Список вопросов базы знанийАлгебра (7 кл. БП)
Вопрос id:598450 Порядок вычисления выражения 38,82 + 83 · 15,4 – 44,22 = 810^ ?) 83(15,4 – 5,4) ?) 83 · 15,4 – 5,4 · 83 ?) 83 · 15,4 – (44,22 – 38,82) ?) 83 · 10 ?) 83 · 15,4 – (44,2 – 38,8)(44,2 + 38,8) Вопрос id:598451 Порядок решения уравнения (х – 1)2 + (2х + 3)2 = 5(х – 1)(х + 1)^ ?) раскрыть скобки в обеих частях уравнения ?) перенести все одночлены, содержащие переменные, в левую часть уравнения, а свободные члены – в правую с изменением знака на противоположный ?) привести подобные члены в обеих частях уравнения ?) решить полученное уравнение Вопрос id:598452 Постройте в одной системе координат графики функций у = х2 и у = 5х – 6 и найдите графически координаты точек их пересечения: ?) (1; 2) ?) (2; 4) ?) (3; 9) ?) (4; 12) Вопрос id:598453 Постройте в одной системе координат графики функций у = х2 и у = 6 – х и найдите графически координаты точек их пересечения: ?) (–1; 2) ?) (4; 8) ?) (2; 4) ?) (–3; 9) Вопрос id:598454 При разложении многочлена 36а6b3 – 96а4b4 + 64а2b5 на множители используются следующие способы: ?) вынесение общего множителя за скобки ?) способ группировки ?) использование формул сокращенного умножения – разность квадратов ?) использование формул сокращенного умножения – квадрат разности Вопрос id:598455 При разложении многочлена а2 – с2 + b2 + 2аb на множители используются следующие способы: ?) вынесение общего множителя за скобки ?) использование формул сокращенного умножения – квадрат суммы ?) способ группировки ?) использование формул сокращенного умножения – разность квадратов Вопрос id:598456 Сумма цифр двузначного числа равна 10. Если цифры этого числа переставить и цифру единиц нового числа увеличить на 1, то получится число, в 2 раза больше первоначального. Найдите это двузначное число Вопрос id:598457 Сумма цифр двузначного числа равна 9. Если цифры этого числа переставить, то получится число, составляющее Вопрос id:598458 Укажите координаты точки, которая не является вершиной треугольника со сторонами, образованными прямыми у = 3, у = х и у = 4 – х ?) (3; 3) ?) (2; 2) ?) (1; 3) ?) (3; 2) Вопрос id:598459 Укажите координаты точки, которая не является вершиной треугольника со сторонами, образованными прямыми у = –3, у = х и у = 2 – х ?) (–3; 1) ?) (5; –3) ?) (–3; 3) ?) (1; 1) Вопрос id:598460 Укажите соответствие между выражениями
Вопрос id:598461 Укажите соответствие между выражениями:
Вопрос id:598462 Укажите соответствие между выражениями:
Вопрос id:598463 Укажите соответствие между прямыми и их взаимным расположением:
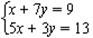
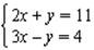
Вопрос id:598464 Укажите соответствие между системой уравнений и ее решением
Вопрос id:598465 Укажите соответствие между уравнением и его решением
Вопрос id:598466 Упростите выражение (a + 2b)(a – b – c) – (a – b)(a + 2b – c) + 2b(2b + c). ?) 4b2 – bc ?) a2 + 4b – 2bc ?) a2 + 4bc ?) а2 + 4b2 – bc Вопрос id:598467 Упростите выражение (–2ab5c)3 · (–3a5bc3)2 ?) –72a11b13c15 ?) –72a15b17c8 ?) 72a12b18c9 ?) –72a13b17c9 Вопрос id:598468 Упростите выражение (–3a3b2c)3 · (–2ab3c2)2 ?) –108a10b9c9 ?) –108a11b12c7 ?) –108a12b11c8 ?) –108a11b13c7 Вопрос id:598469 Упростите выражение (2a – b)(a + b – c) – (a + 2b)(a – b + c) + 3c(a + b) ?) a + b2 – 2bc ?) a2 + b2 + 2bc ?) a2 – b2 + bc ?) a2 + b – 2bc Вопрос id:598470 Верны ли утверждения? А) График функции у = kх – 8 параллелен графику функции у = kх + 8 при любом значении k. В) График функции у = kх – 8 пересекается с графиком функции у = сх – 8 в точке (0; 3) при любых значениях k и с, k ≠ c. Подберите правильный ответ ?) А - нет, В - нет ?) А - да, В - нет ?) А - нет, В - да ?) А - да, В - да Вопрос id:598471 Верны ли утверждения? А) На координатной плоскости все точки, имеющие абсциссу, равную 3, расположены на прямой у = 3 В) На координатной плоскости все точки, имеющие ординату, равную –5, раположены на прямой у = –5 Подберите правильный ответ ?) А - нет, В - да ?) А - да, В - нет ?) А - да, В - да ?) А - нет, В - нет Вопрос id:598472 Верны ли утверждения? А) Наименьшим целым числом, принадлежащим промежутку (3,1, 4) является 3 В) В промежуток (3,1, 4) не входит ни одного целого числа Подберите правильный ответ ?) А - да, В - нет ?) А - нет, В - да ?) А - нет, В - нет ?) А - да, В - да Вопрос id:598473 Верны ли утверждения? В уравнении 7х + bу – 40 = 0: А) при b = 6 решением является пара чисел (4; 2). В) при b = –2 решением является пара чисел (2; –13). Подберите правильный ответ ?) А - да, В - нет ?) А - нет, В - да ?) А - нет, В - нет ?) А - да, В - да Вопрос id:598474 Верны ли утверждения? У функции у = – А) унаиб. = 0. В) Наименьшего значения не существует. Подберите правильный ответ ?) А - нет, В - да ?) А - да, В - нет ?) А - нет, В - нет ?) А - да, В - да Вопрос id:598475 Напишите координаты вершин отрезка MN, расположенного на 2 единицы ниже изображенного на рисунке отрезка АВ
