Список вопросов базы знанийАлгебра (9 класс)Вопрос id:641242 Перечислите через запятую, начиная с наименьшего, все целые числа, принадлежащие области определения выражения у = Вопрос id:641243 При каких значениях х имеет смысл выражение ?) [–2,5, 17] ?) (–2,5, 17) ?) (–∞, –2,5) ?) (–∞, –2,5] Вопрос id:641244 Решите неравенство: –х2 + 2х + 15 < 0 ?) (–5, 3) ?) (–3, 5) ?) (–∞, –5) ?) (–∞, –3) Вопрос id:641245 Решите уравнение 2 ?) х = – ?) х = –8, х = – ?) х = 1, х = 8 ?) х = Вопрос id:641246 Укажите все числовые промежутки, являющиеся решением неравенства 7х < х2 ?) (3,5, 7) ?) (7, +∞) ?) (–∞, 0) ?) (0, 3,5) Вопрос id:641247 Укажите соответствие между системой уравнений и ее решением
Вопрос id:641248 Укажите соответствие между функцией и ее графиком
Вопрос id:641249 Верны ли определения? А) Решение уравнения р(х, у) = 0 – всякая пара чисел (х; у), которая обращает равенство с переменными р(х, у) = 0 в верное числовое равенство. В) Система двух уравнений с двумя переменными – два уравнения р(х, у) = 0 и q(х, у) = 0, где ставится задача поиска всех пар значений (х; у), таких, которые одновременно удовлетворяют уравнению р(х, у) = 0 и уравнению q(х, у) = 0. Подберите правильный ответ ?) А - нет, В - нет ?) А - да, В - да ?) А - нет, В - да ?) А - да, В -нет Вопрос id:641250 Верны ли утверждения? А) График функции В) График функции Подберите правильный ответ ?) А - да, В -нет ?) А - да, В - да ?) А - нет, В - да ?) А - нет, В - нет Вопрос id:641251 Верны ли утверждения? А) Если а > b, а b > 2, то 10а > 3b + 14. В) Если а < b, а b < 3, то 13а < 4b + 27. Подберите правильный ответ ?) А - нет, В - да ?) А - да, В -нет ?) А - нет, В - нет ?) А - да, В - да Вопрос id:641252 Верны ли утверждения? А) Если в арифметической прогрессии а3 + а11 = 20, то а7 = 10. В) Если в геометрической прогрессии b3 + b4 = 2(b4 + b5), то ее знаменатель равен –0,5 или 1. Подберите правильный ответ ?) А - да, В - да ?) А - да, В -нет ?) А - нет, В - нет ?) А - нет, В - да Вопрос id:641253 Верны ли утверждения? А) Равносильные неравенства – неравенства, имеющие одинаковые решения (или не имеющие решений). В) Система неравенств с одной переменной – неравенства, имеющие одинаковые решения. Подберите правильный ответ ?) А - да, В - да ?) А - нет, В - да ?) А - нет, В - нет ?) А - да, В -нет Вопрос id:641254 Верны ли утверждения? А) Функция у = х2 – 6х + 9 возрастает на [3, +∞), убывает на (–∞, 3]. В) Функция у = – Подберите правильный ответ ?) А - да, В - да ?) А - нет, В - нет ?) А - нет, В - да ?) А - да, В -нет Вопрос id:641255 Из порта одновременно вышли два катера, один – на юг, другой – на север. Через 3 ч расстояние между ними составило 96 км. Найдите скорость первого катера, если она на 10 км/ч больше скорость второго катера. Ответ: скорость первого катера ___ км/ч. Вопрос id:641256 Найдите sin α, если Ответ: sin α = ___ (число). Вопрос id:641257 Найдите значение выражения Ответ:___ (число). Вопрос id:641258 Найдите значение функции f(x) = (х – 1) Ответ: ___ (число). Вопрос id:641259 Найдите наибольшее целое число, являющееся решением системы неравенств
Вопрос id:641260 Найдите наименьшее целое число, являющееся решением системы неравенств
Вопрос id:641261 Найдите сумму первых 23 членов арифметической прогрессии, если а1 = 137, d = –7. Ответ: S23 = ___ (число). Вопрос id:641262 Найдите сумму первых 6 членов геометрической прогрессии, если q = 0,5, b6 = 3. Ответ: S6 = ___ (число). Вопрос id:641263 Путь от города до поселка автомобиль проезжает за 2,5 ч. Если он увеличит скорость на 20 км/ч, то за 2 ч он проедет путь на 15 км больший, чем расстояние от города до поселка. Найдите это расстояние. Ответ: расстояние от города до поселка ___ км. Вопрос id:641264 Решите систему неравенств:
