Список вопросов базы знанийАлгебра (9 класс)Вопрос id:641140 Упростите выражение: ?) tg2t ?) ?) ?) ctg2t Вопрос id:641141 Упростите выражение: (1 – cost)(1 + cost) = ___. ?) sint ?) cost ?) ?) Вопрос id:641142 Укажите решения неравенства f(x) < 0, где f(x) =
?) (b; +∞) ?) (с; b) ?) (а; с) ?) (–∞; а) Вопрос id:641143 Верны ли утверждения? А) Область определения выражения f(x) = В) Область определения выражения f(x) = Подберите правильный ответ ?) А - нет, В - да ?) А - нет, В - нет ?) А - да, В -нет ?) А - да, В - да Вопрос id:641144 Верны ли утверждения? А) Решением двойного неравенства В) Двойное неравенство представляет собой систему двух неравенств Подберите правильный ответ ?) А - да, В - да ?) А - нет, В - нет ?) А - да, В -нет ?) А - нет, В - да Вопрос id:641145 Верны ли утверждения? А) Решением двойного неравенства В) Решением системы неравенств является пересечение множеств, являющихся решениями каждого из неравенств, входящих в систему Подберите правильный ответ ?) А - да, В - да ?) А - нет, В - нет ?) А - да, В -нет ?) А - нет, В - да Вопрос id:641146 Перечислите все целые числа, являющиеся решением системы неравенств
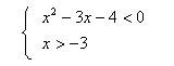
Вопрос id:641147 Перечислите через запятую все целые числа, являющиеся решением системы неравенств
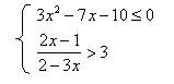
Ответ дать без пробелов и через запятую Вопрос id:641148 Решите систему неравенств:
?) (–∞; –3) ?) (–3; 2) ?) (–1; 4) ?) (–∞; –1) Вопрос id:641149 Решите систему неравенств
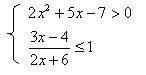
?) (0; 4) ?) (–∞; –2) ?) (–∞; 0) ?) (–2; 1) Вопрос id:641150 Решите систему неравенств
?) (–1; 5) ?) (–2; 3) ?) (–∞; –2) ?) (–∞; –1) Вопрос id:641151 Решите систему неравенств
?) х = 5 ?) нет решений ?) х ≥ 5 ?) х ≤ 5 Вопрос id:641152 Решите систему неравенств
?) х ≥ 6 ?) (–1; 6) ?) (0; 6) ?) нет решений Вопрос id:641153 Решите систему неравенств
?) х ≥ 5 ?) х ≤ 5 ?) нет решений ?) х = 5 Вопрос id:641154 Решите систему неравенств
?) (–∞; 0) ?) (–∞; –2) ?) (0; 5) ?) (–2; 5) Вопрос id:641155 Решите систему неравенств
?) х ≤ 4 ?) нет решений ?) х ≥ 4 ?) х = 4 Вопрос id:641156 Решите систему неравенств
?) –1 ≤ х < ?) х < ?) ?) –1 ≤ х ≤ Вопрос id:641157 Сколько целых чисел являются решением системы неравенств
Вопрос id:641158 Является ли множество целых отрицательных чисел решением неравенства Введите «да», если является, и «нет», если не является ?) нет ?) да Вопрос id:641159 Является ли число х = 0,5 решением неравенства х(х – 2)(х + 3) > 0? Введите «да», если является, и «нет», если не является ?) нет ?) да Вопрос id:641160 Является ли число х = 0,5 решением неравенства Введите «да», если является, и «нет», если не является ?) нет ?) да Вопрос id:641161 Является ли число х = –3 решением неравенства Введите «да», если является, и «нет», если не является ?) нет ?) да Вопрос id:641162 Является ли число х = –3 решением неравенства Введите «да», если является, и «нет», если не является ?) нет ?) да Вопрос id:641163 Для функции у = f(x), где f(x) =
Вопрос id:641164 Для функции у = f(x), где f(x) =
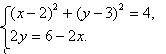
