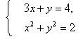
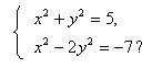
Список вопросов базы знанийАлгебра (9 класс)Вопрос id:641191 Решите систему уравнений
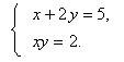
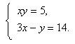
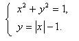
и введите сумму х1 + х2 + у1 + у2 = ___ (число) Вопрос id:641192 Решите систему уравнений
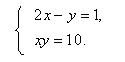
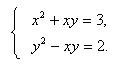
и введите сумму х1 + х2 + у1 + у2 = ___ (число) Вопрос id:641193 Решите систему уравнений
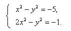
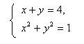
?) (9; 2), (6; 0,5) ?) (1; 2), (4; 0,5) ?) (9; –2), (6; –0,5) ?) (1; –2), (6; –0,5) Вопрос id:641194 Решите систему уравнений
?) (–2; –5), (2,5; 4) ?) (–2; –5) ?) (2; 5) ?) (2; 5), (–2,5; –4) Вопрос id:641195 Решите систему уравнений
?) (2; –2), (–2; 2), (3; –3). (–3; 3) ?) (2; 3), (–2; –3) ?) (2; 3), (–2; 3), (2; –3), (–2; –3) ?) (2; –2), (3; –3) Вопрос id:641196 Сколько решений (число) имеет система уравнений
Вопрос id:641197 У старшего брата было вдвое больше денег, чем у младшего. Они положили свои деньги на год на счета в разные банки, причем младший брат нашел банк, который дает на 5% годовых больше, чем банк старшего брата. Сняв свои деньги со счетов через год, старший брат получил 4600 руб., а младший – 2400 руб. Сколько денег было бы у братьев в сумме, если бы они с самого начала поменяли свои банки? Ответ: ___ руб. Вопрос id:641198 Укажите все решения системы уравнений
?) (–0,5; –12) ?) (–6; –12) ?) (0,5; 1) ?) (6; 1) Вопрос id:641199 Укажите все решения системы уравнений
?) , ![]() ?) (–1; 2), (1; –2) ?) , ![]() ?) (1; 2), (–1; –2) Вопрос id:641200 Укажите уравнение окружности, изображенной на рисунке
?) (х – 2)2 + (у + 2)2 = 2 ?) (х – 2)2 + (у – 2)2 = 4 ?) (х + 2)2 + (у – 2)2 = 4 ?) (х + 2)2 + (у – 2)2 = 2 Вопрос id:641201 Выберите функции, графики которых необходимо построить, чтобы получился график уравнения (5х + 2у – 3)(3х – 5у + 2) = 0 ?) у = 1,5 – 0,6х ?) у = 2,5х + 0,4 ?) у = 0,6х + 0,4 ?) у = 1,5 – 2,5х Вопрос id:641202 Два пешехода вышли одновременно навстречу друг другу из пунктов А и В. Каждый идет с постоянной скоростью без остановок и, придя в конечный пункт, тут же поворачивает обратно. Когда они встретились во второй раз, оказалось, что первый прошел на 4 км больше, чем второй. После второй встречи первый прибыл в А через час, а второй в В – через 2,5 ч. Найдите скорости пешеходов ?) 5 км/ч и 4,8 км/ч ?) 4,5 км/ч и 3,7 км/ч ?) 3 км/ч и 4,5 км/ч ?) 4 км/ч и 3,2 км/ч Вопрос id:641203 Два поезда отправляются из пунктов А и В навстречу друг другу. Если поезд из А выйдет на 2 ч раньше, чем поезд из В, то встреча произойдет на середине пути. Если поезда выйдут одновременно, то они встретятся через 3 ч 45 мин. Найдите скорости поездов, если известно, что скорость одного поезда на 40 км/ч больше скорости другого ?) 55 км/ч и 95 км/ч ?) 60 км/ч и 100 км/ч ?) 70 км/ч и 110 км/ч ?) 65 км/ч и 105 км/ч Вопрос id:641204 Найдите координаты точек пересечения окружностей х2 + у2 = 16 и (х – 2)2 + у2 = 36 ?) (0; 4) ?) (–4; 0), (0; –4) ?) точек пересечения нет ?) (–4; 0) Вопрос id:641205 Найдите расстояние между точками А(0; 6) и В(–8; –9) на координатной плоскости Вопрос id:641206 Найдите расстояние между точками А(–1; –2) и В(3; 1) на координатной плоскости Вопрос id:641207 Найдите расстояние между точками А(–5; 0) и В(0; 12) на координатной плоскости Вопрос id:641208 Рыбак шел до озера по шоссейной дороге 5 км с некоторой скоростью. Обратно он возвращался по проселочной дороге и прошел 3 км с другой скоростью, причем на обратный путь он затратил на 35 мин меньше. Найдите скорость рыбака по шоссе и скорость по проселку, если всего на дорогу он затратил 1 ч 55 мин. ?) 