Список вопросов базы знанийАлгебра (9 класс)Вопрос id:639099 Начиная с какого номера п все члены арифметической прогрессии Ответ: начиная с ___ (число) Вопрос id:639100 Сумма первого и пятого членов возрастающей арифметической прогрессии равна 14, а произведение второго и четвертого ее членов равно 45. Найдите шестой член этой прогрессии. Ответ: ___ (число) Вопрос id:639101 Сумма цифр четырехзначного числа равна 16. Найдите это число, если известно, что его цифры образуют арифметическую прогрессию и цифра единиц на 4 больше цифры сотен. Ответ: ___ (число) Вопрос id:639102 Укажите конечную арифметическую прогрессию (ап), заданную следующими условиями: а1 = –2, d = 4, п = 5 ?) −2, 3, 8, 13, 18. ?) −2, –7, –12, –17, –22. ?) −2, –6, –10, –14, –18. ?) −2, 2, 6, 10, 14. Вопрос id:639103 Укажите разность и десятый член арифметической прогрессии
?) d = – ?) d = ?) d = – ?) d = 2, а10 = 9 – 3 Вопрос id:639104 Улитка ползет по дереву. За первую минуту она проползла 30 см, а за каждую следующую минуту – на 5 см больше, чем за предыдущую. За какое время достигнет улитка вершины дерева длиной 5,25 м, если считать, что движение началось от его основания? Ответ: улитка доползет до вершины дерева за ___ минут (число) Вопрос id:639105 Число 29 является членом арифметической прогрессии Ответ: ___ (число) Вопрос id:639106 Является ли возрастающая последовательность, состоящая из всех натуральных степеней числа 3, арифметической прогрессией? Введите «да», если является, и «нет», если не является ?) да ?) нет Вопрос id:639107 Дана конечная арифметическая прогрессия (ап). Найдите d, если а1 = 3 – 7т, ап = т – 5, п = 9 ?) m – 1 ?) 3т ?) т + 2 ?) т Вопрос id:639108 Дана конечная арифметическая прогрессия (ап). Найдите а1, если d = ап = 10 ?) а1 = ?) а1 = ?) а1 = ?) а1 = Вопрос id:639109 Для арифметической прогрессии ап = 6п – 306 установите соответствие между условием и номером члена этой прогрессии, начиная с которого это условие начинает выполняться
Вопрос id:639110 Зная формулу арифметической прогресии ап = 3п – 2, найдите а1 и d ?) а1 = –3, d = 1 ?) а1 = 3, d = –1 ?) а1 = 1, d = 3 ?) а1 = –1, d = 3 Вопрос id:639111 Зная формулу арифметической прогресии ап = –0,1п + 3, найдите а1 и d ?) а1 = –0,1, d = 2,9 ?) а1 = 2,9, d = –0,1 ?) а1 = 2,9, d = 0,1 ?) а1 = –2,9, d = 0,1 Вопрос id:639112 Из представленных последовательностей укажите арифметические прогрессии ?) 2, 4, 6, 8, 10, 12, … ?) 13, 10, 7, 4, 1, –2, … ?) 5, 5, 5, 5, 5, 5, … ?) 3, 1, 3, 1, 3, 1, … Вопрос id:639113 Из представленных последовательностей укажите арифметическую прогрессию ?) –7, –5, –3, –1, 1, … ?) 3, 0, –3, –6, –8, … ?) 2, 7, 12, 17, 27, … ?) 1, Вопрос id:639114 Из представленных последовательностей, заданных формулой п-го члена, укажите арифметические прогрессии ?) хп = 4п – 3 ?) хп = п2 ?) хп = 3п + 1 ?) хп = 3 · 2п Вопрос id:639115 Найдите а1 и d для арифметической прогрессии ап = ?) а1 = – ?) а1 = ?) а1 = – ?) а1 = Вопрос id:639116 Найдите сумму Sп членов конечной арифметической прогрессии (ап), если известны первый и последний ее члены: а1 = –13, а10 = –5 ?) –90 ?) –96 ?) –156 ?) –112 Вопрос id:639117 Найдите сумму первых пятидесяти членов арифметической прогрессии (ап), если известно, что а1 = 0,5, а50 = –97,5 ?) –2395 ?) –1285 ?) –3585 ?) –2425 Вопрос id:639118 При делении девятого члена арифметической прогрессии на второй член в частном получается 5, а при делении тринадцатого члена на шестой член в частном получается 2, а в остатке 5. Найдите первый член и разность прогрессии ?) а 1 = 2, d = 5 ?) а 1 = 4, d = 7 ?) а 1 = 5, d = 3 ?) а 1 = 3, d = 4 Вопрос id:639119 Сумма второго и пятого членов арифметической прогрессии равна 18, а произведение второго и третьего ее членов равно 21. Запишите первые пять членов прогрессии в порядке увеличения их индекса, если известно, что второй ее член – натуральное число ?) 