) (–1, 1) ?) (–∞, –1] ?) [–1, 1] ?) (–∞, –1) Вопрос id:639160 Найдите область определения функции у = ?) (–12, 1) ?) (–∞, –12] ?) [–12, 1] ?) (–∞, –12) Вопрос id:639161 Найдите решения (х1; у1) и (х2; у2) системы уравнений и введите число, равное сумме х1 + у1 + х2 + у2 = ___Вопрос id:639162 Найдите решения (х1; у1) и (х2; у2) системы уравнений и введите число, равное сумме х1 + у1 + х2 + у2 = ___Вопрос id:639163 Найдите решения (х1; у1) и (х2; у2) системы уравнений и введите число, равное сумме х1 + у1 + х2 + у2 = ___Вопрос id:639164 Пара чисел (18; 3) является решением системы уравнений при b = ___ (число)Вопрос id:639165 Перечислите через запятую, без пробелов, начиная с наименьшего, все целые числа, принадлежащие области определения выражения у = Вопрос id:639166 При каких значениях х имеет смысл выражение ?) (–∞, –9] ?) (–9, 0) ?) [–9, 0] ?) (–∞, –9) Вопрос id:639167 Решите неравенство: 2х2 – 7х + 6 > 0 ?) (–∞, 1,5) ?) (–∞, 1,5) ?) (–1,5, 0) ?) (–1,5, 2) Вопрос id:639168 Сколько целых чисел являются решением неравенства (8 – х)(х – 0,3) ≥ 0 Вопрос id:639169 Сколько целых чисел являются решением неравенства Вопрос id:639170 Укажите верные утверждения для функции у = 5х + ?) ни четная, ни нечетная ?) D(f) = (0, +∞) ?) возрастающая ?) Е(f) = (0, +∞) Вопрос id:639171 Укажите верные утверждения для функции у = х2 + ?) возрастающая ?) E(f) = [0, +∞) ?) четная ?) ограниченная Вопрос id:639172 Укажите верные утверждения для функции у = – х + ?) неограниченная ни сверху, ни снизу ?) нечетная ?) убывающая ?) D(f) = (–∞, 0] Вопрос id:639173 Укажите верные утверждения для функции у = –2 ?) функция нечетная ?) D(f) = (–∞, 0) ?) функция неограниченная ?) функция имеет разрыв в точке х = 0 Вопрос id:639174 Укажите все числовые промежутки, являющиеся решением неравенства 0,2х2 > 1,8 ?) (–∞, –3) ?) (3, +∞) ?) (0, 3) ?) (–3, 0) Вопрос id:639175 Укажите все числовые промежутки, являющиеся решением неравенства ?) (1,4, +∞) ?) (–3,8; 1,4) ?) [1,4, +∞) ?) (–∞, –3,8) Вопрос id:639176 Укажите правильные утверждения для функции у = 2х – 1, 1 ≤ х ≤ 4 ?) E(f) = [1, 7] ?) D(f) = (–∞, +∞) ?) функция убывает на всей области определения ?) функция ни четная, ни нечетная Вопрос id:639177 Укажите правильные утверждения для функции у = ?) функция четная ?) D(f) = (–∞, +∞) ?) унаим. = 0, унаиб. = 1 ?) E(f) = [0, 1) Вопрос id:639178 Укажите правильные утверждения для функции у = –3х + 8, –2 ≤ х ≤ 5 ?) E(f) = [–7, 14] ?) функция возрастает на всей области определения ?) функция непрерывна на всей области определения ?) функция ни четная, ни нечетная Вопрос id:639179 Укажите соответствие между системой уравнений и количеством ее решений
Вопрос id:639180 Укажите соответствие между функцией и ее графиком
Вопрос id:639181 Укажите соответствие между функцией и ее областью определения
Вопрос id:639182 Укажите соответствие между функцией и ее областью определения
Вопрос id:639183 Укажите соответствие между функцией и ее свойством
Вопрос id:639184 Укажите соответствие между функцией и координатными четвертями, в которых расположен ее график
Вопрос id:639185 Установите уравнения в порядке увеличения количества их решений ?) х8 + 1 = –3 ?) х11 = –2х + 1 ?) х3 = х ?) х16 = 2 Вопрос id:639186 Установите уравнения в порядке увеличения количества их решений ?) 3 ?) 0,2х–4 = 2 + х ?) ?) 0,5 Вопрос id:639187 Верны ли утверждения?
