Список вопросов базы знанийАлгебра (9 класс)Вопрос id:640130 Найдите координаты центра окружности (х + 1)2 + (у – 3)2 = 25 ?) (–1; –3) ?) (1; –3) ?) (1; 3) ?) (–1; 3) Вопрос id:640131 Найдите координаты центра окружности (х + 5)2 + (у + 7)2 = 1 ?) (–5; 7) ?) (–5; –7) ?) (5; 7) ?) (5; –7) Вопрос id:640132 Найдите координаты центра окружности (х – 10)2 + (у + 1)2 = 17 ?) (10; –1) ?) (–10; 1) ?) (10; 1) ?) (–10; –1) Вопрос id:640133 Найдите координаты центра окружности (х – 4)2 + (у – 5)2 = 144 ?) (–4; –5) ?) (4; 5) ?) (4; –5) ?) (–4; 5) Вопрос id:640134 Постройте график уравнения 4х – 5у = 20 ?) ![]() ?) ![]() ?) ![]() ?) ![]() Вопрос id:640135 Постройте график уравнения 6х – у = 12 ?) ![]() ?) ![]() ?) ![]() ?) ![]() Вопрос id:640136 Постройте график уравнения 7х + 2у = 14 ?) ![]() ?) ![]() ?) ![]() ?) ![]() Вопрос id:640137 Постройте график уравнения х2 + у2 + 6у = 0 и укажите правильные утверждения ?) график расположен в III и IV координатых четвертях ?) радиус окружности равен 2 ?) центр окружности (1; 3) ?) график проходит через точку (0; –6) Вопрос id:640138 Постройте график уравнения х2 + у2 + 8х = 0 и укажите правильные утверждения ?) центр (0; 4) ?) центр (–4; 0) ?) радиус равен 16 ?) окружность Вопрос id:640139 Постройте график уравнения х2 + у2 – 10у = 0 и укажите правильные утверждения ?) центр окружности (–5; 1) ?) радиус окружности равен 3 ?) центр окружности (0; 5) ?) график расположен во I и II координатых четвертях Вопрос id:640140 Постройте график уравнения х2 + у2 – 2х = 0 и укажите правильные утверждения ?) центр окружности (1; 0) ?) график расположен в I и II координатных четвертях ?) центр окружности (–1; 0) ?) радиус окружности равен 1 Вопрос id:640141 Расположите уравнения окружностей в порядке возрастания их радиуса, начиная с наименьшего ?) х2 + у2 = 1 ?) (х – 1)2 + (у + 5)2 = 25 ?) (х + 2)2 + (у + 1)2 = 81 ?) (х – 2)2 + у2 – 144 = 0 Вопрос id:640142 Расположите уравнения окружностей в порядке возрастания их радиуса, начиная с наименьшего ?) (х – 10)2 + (у + 1)2 = 17 ?) (х + 5)2 + (у + 7)2 = 1 ?) (х – 4)2 + (у – 5)2 = 144 ?) (х + 1)2 + (у – 3)2 = 25 Вопрос id:640143 Расстояние между точками с координатами (25; –1) и (9; 11) равно ___ (число) Вопрос id:640144 Расстояние между точками с координатами (6; –2) и (2; –5) равно ___ (число) Вопрос id:640145 Расстояние между точками с координатами (–3; 9) и (–11; 3) равно ___ (число) Вопрос id:640146 Расстояние между точками с координатами (–7; 2) и (–10; –2) равно ___ (число) Вопрос id:640147 Укажите верное утверждение для графика функции х2 + у2 = 9 ?) окружность ?) центр в точке (3; 3) ?) радиус равен 9 ?) проходит через точку (2; 5) Вопрос id:640148 Укажите верные утверждения для графика уравнения 2у – х2 = 0 ?) ветви параболы направлены вниз ?) вершина параболы в точке (0; 0) ?) проходит через точку (2; 2) ?) совпадает с графиком функции у = –0,5х2 Вопрос id:640149 Укажите верные утверждения для графика уравнения ?) графиком является гипербола ?) х = 0 – ось симметрии ?) совпадает с графком функции у = ?) расположен в I и III координатных четвертях Вопрос id:640150 Укажите верные утверждения для графика уравнения ?) совпадает с графиком функции у = – ?) проходит через точку (3; 3) ?) вершиной параболы является точка (0; 0) ?) ветви параболы направлены вверх Вопрос id:640151 Укажите верные утверждения для графика уравнения ?) (0; 0) – точка симметрии ?) совпадает с графиком функции у = ?) графиком является гипербола ?) расположен во II и IV координатых четвертях Вопрос id:640152 Укажите верные утверждения для графика функции х2 + у2 = 4 ?) проходит через точку (2; 2) ?) центр в точке (0; 0) ?) окружность ?) радиус равен 4 Вопрос id:640153 Укажите пары чисел, которые являются решением уравнения 2х2 – у2 = 1 ?) ( ?) (1; 1) ?) (0,5; 4) ?) (2; Вопрос id:640154 Укажите соответствие между уравнением окружности и ее радиусом