3 ?) 7 ?) 11 ?) –1 ?) 15 Вопрос id:639120 Укажите арифметическую прогрессию, для которой указанное число b не является ее членом ?) ап = 21,3 – 1,7п, b = 4,3 ?) ап = 3п – 5,7, b = 69,4 ?) ап = 13 – 0,4п, b = 4,6 ?) ап = 5п – 104, b = 21 Вопрос id:639121 Укажите первые шесть членов арифметической прогрессии (ап), если a1 = −21, d = 3 ?) −21, −24, −27, −30, −33, −36 ?) −21, −18, −12, −3, 9, 24 ?) −21, −18, −15, −12, −9, −6 ?) −21, −15, −9, –3, 3, 9 Вопрос id:639122 Укажите соответствие между арифметической прогрессией (ап) и ее разностью
Вопрос id:639123 Укажите соответствие между арифметической прогрессией (ап) и формулой ее п-го члена
Вопрос id:639124 Укажите соответствие между членами арифметической прогрессии (ап) и формулой ее п-го члена
Вопрос id:639125 Укажите сумму первых тридцати членов арифметической прогрессии (ап), заданной формулой п-го члена ап = –2п + 8 ?) –782 ?) –1296 ?) –690 ?) –984 Вопрос id:639126 Установите в соответствие седьмому и девятому членам арифметической прогрессии значения восьмого члена прогресии и ее разности
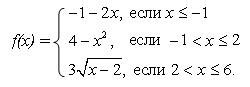
Вопрос id:639127 Числа –100 и –78 являются соответственно седьмым и девятым членами арифметической прогрессии. Найдите пятнадцатый член этой прогрессии и сумму ее первых двадцати членов ?) а15 = 7, S20 = –854 ?) а15 = –12, S20 = –1230 ?) а15 = 2, S20 = –1452 ?) а15 = –34, S20 = 132 Вопрос id:639128 Верны ли утверждения? А) Если область определения функции является симметричным множеством, то функция является четной В) График нечетной функции симметричен относительно начала координат Подберите правильный ответ ?) А - да, В – нет ?) А - нет, В - да ?) А - да, В – да ?) А - нет, В - нет Вопрос id:639129 Верны ли утверждения? А) Область определения выражения f(x) = В) Область определения выражения f(x) = Подберите правильный ответ ?) А - да, В - да ?) А - да, В -нет ?) А - нет, В - да ?) А - нет, В - нет Вопрос id:639130 Верны ли утверждения? А) Область определения четной и нечетной функций является симметричным множеством В) График четной функции симметричен относительно оси ординат Подберите правильный ответ ?) А - нет, В - нет ?) А - да, В – нет ?) А - да, В – да ?) А - нет, В - да Вопрос id:639131 Верны ли утверждения? А) Областью определения степенной функции с натуральным показателем является множество всех действительных чисел В) Областью значений степенной функции с натуральным нечетным показателем является множество неотрицательных чисел Подберите правильный ответ ?) А - да, В - да ?) А - нет, В - да ?) А - да, В -нет ?) А - нет, В - нет Вопрос id:639132 Верны ли утверждения? А) Окружность х2 + у2 = 36 и парабола у = х2 + 6 пересекаются в точке (0; 6) В) Окружности х2 + у2 = 16 и (х – 2)2 + у2 = 36 не перескаются Подберите правильный ответ ?) А - нет, В - нет ?) А - нет, В - да ?) А - да, В - да ?) А - да, В -нет Вопрос id:639133 Верны ли утверждения? А) Противоположным значениям аргумента степенной функции с натуральным нечетным показателем соответствуют противоположные значения функции В) Степенная функция с натуральным четным показателем является возрастающей на всей области определения Подберите правильный ответ ?) А - нет, В - да ?) А - да, В - да ?) А - нет, В - нет ?) А - да, В -нет Вопрос id:639134 На рисунке черным цветом проведена функция у = f(x).