А) унаим. не существует, унаиб. = 0 В) E(f) = [0, +∞) Подберите правильный ответ ?) А - нет, В - нет ?) А - да, В -нет ?) А - нет, В - да ?) А - да, В - да Вопрос id:639188 Верны ли утверждения?
А) возрастает на (–∞, –1], убывает на [–1, 2] В) E(f) = (–∞, 2] Подберите правильный ответ ?) А - да, В -нет ?) А - да, В - да ?) А - нет, В - нет ?) А - нет, В - да Вопрос id:639189 Верны ли утверждения? А) Графики функций у = х и у = В) Графики функций у = х–7 и у = –х не имеют точек пересечения Подберите правильный ответ ?) А - нет, В - да ?) А - да, В -нет ?) А - да, В - да ?) А - нет, В - нет Вопрос id:639190 Верны ли утверждения? А) Графики функций у = х–4 и у = –2 не имеют точек пересечения В) Графики функций у = Подберите правильный ответ ?) А - да, В -нет ?) А - да, В - да ?) А - нет, В - да ?) А - нет, В - нет Вопрос id:639191 Постройте график функции и укажите верные утверждения:
?) х = 0 – точка разрыва функции ?) E(f) = (–∞, +∞) ?) унаим. = 0, унаиб. не существует ?) функция ни четная, ни нечетная Вопрос id:639192 Постройте график функции и укажите верные утверждения:
?) функция непрерывна на всей области определения ?) E(f) = [0, +∞) ?) функция выпукла вверх на [–2, 0], вниз на (0; +∞) ?) D(f) = (–∞, +∞) Вопрос id:639193 Постройте график функции и укажите верные утверждения:
?) функция ни четная, ни нечетная ?) функция возрастает на всей области определения ?) D(f) = (–∞, +∞) ?) х = 0 – точка разрыва графика функции Вопрос id:639194 Постройте график функции и укажите верные утверждения:
?) функция непрерывна на всей области определения ?) функция ни четная, ни нечетная ?) E(f) = (–∞, 1] ?) функция убывает на всей области определения Вопрос id:639195 Постройте график функции и укажите верные утверждения:
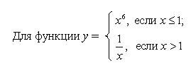
?) D(f) = (–∞, +∞) ?) функция непрерывна на (–∞, 0) и на (0, +∞) ?) функция четная ?) унаим. не существует, унаиб. = 0 Вопрос id:639196 Постройте график функции и укажите верные утверждения:
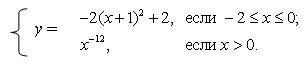
?) унаим. = 0, унаиб. не существует ?) возрастает на (–∞, 0) и на [0, 1], убывает на [1, +∞) ?) функция ни четная, ни нечетная ?) E(f) = [0; +∞) Вопрос id:639197 Постройте график функции и укажите верные утверждения:
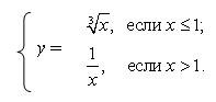
?) непрерывна на всей области определения ?) ни четная, ни нечетная ?) E(f) = [–1, 17] ?) D(f) = (–∞, +∞) Вопрос id:639198 Постройте график функции и укажите верные утверждения:
?) функция возрастает на всей области определения ?) функция непрерывна на (–∞, 0) и на (0, +∞) ?) E(f) = [0, +∞) ?) унаим. = 0, унаиб. не существует |

и введите число, равное сумме х1 + у1 + х2 + у2 = ___
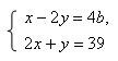
и введите число, равное сумме х1 + у1 + х2 + у2 = ___
и введите число, равное сумме х1 + у1 + х2 + у2 = ___
при b = ___ (число)














