Список вопросов базы знанийАлгебра (9 класс)Вопрос id:639199 Постройте график функции и укажите верные утверждения:
?) E(f) = [0, +∞) ?) функция четная ?) функция непрерывна на всей области определения ?) функция ограничена снизу, не ограничена сверху Вопрос id:639200 Постройте график функции и укажите верные утверждения:
?) не ограничена сверху, ограничена снизу ?) E(f) = (–∞, +∞) ?) возрастает на [0, 1], убывает на (–∞, 0] и на [1, +∞) ?) D(f) = (–∞, +∞) Вопрос id:639201 Постройте график функции и укажите верные утверждения:
?) D(f) = [–3, +∞) ?) E(f) = [0, +∞) ?) унаим. = 0, унаиб. не существует ?) возрастает на [0, +∞), убывает на (–∞, 0] Вопрос id:639202 Укажите промежутки знакопостоянства функции
?) у > 0 на (–∞, 1) и на (1, +∞), у < 0 на (–1, 1) ?) у < 0 на (–1, 1), у > 0 на (0, +∞) ?) у > 0 на (–∞, 1] и на [1, +∞), у < 0 на [–1, 1] ?) у < 0 на [–2, 0), у > 0 на (0, +∞) Вопрос id:639203 Укажите промежутки знакопостоянства функции
?) у > 0 на (–5, 4], у < 0 на (–4, 0) ?) у <0 на [–2, 0), у > 0 на (0, 2] ?) у <0 на [–2, 0], у > 0 на [0, 2] ?) у > 0 на [–5, 4), у < 0 на (–4, 0) Вопрос id:639204 Укажите промежутки знакопостоянства функции
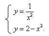
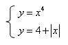
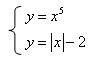
?) у > 0 на (0, 2), у < 0 на (–2, 0) ?) у > 0 на (0, +∞), у < 0 на (–∞, 0) ?) у > 0 на (0, 3), у < 0 на (–3, 0) ?) у > 0 на [0, +∞), у < 0 на (–∞, 0] Вопрос id:639205 Введите число решений системы уравнений ![]() Вопрос id:639206 Введите число решений системы уравнений ![]() Вопрос id:639207 Введите число решений системы уравнений ![]() Вопрос id:639208 Введите число решений системы уравнений ![]() Вопрос id:639209 Введите число решений уравнения Вопрос id:639210 График функции ___ называют кубической параболой ?) у = ?) у = ?) у = х–3 ?) у = х3 Вопрос id:639211 Из представленных графиков функций укажите график функции у = (х + 2)4 ?) ![]() ?) ![]() ?) ![]() ?) ![]() Вопрос id:639212 Из представленных графиков функций укажите график функции у = (х + 4)4 + 1 ?) ![]() ?) ![]() ?) ![]() ?) ![]() Вопрос id:639213 Из представленных графиков функций укажите график функции у = –(х + 2)3 – 1 ?) ![]() ?) ![]() ?) ![]() ?) ![]() Вопрос id:639214 Из представленных графиков функций укажите график функции у = –х7 – 1 ?) ![]() ?) ![]() ?) ![]() ?) ![]() Вопрос id:639215 Найдите наибольшее и наименьшее значения функции у = х5 на луче (–∞, 0] ?) унаим., унаиб. не существуют ?) унаим. = 0, унаиб. не существует ?) унаим. не существует, унаиб. = 0 ?) унаим. = 0, унаиб. = 1 Вопрос id:639216 Найдите наибольшее и наименьшее значения функции у = х5 на луче [–1, +∞) ?) унаим. = –1, унаиб. не существует ?) унаим. не существует, унаиб. = –1 ?) унаим., унаиб. на существуют ?) унаим. = –1, унаиб. = 0 Вопрос id:639217 Найдите наибольшее и наименьшее значения функции у = х6 на луче [0,5, +∞) ?) унаим., унаиб. не существуют ?) унаим. = ?) унаим. = ?) унаим. не существует, унаиб. = Вопрос id:639218 Найдите наименьшее и наибольшее значения функции у = 3х4 на полуинтервале [–1, 2) ?) унаим. = 0, унаиб. = 2 ?) унаим. не существует, унаиб. = 0 ?) унаим., унаиб. не существует ?) унаим. = 0, унаиб. не существует Вопрос id:639219 Найдите наименьшее и наибольшее значения функции у = х–4 на отрезке [0,5, 1] ?) унаим. = ?) унаим. не существует, унаиб. = ?) унаим. = 1, унаиб. = 16 ?) унаим. не существует, унаиб. = 1 Вопрос id:639220 Найдите наименьшее и наибольшее значения функции у = х–5 на отрезке [–2, –1] ?) унаим. = ?) унаим. = – ?) унаим. = 1, унаиб. не существует ?) унаим. = –1, унаиб. = – Вопрос id:639221 Найдите наименьшее и наибольшее значения функции у = –2 (1, 1,96] ?) унаим., унаиб. не существуют ?) унаим. не существует, унаиб. = –2,8 ?) унаим. = –2,8, унаиб. = 0 ?) унаим. = –2,8, унаиб. не существует Вопрос id:639222 Решите графически уравнение х–4 = ?) х = 0 ?) х = 1 ?) х = 0, х = 1 ?) х = –1, х = 1 Вопрос id:639223 Решите графически уравнение ?) х = –1, х = 1 ?) х = 1 ?) х ≠ 0 ?) х = –2, х = 2 Вопрос id:639224 Решите графически уравнение ?) х = 0, х = 1 ?) х = –1, х = 0, х = 1 ?) х = –1, х = 1 ?) х = 1 Вопрос id:639225 Решите неравенство ?) х > 1 ?) х < 0, х > 1 ?) 