4 км/ч и 4,5 км/ч ?) 5 км/ч и 4 км/ч ?) 5 км/ч и 6 км/ч ?) 5,5 км/ч и 5 км/ч Вопрос id:641209 Сумма цифр натурального двузначного числа равна 10, а произведение цифр этого числа равно 24. Найдите это число, а если их несколько, то укажите их сумму ?) 132 ?) 73 ?) 110 ?) 64 Вопрос id:641210 Укажите верные утверждения для графика уравнения ?) совпадает с графиком функции у = ?) ветви параболы направлены вниз ?) вершиной параболы является точка (0; 0) ?) проходит через точку (3; 3) Вопрос id:641211 Укажите соответствие между системой уравнений и количеством ее решений
Вопрос id:641213 Укажите уравнение окружности с центром в точке А(–2; 3) и радиусом 1 ?) (х + 2)2 + (у – 3)2 = 1 ?) (х – 3)2 + (у – 2)2 = 1 ?) (х + 3)2 + (у – 2)2 = 1 ?) (х – 2)2 + (у + 3)2 = 1 Вопрос id:641214 Укажите уравнение окружности с центром в точке В(1; –2) и радиусом 2 ?) (х + 1)2 + (у – 2)2 = 4 ?) (х – 1)2 + (у + 2)2 = 4 ?) (х – 1)2 + (у + 2)2 = 2 ?) (х – 1)2 + (у – 4)2 = 2 Вопрос id:641215 Верны ли утверждения? А) Область определения выражения f(x) = В) Область определения выражения f(x) = Подберите правильный ответ ?) А - да, В –нет ?) А - нет, В – да ?) А - нет, В - нет ?) А - да, В – да Вопрос id:641216 Верны ли утверждения? А) Парабола у = 2х2 – 5х + 1 и прямая 2х + у + 3 = 0 пересекаются в двух точках В) Прямая х – у = 4 и парабола у = х2 – 5х+ 5 пересекаются в точке (3; –1) Подберите правильный ответ ?) А - да, В - да ?) А - да, В -нет ?) А - нет, В - нет ?) А - нет, В - да Вопрос id:641217 Постройте график функции и укажите верные утверждения: ?) непрерывна на всей области определения ?) E(f) = (0, +∞) ?) возрастает на [–2, –1], убывает на [–1, 0] и на (0, +∞) ?) D(f) = [–2, +∞) Вопрос id:641218 Постройте график функции и укажите верные утверждения: ?) D(f) = (–∞, +∞) ?) возрастает на (–∞, 0) и на [0, +∞) ?) ни четная, ни нечетная ?) непрерывна на всей области определения Вопрос id:641219 Постройте график функции и укажите верные утверждения: ?) возрастает на (0, 1), убывает на (–∞, 0) и на (1, +∞) ?) функция не ограничена сверху, ограничена снизу ?) D(f) = (–∞, +∞) ?) унаим. не существует, унаиб. = 0 Вопрос id:641220 Решите систему неравенств:
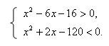
?) (–2, 3) ?) (–∞, –2) ?) (–2, 0) ?) решений нет Вопрос id:641221 Решите систему неравенств:
?) (–4, 6) ?) (4, 6) ?) (–∞, –4) ?) решений нет Вопрос id:641222 Решите систему неравенств:
?) (–12, –2) ?) (–∞, –12) ?) решений нет ?) (–12, –2) Вопрос id:641223 Укажите все числовые промежутки, являющиеся решением неравенства (х + 7)(х + 1)(х – 4) < 0. ?) (4, +∞) ?) (–∞, –7) ?) (–7, –1) ?) (–1, 4) Вопрос id:641224 Укажите все числовые промежутки, являющиеся решением неравенства (х – 3,5)(х + 8,5) ≥ 0 ?) (–3,5, 0) ?) (–∞, –8,5] ?) [3,5, +∞) ?) (0, 8,5) Вопрос id:641225 Укажите все числовые промежутки, являющиеся решением неравенства
?) (0, 7,2) ?) (–∞, –4,7) ?) (7,2, +∞) ?) (–4,7, 0) Вопрос id:641226 Укажите промежутки знакопостоянства функции