Вопрос id:640155 Укажите соответствие между уравнением окружности и ее центром
Вопрос id:640156 Укажите уравнение окружности с центром в точке D(–5; –2) и радиусом 4 ?) (х + 25)2 + (у + 4)2 = 16 ?) (х + 5)2 + (у + 2)2 = 16 ?) (х – 5)2 + (у – 2)2 = 4 ?) (х – 5)2 + (у – 2)2 = 16 Вопрос id:640157 Укажите уравнение окружности с центром в точке А(1; 2) и радиусом 3 ?) (х – 1)2 + (у – 2)2 = 9 ?) (х + 1)2 + (у + 2)2 = 9 ?) (х + 1)2 + (у – 2)2 = 9 ?) (х – 1)2 + (у – 2)2 = 3 Вопрос id:640158 Укажите уравнение окружности с центром в точке В(–3; 8) и радиусом 11 ?) (х – 3)2 + (у + 8)2 = 121 ?) (х + 9)2 + (у – 64)2 = 121 ?) (х + 3)2 + (у – 8)2 = 121 ?) (х – 3)2 + (у + 8)2 = 11 Вопрос id:640159 Укажите уравнение окружности с центром в точке С(0; –10) и радиусом 7 ?) х2 + (у + 10)2 = 49 ?) х2 + (у + 100)2 = 49 ?) х2 + (у – 10)2 = 49 ?) х2 + (у – 10)2 = 7 Вопрос id:640160 Верны ли определения? А) Выражение у = В) Выражение у = Подберите правильный ответ ?) А - нет, В - нет ?) А - нет, В – да ?) А - да, В –нет ?) А - да, В – да Вопрос id:640161 Найдите наибольшее целое число, являющееся решением системы неравенств
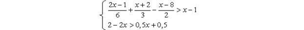
Вопрос id:640162 Найдите наименьшее целое число, являющееся решением системы неравенств
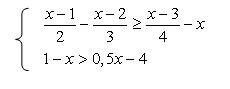
Вопрос id:640163 Найдите наименьшее целое число, являющееся решением системы неравенств
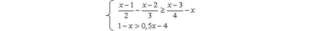
Вопрос id:640164 Укажите наибольшее целое число, являющееся решением системы неравенств
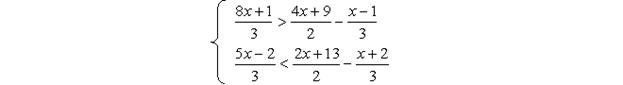
Вопрос id:640165 Укажите наибольшее целое число, являющееся решением системы неравенств
Вопрос id:640166 Укажите наименьшее целое число, являющееся решением системы неравенств
Вопрос id:640167 Укажите наименьшее целое число, являющееся решением системы неравенств
Вопрос id:640168 Найдите длину интервала, являющегося решением системы неравенств
Ответ введите в виде десятичной дроби. Вопрос id:640169 Решите систему неравенств
?) x < 1,6; x > 3 ?) 1,6 < x < ?) 1,25 < x < 1,6 ?) 1,6 < x < 3 Вопрос id:640170 Решите систему неравенств
?) x ≤ –4; x ≥ 4 ?) – ?) –4 ≤ x ≤ – ?) решения не существует Вопрос id:640171 Решите систему неравенств
?) х ≤ 3 ?) –11 ≤ х ≤ 3 ?) х ≤ –11, х ≥ 3 ?) х ≥ –11 Вопрос id:640172 Решите систему неравенств
?) х < ?) х < ?) ?) х > Вопрос id:640173 Решите систему неравенств
?) х < 12 ?) х > 6 ?) 6 < х < 12 ?) х < 6 Вопрос id:640174 Решите систему неравенств
?) ?) х ≥ ?) ?) х < 1 Вопрос id:640175 Укажите все решения неравенства (х + 3)2(х2 – 10х + 21) ≥ 0 ?) –3 ≤ х ≤ 7 ?) х ≥ 7 ?) 3 ≤ х ≤ 7 ?) х ≤ 3 Вопрос id:640176 Укажите все решения неравенства
?) х ≥ 2 ?) 1 ≤ х ≤ 2 ?) х < 0 ?) 0 < х ≤ 1 Вопрос id:640177 Укажите все решения неравенства (х – 1)2(х2 + 4х – 12 ) < 0 ?) х > 2 ?) –6 < х < 1 ?) –6 < х < –2 ?) 1 < х < 2 ?) х < –6 Вопрос id:640178 Укажите все решения неравенства
?) 0 < х < 4 ?) –2 < х < 0 ?) х < –2 ?) х > 4 Вопрос id:640179 Укажите все решения неравенства
?) 3 < х < 5 ?) 2 < х < 3 ?) 5 < х < 7 ?) х > 7 ?) х < 2 |














.