0 < х < 1 ?) х < 1 Вопрос id:639226 Решите неравенство ?) х ≥ 1 ?) х ≤ 1 ?) х ≥ –1 ?) х ≤ –1 Вопрос id:639227 Решите неравенство: 2х3 ≥ 3 – х ?) 0 ≤ х ≤ 1 ?) х ≥ 1 ?) х ≤ 0, 0 ≤ х ≤ 1 ?) х ≤ 1 Вопрос id:639228 Решите неравенство: –х–4 > ?) х < 0 ?) х < 0, х > 0 ?) нет решений ?) х > 0 Вопрос id:639229 Укажите преобразования, с помощью которых из графика функции у = ?) преобразование симметрии относительно оси у ?) сдвиг на 1 единицу влево ?) умножение ординат функции на число ?) умножение ординат функции на число 3 ?) преобразование симметрии относительно оси х ?) сдвиг на 1 единицу вправо Вопрос id:639230 Укажите соответствие между уравнением или неравенством и его решением
Вопрос id:639231 Укажите соответствие между уравнением или неравенством и его решением
Вопрос id:639232 Укажите соответствие между функцией и ее графиком
Вопрос id:639233 Укажите соответствие между функцией и ее графиком
Вопрос id:639234 Укажите соответствие между функцией и ее графиком
Вопрос id:639235 Укажите соответствие между функцией и ее графиком
Вопрос id:639236 Число решений системы уравнений равно ___ (число)Вопрос id:639237 Число решений системы уравнений равно ___ (число)Вопрос id:639238 Число решений системы уравнений равно ___ (число)Вопрос id:639239
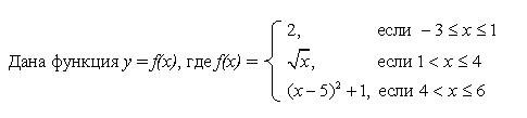
Верны ли утверждения? А) На [1, 4] выпукла вверх, на [4, 6] выпукла вниз В) Функция ограничена, унаиб. = 2, унаим. = 1 Подберите правильный ответ ?) А - нет, В - нет ?) А - да, В -нет ?) А - нет, В - да ?) А - да, В - да Вопрос id:639240
А) D(f) = [–3, 6] В) На [3, 4] и на [5, 6] убывает, на [4, 5] возрастает Подберите правильный ответ ?) А - нет, В - да ?) А - да, В - да ?) А - да, В -нет ?) А - нет, В - нет Вопрос id:639241
Верны ли утверждения? А) E(f) = [1, +∞) В) Непрерывна на [–3, 1) Подберите правильный ответ ?) А - нет, В - нет ?) А - нет, В - да ?) А - да, В - да ?) А - да, В -нет Вопрос id:639242
А) D(f) = [–∞, 4) В) Ограничена сверху, неограничена снизу, унаиб. = 4 Подберите правильный ответ ?) А - да, В -нет ?) А - да, В - да ?) А - нет, В - нет ?) А - нет, В - да Вопрос id:639243
А) Убывает на (–∞, 0) В) Выпукла вверх на (–∞, 0) Подберите правильный ответ ?) А - нет, В - нет ?) А - да, В -нет ?) А - нет, В - да ?) А - да, В - да Вопрос id:639244
А) E(f) = (–∞, 0) В) Непрерывна на (–∞, 0) Подберите правильный ответ ?) А - нет, В - нет ?) А - да, В -нет ?) А - да, В - да ?) А - нет, В - да Вопрос id:639245
«1», если функция нечетная, «2», если функция четная, «3», если функция ни четная, ни нечетная Вопрос id:639246
«1», если функция нечетная, «2», если функция четная, «3», если функция ни четная, ни нечетная Вопрос id:639247
«1», если функция нечетная, «2», если функция четная, «3», если функция ни четная, ни нечетная Вопрос id:639248
А) Функция выпукла вверх на (–1; 0) В) D(f) = (–∞, +∞); E(f) = [–3, 1] Подберите правильный ответ ?) А - нет, В - да ?) А - нет, В - нет ?) А - да, В -нет ?) А - да, В - да |






































равно ___ (число)
равно ___ (число)
равно ___ (число)
Верны ли утверждения?
Верны ли утверждения?
Верны ли утверждения?
Верны ли утверждения?
Введите:
Верны ли утверждения?