?) [–8; –1) ?) (–∞, –8] ?) (–∞, –8) ?) (–8; –1] Вопрос id:641265 Решите уравнение методом замены переменной: Ответ:___ (число). Вопрос id:641266 Решите уравнение: 8х – (2 + х2)(2 – х2) = (х2 – 2х)2 + 4х3. Ответ:___ (число). Вопрос id:641267 С туристической базы вышел пешеход, его скорость 4 км/ч. Через 4,5 ч по той же дороге выехал автомобиль со скоростью 76 км/ч. На каком расстоянии от базы автомобиль догонит пешехода? Ответ: на расстоянии ___ км (число). Вопрос id:641268 Укажите все решения системы уравнений
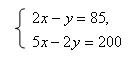
?) (–0,5; –2) ?) (–2; 1) ?) (–2; –2) ?) (3; 33) Вопрос id:641269 Укажите числовые промежутки, являющиеся решением двойного неравенства
?) (–4, –1,5) ?) (–∞, –4) ?) (1, +∞) ?) (–1,5, 1) Вопрос id:641270 Упростите выражение Ответ:___ (число). Вопрос id:641271 В арифметической прогрессии девять членов, первый из которых 8,5, а последний 10,9. Найдите сумму всех членов этой прогрессии. ?) 87,3 ?) 98,4 ?) 102,3 ?) 75,6 Вопрос id:641272 В геометрической прогрессии пять положительных членов, первый из которых 1,5, а последний 24. Найдите четвертый член этой прогрессии. ?) 17 ?) 20 ?) 9 ?) 12 Вопрос id:641273 Найдите нули функции ?) –0,75 ?) 0,5 ?) –0,25 ?) –1 Вопрос id:641274 Найдите область определения функции ?) (–3; 3) ?) {–3; 2) ?) {–3; 3} ?) (–∞; –3) Вопрос id:641275 Океанский лайнер отправился в рейс. Когда он отошел от берега на 180 км, за ним вылетел самолет с экстренной почтой. Скорость самолета в 10 раз больше скорости лайнера. На каком расстоянии от берега самолет догонит лайнер? ?) 360 км ?) 200 км ?) 300 км ?) 180 км Вопрос id:641276 Расположите решения систем уравнений (х; у) в порядке увеличения суммы х + y ?) ![]() ?) ?) Вопрос id:641277 Решите систему уравнений: ![]() ?) (–1,25; 4) ?) (–10; 2) ?) (7; 3) ?) (5; 2) Вопрос id:641278 Скорость судна в стоячей воде 50км/ч. На путь от А до В по течению реки оно тратит 3 ч, а на обратный путь 4,5 ч. Какова скорость течения реки? ?) 10 км/ч ?) 5 км/ч ?) 12 км/ч ?) 7 км/ч Вопрос id:641279 Укажите верные тождества ?) (1 – sint)(1 + sint) = cos2t ?) ?) cos2t – 1 = –sin2t ?) 2sint · ctgt + cost = 2cost, t ≠ πk. Вопрос id:641280 Укажите соответствие между заданной конечной арифметической прогрессией и количеством ее членов.
Вопрос id:641281 Укажите соответствие между заданной конечной геометрической прогрессией и количеством ее членов.
Вопрос id:641282 Укажите соответствие между неравенством и его решением
Вопрос id:641283 Укажите соответствие между системой уравнений и значением у, входящим в ее решение
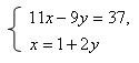
Вопрос id:641284 Укажите соответствие между углом и знаками его тригонометрических функций
Вопрос id:641285 Укажите соответствие между функцией и промежутками ее знакопостоянства
Вопрос id:641286 Упростите выражение: ?) –ctg2α ?) cos α ?) sin α ?) ctg α Вопрос id:641287 Установите значения в порядке возрастания ?) ctg α, если ?) sin α, если ?) sin α, если ?) cos α, если Вопрос id:641288 График нечетной функции симметричен относительно ?) оси ординат ?) точки (1;1) ?) начала координат ?) оси абсцисс Вопрос id:641289 График уравнения F(-x; -у) = 0 получается из графика уравнения F(x; у) = 0 с помощью центральной симметрии относительно ?) оси х ?) начала координат ?) оси у ?) точки (0;-1) Вопрос id:641290 График уравнения F(-х; у) = 0 получается из графика уравнения F(x; у) = 0 с помощью симметрии относительно ?) точки (1;1) ?) оси x ?) начала координат ?) оси у Вопрос id:641291 График уравнения F(x; -у) = 0 получается из графика уравнения F(x; у) = 0 с помощью симметрии относительно ?) точки (0;1) ?) оси х ?) оси у ?) начала координат |











и найдите его значение при с = 1,6 · 10–3.