?) у < 0 на (–∞, 0) и на (4, +∞), у > 0 на (0, 4) ?) у < 0 на (–∞, 0] и на [4, +∞), у > 0 на [0, 4] ?) у < 0 на (2, +∞), у > 0 на (–∞, 2) ?) у < 0 на (–∞, 2), у > 0 на (2, +∞) Вопрос id:641227 График уравнения (х + 5)2 + (у – 2)2 – 16 = 0 задает окружность ___ ?) с центром в точке (5; –2) и радиусом 16 ?) с центром в точке (–5; 2) и радиусом 4 ?) с центром в точке (–5; 2) и радиусом 16 ?) с центром в точке (5; –2) и радиусом 4 Вопрос id:641228 Запишите уравнение окружности с центром в начале координат, если известно, что она проходит через точку А(3; 4) ?) х2 + у2 = 16 ?) (х + 3)2 + (у + 4)2 = 1 ?) х2 + у2 = 25 ?) (х – 3)2 + (у – 4)2 = 0 Вопрос id:641229 Из куска олова массой 356 г и куска меди массой 438 г сделали сплав. Известно, что плотность олова на 1,6 г/см3 больше плотности меди. Найдите объем каждого куска металла, если объем куска олова на 20см3 меньше объема куска меди ?) 73 см3 олова и 93 см3 меди ?) 40 см3 олова и 60 см3 меди ?) 30 см3 олова и 50 см3 меди ?) 22 см3 олова и 42 см3 меди Вопрос id:641230 Из представленных графиков функций укажите график функции у = (х – 1)6 + 0,5 ?) ![]() ?) ![]() ?) ![]() ?) ![]() Вопрос id:641231 Из представленных неравенств выберите те, решением которых является вся числовая ось ?) –10у2 + 9у > 0 ?) –6у2 + 11у – 10 < 0 ?) –у2 + 2у + 15 < 0 ?) –9у2 + 6у – 1 < 0 Вопрос id:641232 Из представленных пар чисел выберите те, которые являются решением системы уравнений ![]() ?) ?) (–1; 2) ?) (4; –3) ?) Вопрос id:641233 Из пункта М в пункт N, расстояние между которыми равно 18 км, вышли одновременно два туриста. Один из них прибыл в пункт N на 54 мин позже, чем другой. Найдите скорость каждого туриста, если известно, что скорость одного из них на 1 км/ч меньше, чем скорость другого ?) 4 и 5 км/ч ?) 5 и 6 км/ч ?) 3 и 4 км/ч ?) 6 и 7 км/ч Вопрос id:641234 Найдите наибольшее и наименьшее значения функции у = х5 на отрезке [–1, 1] ?) унаим., унаиб. не существует ?) унаим. = –1, унаиб. = 1 ?) унаим. = 0, унаиб. = 1 ?) унаим. = –1, унаиб. = 0 Вопрос id:641235 Найдите наименьшее и наибольшее значения функции у = х–5 на полуинтервале ( ?) унаим. = 0, унаиб. = ?) унаим. не существует, унаиб. = ?) унаим. = ?) унаим., унаиб. не существуют Вопрос id:641236 Найдите наименьшее и наибольшее значения функции у = –2 ?) унаим., унаиб. не существуют ?) унаим. = 0, унаиб. не существует ?) унаим. = 0, унаиб. = 3 ?) унаим. не существует, унаиб. = 0 Вопрос id:641237 Найдите область определения выражения у = ?) [0, 4] ?) (–∞, 0) ?) (0, 4) ?) (–∞, 0] Вопрос id:641238 Найдите решения (х1; у1) и (х2; у2) системы уравнений и введите число, равное сумме х1 + у1 + х2 + у2 = ___Вопрос id:641239 Найдите решения (х1; у1) и (х2; у2) системы уравнений и введите число, равное сумме х1 + у1 + х2 + у2 = ___Вопрос id:641240 Найдите решения (х1; у1) и (х2; у2) системы уравнений и введите число, равное сумме х1 + у1 + х2 + у2 = ___Вопрос id:641241 Один комбайнер может убрать урожай пшеницы с участка на 24 ч быстрее, чем другой. При совместной же работе они закончат уборку урожая за 35 ч. Сколько времени потребуется каждому комбайнеру, чтобы одному убрать урожай? ?) 47 и 71 ч ?) 60 и 84 ч ?) 71 и 95 ч ?) 56 и 80 ч |








, 
, 

















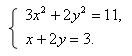
и введите число, равное сумме х1 + у1 + х2 + у2 = ___
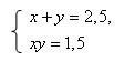
и введите число, равное сумме х1 + у1 + х2 + у2 = ___
и введите число, равное сумме х1 + у1 + х2 + у2 = ___