?) M(0; 2), N(–1; 1) ?) M(–2; 0), N(1; –1) ?) M(–4; 2), N(2; 0) ?) M(–2; 0), N(–1; –1) Вопрос id:598476 Укажите координаты точки пересечения графиков функций у = –3 + 2х и у = –0,5х + 2 ?) (–2; –1) ?) (2; –1) ?) (– 2; 1) ?) (2; 1) Вопрос id:598477 График линейной функции у = х + 11 пересекает ось ординат в точке с координатами ___ ?) (–11; 0) ?) (0; 11) ?) (11; 0) ?) (0; –11) Вопрос id:598479 Замените знак * так, чтобы графики линейных функций у = –0,1х – 1 и у = *х + 1 пересекались в точке (0; –1) ?) * = 0,1 ?) * = –0,1 ?) * = –1 ?) задание некорректно Вопрос id:598480 Из представленных графиков укажите график прямой пропорциональности у = 2x ?) ![]() ?) ![]() ?) ![]() ?) ![]() Вопрос id:598481 Из представленных пар функций выберите те, которые пересекаются: ?) у = 7,5х + 2 и у = –4,5 х – 2 ?) у = 2х – 3,5 и у = 4,7 + 2х ?) у = –9х + 1 и у = 1 – 9х ?) у = 3х – 4 и у = 9х – 4 Вопрос id:598482 Интервал где r – положительное число, называют окрестностью точки а, а число r – радиусом окрестности. Представьте предложенные интервалы в виде (а – r, a + r) и расположите их в порядке увеличения радиуса окрестности: ?) (4, 7) ?) (–5, –1) ?) (–3, 7) ?) (–4, 4) Вопрос id:598483 Линейная функция вида у = kx + m на всем своем протяжении: ?) убывает, если k < 0 ?) не имеет наибольшего значения, унаим. = 0 ?) не имеет ни наибольшего, ни наименьшего значения ?) возрастает, если m > 0 Вопрос id:598484 На координатной прямой дана точка А(4). Выберите координаты точек, отстоящих от данной точки А на 9 единичных отрезков: ?) В(13) ?) Е(–9) ?) С(–5) ?) D(5) Вопрос id:598485 Найдите значение a, если известно, что график линейной функции у = –5х + a проходит через точку N(1; 2). Ответ: a = ___ (число) Вопрос id:598486 Найдите значение а, при котором функции у = –3х + а и у = х – 2 пересекаются в точке (2; 0). Ответ: а = ___ Вопрос id:598487 Найдите значение коэффициента m в уравнении 8х + 5у – m = 0, если известно, что решением уравнения является пара чисел (3; –1). Ответ: с = ___ (число) Вопрос id:598488 Найдите точку пересечения прямых 2х + у = 4 и 4х + 3у = 6. ?) (3; –2 ) ?) (–3; 2 ) ?) (3; 2 ) ?) (–3; –2 ) Вопрос id:598489 Найдите точку пересечения прямых у = 2х + 4 и у = 5х – 2. Введите ответ через запятую, без пробелов Вопрос id:598490 Напишите координаты точки пересечения прямых у = 8 и у = 0,5х + 2. Ответ введите через запятую, без пробелов Вопрос id:598491 Первое число составляет 25% второго. Найдите эти числа, если второе число больше первого на 9 ?) 2,5 и 11,5 ?) 3 и 12 ?) 8 и 17 ?) 4,3 и 13,3 Вопрос id:598492 Пользуясь графиком линейной функции у = х + 3, выберите отрезок оси х, на котором выполняется неравенство у > 0 ?) [–5, –3] ?) (–5, 0) ?) [–7, –5] ?) [0, 4] Вопрос id:598493 Пользуясь графиком линейной функции у = х + 4, укажите наибольшее значение линейной функции на отрезке [–5, –2]. Ответ: унаиб. = ___ (число) Вопрос id:598494 Постройте график линейной функции у = –х – 7 и с его помощью решите неравенство –х – 7 > 0 ?) х < 7 ?) х > – 7 ?) х < – 7 ?) х > 7 Вопрос id:598495 Постройте график функции у = –0,5х и укажите промежуток, на котором y > 0 ?) [–6, 1) ?) (–6, –5) ?) (1, 2] ?) (–5, 0] Вопрос id:598496 Прямая х = –11 ___ оси абсцисс. Введите слово «параллельна» или «перпендикулярна» Вопрос id:598497 Расположите точки, принадлежащие различным графикам прямой пропорциональности, в порядке возрастания углового коэффициента ?) С(1; –4) ?) А(5; 8) ?) В(3; 8) ?) D(–3; 6) Вопрос id:598498 Расположите функции в порядке возрастания абсциссы точки их пересечения с графиком функции у = 2х – 1 ?) у = –2х ?) у = 3х ?) у = 10х – 5 ?) у = –5х + 6 Вопрос id:598499 Сумма двух чисел равна 21, а разность равна 3. Найдите эти числа. Ответ введите через запятую, без пробелов, начиная с меньшего числа Вопрос id:598500 Укажите значения а и b, при которых графики линейных функций у = –ах + 7 и у = 4х + b параллельны ?) задание некорректно ?) а = 4, b = 7 ?) а = –7, b = 4 ?) а = –4, b = 6 |