Верны ли утверждения? А) Красным цветом выделена функция у = mf(x), где m > 1 В) Синим цветом выделена функция у = mf(x), где 0 < m < 1 Подберите правильный ответ ?) А - да, В -нет ?) А - нет, В - нет ?) А - нет, В - да ?) А - да, В - да Вопрос id:639135 Найдите наибольшее и наименьшее значения функции:
?) унаим. = –6, унаиб. = 5 ?) унаим. = –6, унаиб. = 0 ?) унаим. = 0, унаиб. = 5 ?) унаим. = –4, унаиб. = 6 Вопрос id:639136 Ответьте, верны ли утверждения для функции
А) E(f) = [0, +∞) В) Функция является непрерывной на всей области определения Подберите правильный ответ ?) А - нет, В - да ?) А - да, В -нет ?) А - да, В - да ?) А - нет, В - нет Вопрос id:639137 Решите систему неравенств:
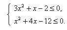
?) [–1, ?) (–∞, –1) ?) (–∞, –1] ?) решений нет Вопрос id:639138 Решите систему неравенств:
?) (–∞, 1] ?) (–∞, 1) ?) решений нет ?) [1, 8] Вопрос id:639139 Решите систему неравенств:
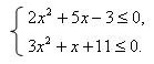
?) (–∞, –3] ?) (–∞, –3) ?) решений нет ?) [–3, 9] Вопрос id:639140 Сумма двух чисел равна 12, а их произведение равно 35. Найдите эти числа. Введите числа через запятую, без пробелов, начиная с наименьшего Вопрос id:639141 Укажите все числовые промежутки, являющиеся решением неравенства (х + 8)(х – 5) > 0. ?) (–∞, –8) ?) (5, +∞) ?) (0, 5) ?) (–8, 0) Вопрос id:639142 Укажите все числовые промежутки, являющиеся решением неравенства (х – 2)(х – 5)(х – 12) > 0. ?) (2, 5) ?) (12, +∞) ?) (–∞, 2) ?) (5, 12) Вопрос id:639143 Укажите промежутки возрастания и убывания функции
?) возрастает на (–5, 0) ?) возрастает на (–8, –3) ?) возрастает на (–10, –5) ?) возрастает на (–8, –3) Вопрос id:639144 Укажите промежутки возрастания и убывания функции
?) убывает на (–7, 5) ?) возрастает на (–7, –5) ?) возрастает на [–7, –5) ?) возрастает на (–4, –1) Вопрос id:639145 Укажите промежутки знакопостоянства функции
?) у > 0 на (–7, –5] ?) у > 0 на [–7, –5) ?) у > 0 на (–4, –1) ?) у > 0 на (–7, –5) Вопрос id:639146 Укажите промежутки знакопостоянства функции
?) у > 0 на [–8, –3] ?) у > 0 на (–8, –3) ?) у > 0 на [–8, –3] ?) у > 0 на (–8, –3) Вопрос id:639147 Укажите соответствие между функцией и номером ее графика:
Вопрос id:639148 Является ли число х = –3 решением неравенства Введите «да», если является, и «нет», если не является ?) нет ?) да |










