Список вопросов базы знанийАлгебра (9 класс)Вопрос id:640230 Решите систему неравенств:
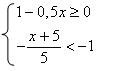
?) –7 < х < –3, 0 < х ≤ 2 ?) х ≥ 2 ?) х ≥ 1 ?) 1 ≤ х < 2 Вопрос id:640231 Решите систему неравенств:
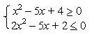
?) ?) ?) –3 ≤ х ≤ –1 ?) –3 ≤ х < 0 Вопрос id:640232 Укажите графическую модель решения системы неравенств
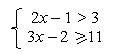
?) ?) ?) ?) Вопрос id:640233 Укажите наибольшее целое число, являющееся решением двойного неравенства 0 < 1 – 5х < 13 Вопрос id:640234 Укажите наибольшее целое число, являющееся решением двойного неравенства 0 < 1 + 4х < 17. Вопрос id:640235 Укажите наибольшее целое число, являющееся решением системы неравенств
Вопрос id:640236 Укажите наибольшее целое число, являющееся решением системы неравенств
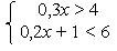
Вопрос id:640237 Укажите наименьшее целое число, являющееся решением двойного неравенства 0 < 1 + 4х < 17 Вопрос id:640238 Укажите наименьшее целое число, являющееся решением системы неравенств
Вопрос id:640239 Укажите наименьшее целое число, являющееся решением системы неравенств
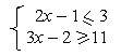
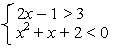
Вопрос id:640240 Укажите числа, которые являются решением системы неравенств
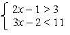
?) 2 ?) 4 ?) 3 ?) 5 Вопрос id:640241 Укажите числа, которые являются решением системы неравенств
?) 2 ?) 1 ?) 4 ?) 0,5 Вопрос id:640242 Укажите числовые промежутки, соответствующие области определения выражения
?) ?) ?) ?) 4 ≤ х < 5 Вопрос id:640243 Укажите числовые промежутки, соответствующие области определения выражения
?) 5 ≤ х ≤ 6 ?) х ≤ 2 ?) х ≥ 6 ?) 3 ≤ х ≤ 5 Вопрос id:640244 Укажите числовые промежутки, соответствующие области определения выражения
?) х ≥ 0,25 ?) х ≤ –0,5 ?) х > 7 ?) х < –2 Вопрос id:640245 Укажите числовые промежутки, соответствующие области определения выражения
?) 2 ≤ х ≤ 3 ?) х ≤ 1, х ≥ 2 ?) 1 ≤ х ≤ 2 ?) –3 ≤ х ≤ 1 Вопрос id:640246 Укажите числовые промежутки, соответствующие области определения выражения
?) х ≥ 3 ?) 1 ≤ х ≤ 2 ?) х ≤ –1 ?) –1 ≤ х ≤ 3 Вопрос id:640247 Укажите, какие из чисел –1; 2; 7; 8 являются решением системы неравенств
?) –1 и 8 ?) все являются ?) 2 и 7 ?) ни одно не является Вопрос id:640248 Является ли значение х = –3 решением системы неравенств
Введите «да», если является, и «нет», если не является ?) да ?) нет Вопрос id:640249 Является ли число 2 решением системы неравенств
Графическая модель решения представлена на рисунке
Введите «да», если является, и «нет», если не является ?) да ?) нет Вопрос id:640250 Является ли число
Графическая модель решения представлена на рисунке
Введите «да», если является, и «нет», если не является ?) нет ?) да Вопрос id:640251 Из представленных графических моделей решений систем неравенств выберите соответствующие ответу «нет решений» ?) ?) ?) ?) ![]() Вопрос id:640252 Из представленных графических моделей решений систем неравенств выберите ту, которая соответствует ответу «нет решений» ?) ![]() ?) ?) ?) Вопрос id:640253 Из представленных систем неравенств выберите систему, не имеющую решений ?) ?) ?) ![]() ?) Вопрос id:640254 Из представленных систем неравенств выберите системы, не имеющие решений ?) ?) ?) ?) Вопрос id:640255 Найдите область определения выражения ?) х ≤ –7 ?) х ≥ –1 ?) –1 ≤ х ≤ 5 ?) –5 ≤ х ≤ 5 Вопрос id:640256 Найдите область определения функции у = ?) х ≥ 2 ?) –2 ≤ х ≤ 4 ?) х ≤ 4 ?) все значения х Вопрос id:640257 Найдите область определения функции у = ?) все значения х ?) х ≥ –4 ?) х ≤ 5 ?) –4 ≤ х ≤ 5 Вопрос id:640258 Найдите область определения функции у = ?) х ≥ 2 ?) все значения х ?) 2 ≤ х ≤ 4 ?) х ≤ 4 Вопрос id:640259 Найдите область определения функции у = ?) все значения х ?) –1 ≤ х ≤ 3 ?) х ≥ –1 ?) х ≥ 3 Вопрос id:640260 Укажите соответствие между двойным неравенством и его решением
