Список вопросов базы знанийАлгебра (7 кл. БП)
Вопрос id:595988 Найдите значение выражения (4ab2 + 3ab) : ab при а = Ответ: ___ (число) Вопрос id:595989 Найдите значение выражения (4х + 12у – 16) : (–4) при х = 0,5, у = 0,2. Ответ: ___ (число) Вопрос id:595990 Найдите значение выражения (54d + 36) : (–18) при d = –4. Ответ: ___ (число) Вопрос id:595991 Найдите значение выражения (а – ab) : а при a = 12,1, b = 0,64. Ответ: ___ (число) Вопрос id:595992 Найдите значение выражения (а2 + 3ab) : a при а = 2,75, b = Ответ: ___ (число) Вопрос id:595993 Найдите значение выражения (р4 – р3q) : р3 при p = 6,12, q = 4,2. Ответ: ___ (число) Вопрос id:595994 Найдите значение выражения (с2 – 2сd) : с при с = 5,32, d = 0,16. Ответ: ___ (число) Вопрос id:595995 Найдите значение выражения (т3 – т2п) : т2 при т = 1,44, п = –0,56. Ответ: ___ (число) Вопрос id:595996 Найдите значение выражения (х – ху) : (–х) при x = 3,5, y = 1,8. Ответ: ___ (число) Вопрос id:595997 Найдите значение выражения (–15у – 5у) : (–5) при y = 1,3. Ответ: ___ (число) Вопрос id:595998 Найдите значение выражения (–3,5т2п – 0,2тп) : тп при т = –4,5, п = –3,4. Ответ: ___ (число) Вопрос id:595999 Найдите значение выражения (–a5b3 + 3a6b2) : 4a2b2 при а = 1, b = 3. Ответ: ___ (число) Вопрос id:596000 Найдите значение выражения (–с + сd) : (–с) при c = Ответ: ___ (число, десятичная дробь) Вопрос id:596001 Найдите значение выражения (–т – тп) : т при т = –2,8, п = –3,2. Ответ: ___ (число) Вопрос id:596002 Найдите значение выражения Ответ: ___ (число) Вопрос id:596003 Найдите значение выражения Ответ: ___ (число) Вопрос id:596004 Найдите значение выражения Ответ: ___ (число) Вопрос id:596005 Найдите значение выражения Ответ: ___ (число) Вопрос id:596006 Определите, корректна ли поставленная задача деления многочлена 2х3у2 + 3х2у – 5х4у4 на одночлен А = х2у2. Введите «да», если задача корректна, и «нет», если в частном получается алгебраическая дробь Вопрос id:596007 Определите, корректна ли поставленная задача деления многочлена 2х3у2 + 3х2у – 5х4у4 на одночлен А = ху. Введите «да», если задача корректна, и «нет», если в частном получается алгебраическая дробь Вопрос id:596008 Определите, корректна ли поставленная задача деления многочлена 2х3у2 + 3х2у – 5х4у4 на одночлен А = хуz. Введите «да», если задача корректна, и «нет», если в частном получается алгебраическая дробь Вопрос id:596009 Определите, корректна ли поставленная задача деления многочлена 2х3у2 + 3х2у – 5х4у4 на одночлен А = –х2у. Введите «да», если задача корректна, и «нет», если в частном получается алгебраическая дробь Вопрос id:596010 Определите, корректна ли поставленная задача деления многочлена на одночлен: (27а3 – 81b3) : 9а3b3. Введите «да», если задача корректна, и «нет», если в частном получается алгебраическая дробь ?) нет ?) да Вопрос id:596011 Определите, корректна ли поставленная задача деления многочлена на одночлен: (42х3у – 63ху3 + 14ху) : 7ху. Введите «да», если задача корректна, и «нет», если в частном получается алгебраическая дробь Вопрос id:596012 Определите, корректна ли поставленная задача деления многочлена на одночлен: (4х2 – 3х) : (–х2). Введите «да», если задача корректна, и «нет», если в частном получается алгебраическая дробь ?) нет ?) да Вопрос id:596013 Определите, корректна ли поставленная задача деления многочлена на одночлен: (7а2 + 10а3b) : а4. Введите «да», если задача корректна, и «нет», если в частном получается алгебраическая дробь Вопрос id:596014 Расположите алгебраические выражения в порядке увеличения степени одночлена А: ?) (0,5х2у3 + 9х3у2) : А = 0,5у + 9х ?) (12х2у2 + 3ху2) : А = 4х + 1 ?) (5ху + 2ху2) : А = 5 + 2у ?) (4,25х3у5 + 8х4у6) : А = 4,25у + 8ху2 Вопрос id:596015 Укажите многочлен, который может быть частным от деления многочлена 42х5у4 + 56х4у2 на некоторый одночлен ?) 6х4у3 + 8х3у ?) 5,25х3 + 7у6 ?) 21х4у3 + 18х3у6 ?) 12,5х2у3 + 3х3у2 Вопрос id:596016 Укажите многочлен, который может быть частным от деления многочлена 42х5у4 + 56х4у2 на некоторый одночлен ?) 21х2у3 + 28ху ?) 6х3у3 + 8х2у4 ?) 42ху + 56у2 ?) 3х3у3 + 14ху2 Вопрос id:596017 Укажите многочлен, который может быть частным от деления многочлена 42х5у4 + 56х4у2 на некоторый одночлен ?) 3,8х2у3 + 12х3у2 ?) 12х3у3 + 28х3у ?) 42х2у + 56х ?) 4,2х4у2 + 5,6х3 Вопрос id:596018 Укажите многочлен, который может быть частным от деления многочлена 42х5у4 + 56х4у2 на некоторый одночлен ?) 5,25ху2 + 14ху6 ?) 6х2у + 8х2 ?) 10,5х2у3 + 14ху ?) 12ху + 3,4х2у2 Вопрос id:596019 Укажите одночлены, на которые делится многочлен 12х3у3 + 3х4у3 – 2х3у4: ?) х4у4 ?) ху ?) х2у3 ?) х5у2 Вопрос id:596020 Укажите одночлены, на которые делится многочлен 18х4у2 + 3х3у3 – 6х2у4: ?) ху ?) х3у2 ?) х2у ?) х2у3 Вопрос id:596021 Укажите одночлены, на которые делится многочлен 34х2у5 – 16х3у4 + 8х4у3: ?) х4у4 ?) 2х ?) х3у2 ?) х2у3 Вопрос id:596022 Укажите соответствие между многочленом и его делителем