Вопрос id:641165 Из представленных неравенств выберите те, решением которых является вся числовая ось ?) ?) ?) ?) Вопрос id:641166 Найдите область определения выражения у = ?) х ≤ ?) ?) х < ?) Вопрос id:641167 Решите неравенство ?) ?) ?) х ≤ ?) х ≤ Вопрос id:641168 Решите неравенство ?) х ≥ ?) х ≥ ?) х ≤ ?) х ≤ Вопрос id:641169 Решите неравенство ?) –3 ≤ х < 5 ?) х ≤ –3, х > 5 ?) –3 ≤ х ≤ 5 ?) х ≤ –3, х ≥ 5 Вопрос id:641170 Решите неравенство ?) х < 0, х > 0 ?) х < 0, х > 3 ?) решений нет ?) 0 < х < 3 Вопрос id:641171 Решите неравенство: ?) х ≥ ?) х ≤ ?) х ≤ ?) х ≤ Вопрос id:641172 Сколько целых чисел являются решением неравенства х2 – 18х + 77 ≤ 0? Вопрос id:641173 Укажите все решения неравенства х(х – 1)(х + 2) < 0 ?) х > 1 ?) –2 < х < 0 ?) х < –2 ?) 0 < х < 1 Вопрос id:641174 Укажите все решения неравенства ?) х < –4 ?) х > 3 ?) –4 < x < 3 ?) х > 4 Вопрос id:641175 Укажите все решения неравенства ?) х ≥ ?) х ≥ ?) х ≤ ?) х ≤ Вопрос id:641176 Укажите все решения неравенства ?) х ≥ 4 ?) х ≤ –2 ?) 2 < х ≤ 4 ?) –2 ≤ х < 2 Вопрос id:641177 Укажите все числовые промежутки, на которых определено выражение y = ?) х ≥ ?) х > ?) х < –1 ?) х ≤ –1 Вопрос id:641178 Укажите наибольшее целое число, являющееся решением неравенства (3 – х)(х + 7) ≥ 0 Вопрос id:641180 Два комбайна, работая совместно, могут выполнить задание за 6 ч. Первый комбайн, работая один, может выполнить это задание на 5 ч скорее, чем второй комбайн. За сколько времени может выполнить задание первый комбайн, работая один? Ответ: за ___ ч. Вопрос id:641181 «Первый тракторист вспахивает поле за х часов, а второй – за у. Два тракториста, работая совместно, вспахали поле за 48 ч. Если бы половину поля вспахал один из них, а затем оставшуюся половину другой, то работа была бы выполнена за 100 ч. Приняв весь объем работы за 1, ответьте, верны ли составленные уравнения: А) В) х + у = 100 Подберите правильный ответ ?) А - да, В - да ?) А - нет, В - нет ?) А - да, В -нет ?) А - нет, В - да Вопрос id:641182 Верны ли определения? А) Расстояние между точками А(х1, у1) и В(х2, у2) вычисляется по формуле В) Графиком уравнения (х – х0)2 + (у – у0)2 = r2 является окружность с центром в точке Подберите правильный ответ ?) А - нет, В - да ?) А - да, В -нет ?) А - нет, В - нет ?) А - да, В - да Вопрос id:641183 Дана система уравнений
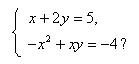
Верны ли утверждения? А) График первого уравнения – прямая, проходящая через точки (–1; 0) и (0; 2); график второго уравнения – окружность с центром в точке (3; –2) и радиусом 1 В) Система уравнений не имеет решений Подберите правильный ответ ?) А - нет, В - нет ?) А - да, В -нет ?) А - да, В - да ?) А - нет, В - да Вопрос id:641184 Дана система уравнений
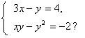
Верны ли утверждения? А) Графики уравнений системы пересекаются в двух точках В) Графиком первого уравнения является окружность с центром в точке (2; 3) и радиусом 2; графиком второго – прямая, проходящая через точки (1; 3) и (3; 1) Подберите правильный ответ ?) А - нет, В - нет ?) А - нет, В - да ?) А - да, В -нет ?) А - да, В - да Вопрос id:641185 Дана система уравнений
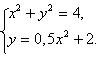
Верны ли утверждения? А) График первого уравнения – окружность с центром в точке (0; 0) и радиусом 2 В) Единственное решение системы совпадает с вершиной параболы у = 0,5х2 + 2 Подберите правильный ответ ?) А - нет, В - да ?) А - нет, В - нет ?) А - да, В -нет ?) А - да, В - да Вопрос id:641186 Длина диагонали прямоугольника равна 5, а его площадь 12. Найдите периметр прямоугольника. Ответ: ___ (число) Вопрос id:641187 Какие из перечисленных пар чисел А(2; 1,5), В(–1; 3), С(1; 2), D(–2; 3,5) являются решением системы уравнений
?) В, D ?) С, D ?) В ?) А Вопрос id:641188 Какие из перечисленных пар чисел А(–2; 4), В(–1; 1), С(1; –1), D(2
?) В ?) В, D ?) С, D ?) А, C Вопрос id:641189 От пристани А одновременно отправились вниз по течению катер и плот. Катер прошел Ответ: ___ км. Вопрос id:641190 Разность двух натуральных чисел равна 16, а произведение на 553 меньше суммы их квадратов. Найдите сумму этих чисел. Ответ: ___ (число) |


