Вопрос id:640261 Укажите соответствие между двойным неравенством и его решением
Вопрос id:640262 Укажите соответствие между системой неравенств и графической моделью ее решения
Вопрос id:640263 Укажите соответствие между системой неравенств и ее решением
Вопрос id:640264 Укажите соответствие между системой неравенств и ее решением
Вопрос id:640265 Верны ли тождества? А) (8х + 3у)2 = 64х2 + 48ху + 9у2 В) (х + 4)(х2 – 4х + 16) = х3 – 64 Подберите правильный ответ ?) А - нет, В - да ?) А - нет, В - нет ?) А - да, В -нет ?) А - да, В - да Вопрос id:640266 Верны ли тождества? А) (b + c – 2а)(с – b) + (c + a – 2b)(а – с) – (а + b – 2с)(а – b) = 0 В) (10х3 – 5у2)(10х3 + 5у2) = 1000х6 – 25у4 Подберите правильный ответ ?) А - да, В -нет ?) А - да, В - да ?) А - нет, В - да ?) А - нет, В - нет Вопрос id:640267 Верны ли тождества? А) В) Подберите правильный ответ ?) А - да, В - да ?) А - да, В -нет ?) А - нет, В - нет ?) А - нет, В - да Вопрос id:640268 Верны ли тождества? А) В) Подберите правильный ответ ?) А - да, В -нет ?) А - да, В - да ?) А - нет, В - да ?) А - нет, В - нет Вопрос id:640269 Верны ли утверждения? А) В) Подберите правильный ответ ?) А - да, В -нет ?) А - нет, В - да ?) А - нет, В - нет ?) А - да, В - да Вопрос id:640270 Верны ли утверждения? А) В) Подберите правильный ответ ?) А - да, В -нет ?) А - да, В - да ?) А - нет, В - да ?) А - нет, В - нет Вопрос id:640271 Верны ли утверждения? А) Наименьшим значением функции у = В) Наибольшим значением функции у = Подберите правильный ответ ?) А - да, В - да ?) А - нет, В - да ?) А - нет, В - нет ?) А - да, В -нет Вопрос id:640272 Верны ли утверждения? А) Наименьшим значением функции у = В) Наибольшего значения функции у = Подберите правильный ответ ?) А - да, В - да ?) А - нет, В - да ?) А - нет, В - нет ?) А - да, В -нет Вопрос id:640273 Верны ли утверждения? А) Наименьшим значением функции у = В) Наибольшим значением функции у = Подберите правильный ответ ?) А - да, В - да ?) А - да, В -нет ?) А - нет, В - нет ?) А - нет, В - да Вопрос id:640274 Верны ли утверждения? А) Наименьшим значением функции у = В) Наибольшим значением функции у = Подберите правильный ответ ?) А - нет, В - нет ?) А - да, В - да ?) А - нет, В - да ?) А - да, В - нет Вопрос id:640275 Из представленных чисел выберите являющиеся решением уравнения
?) 4 ?) –5 ?) –2 ?) 5 Вопрос id:640276 Найдите значение выражения Ответ: ___ (число) Вопрос id:640277 Разложите на множители методом дополнения до полного квадрата: 25х4 – 20х2у + 4у2 = ___ ?) (5а2 + 2у2)2 ?) (5а2 – 2у)2 ?) (5а2 – 2у2)3 ?) (5а2 – 2у)(5а2 + 2у) Вопрос id:640278 Решите задачу: В двух школах поселка 1500 учащихся. Через год число учащихся первой школы увеличилось на 10%, а второй – на 20%, в результате общее число учащихся стало равным 1720. Сколько учащихся было в первой школе первоначально? Ответ: в первой школе первоначально было ___ учащихся (число) Вопрос id:640279 Решите задачу: Груз массой 30 т планировалось перевезти машиной определенной грузоподъемности. Однако для перевозки удалось использовать машину, грузоподъемность которой на 2 т больше, чем предполагалось, поэтому было сделано на 4 рейса меньше, чем намечалось. За сколько рейсов был перевезен груз? Ответ: груз был перевезен за ___ рейсов (число) |



















при х = 3, у =