Вопрос id:596023 Укажите соответствие между многочленом и его делителем
Вопрос id:596024 Укажите соответствие между многочленом и частным, которое получится в результате его деления на одночлен а2b
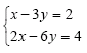
Вопрос id:596025 Чтобы разделить многочлен на одночлен, нужно ___ ?) каждый член многочлена разделить на этот одночлен и полученные результаты перемножить между собой ?) каждый член многочлена умножить на этот одночлен и полученные результаты перемножить между собой ?) каждый член многочлена умножить на этот одночлен и полученные результаты сложить ?) каждый член многочлена разделить на этот одночлен и полученные результаты сложить Вопрос id:596026 Верны ли определения? А) Два линейных уравнения с двумя переменными х и у В) Решить систему уравнений – значит, найти все ее решения или установить, что их нет Подберите правильный ответ ?) А - нет, В - да ?) А - да, В - да ?) А - да, В - нет ?) А - нет, В - нет Вопрос id:596027 Верны ли определения? А) Система уравнений, не имеющая решений, называется несовместной В) Система уравнений, имеющая бесконечное множество решений, называется неопределенной Подберите правильный ответ ?) А - да, В - нет ?) А - да, В - да ?) А - нет, В - да ?) А - нет, В - нет Вопрос id:596028 Дана система линейных уравнений с двумя переменными: Верны ли утверждения? А) Если у системы а1 = а2, b1 = b2, c1 ≠ c2,, то такая система является несовместной В) Если у системы а1 = kа2, b1 = kb2, c1 = kc2, то такая система является неопределенной Подберите правильный ответ ?) А - да, В - да ?) А - нет, В - нет ?) А - да, В - нет ?) А - нет, В - да Вопрос id:596029 Дана система линейных уравнений с двумя переменными: Верны ли утверждения? А) Если у системы а1 = а2, b1 = b2, с1 ≠ с2, то такая система является несовместной В) Если у системы а1 ≠ а2, b1 ≠ b2, c1 ≠ c2, то такая система обязательно имеет единственное решение Подберите правильный ответ ?) А - нет, В - нет ?) А - да, В - нет ?) А - нет, В - да ?) А - да, В - да Вопрос id:596030 Дана система уравнений
Верны ли утверждения? А) Для того, чтобы решить систему уравнений графическим методом, необходимо построить графики функций у = В) Графической иллюстрацией решения данной системы является рисунок Подберите правильный ответ ?) А - да, В - нет ?) А - да, В - да ?) А - нет, В - нет ?) А - нет, В - да Вопрос id:596031 Дана система уравнений
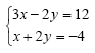
Верны ли утверждения? А) Графической иллюстрацией решения данной системы является рисунок В) Система имеет бесконечное множество решений, так как прямые совпадают Подберите правильный ответ ?) А - нет, В - да ?) А - да, В - да ?) А - да, В - нет ?) А - нет, В - нет Вопрос id:596032 Дана система уравнений
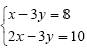
Верны ли утверждения? А) Графической иллюстрацией решения данной системы является рисунок В) Решением системы является пара чисел (–2; 0). Подберите правильный ответ ?) А - да, В - нет ?) А - да, В - да ?) А - нет, В - да ?) А - нет, В - нет Вопрос id:596033 Дана система уравнений
Верны ли утверждения? А) Для того, чтобы решить систему уравнений графическим методом, необходимо построить графики функций у = 1 + 2х и у = 3 – 2х В) Данная система не имеет решений, так как прямые не пересекаются Подберите правильный ответ ?) А - да, В - нет ?) А - нет, В - да ?) А - да, В - да ?) А - нет, В - нет Вопрос id:596034 Из представленных систем уравнений укажите две, геометрическая иллюстрация которых одинакова и представлена на рисунке:
?) ?) ![]() ?) ![]() ?) Вопрос id:596035 Система уравнений, графическое решение которой представлено на рисунке, ___
?) не имеет решений ?) неопределенна ?) несовместна ?) имеет бесконечное множество решений Вопрос id:596036 Система уравнений, графическое решение которой представлено на рисунке, ___
?) не имеет решений ?) имеет бесконечное множество решений ?) неопределенна ?) несовместна Вопрос id:596037 Система уравнений, графическое решение которой представлено на рисунке, ___
?) неопределенна ?) имеет бесконечное множество решений ?) имеет единственное решение ?) несовместна |
.
.

.




