Список вопросов базы знанийАлгебра (7 кл. БП)
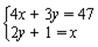
Вопрос id:598553 Если первое число увеличить в 3 раза, а второе в 4 раза, то их сумма будет равна 47. Найдите эти числа, если удвоенное второе число на 1 больше первого числа. Выберите верные утверждения, если за х принять первое число, а за у – второе число. ?) 3х + 4у = 47 ?) 2у – х = 1 ?) числа равны 9 и 5 ?) Вопрос id:598554 За 4 ч езды на автомашине и 7 ч езды на поезде туристы проехали 640 км. Какова скорость поезда, если она на 5 км/ч больше скорости автомашины? Ответ: скорость поезда равна ___ км/ч. Вопрос id:598555 Замените буквы А и В так, чтобы получилось верное тождество:
?) А = 0,5, В = –3 ?) А = – ?) А = –2, В = 3 ?) А = 2, В = – Вопрос id:598556 Замените буквы А и В так, чтобы получилось верное тождество:
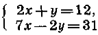
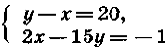
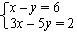
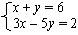
?) А = –3, В = 5 ?) А = –5, В = 3 ?) А = 3, В = 5 ?) А = 5, В = –3 Вопрос id:598557 Из пунктов А и В, расстояние между которыми равно 280 км, выходят одновременно два автомобиля. Если автомобили будут двигаться навстречу друг другу, то встреча произойдет через 2 ч. Если же они будут двигаться в одном направлении, то автомобиль, вышедший из А, догонит автомобиль, вышедший из В, через 14 ч. Какова скорость каждого автомобиля? Верны ли утверждения? А) Если х км/ч – скорость первого автомобиля, а у км/ч – скорость второго автомобиля, то верно уравнение 2х + 2у = 280. В) Скорость первого автомобиля 70 км/ч, а второго 60 км/ч. Подберите правильный ответ ?) А - да, В –нет ?) А - да, В – да ?) А - нет, В – да ?) А - нет, В – нет Вопрос id:598558 Моторная лодка путь по течению от одной пристани до другой проходит за 4 ч, а обратный путь за 5 ч. Какова скорость лодки в стоячей воде, если 70 км по течению она проходит за 3,5 ч? Ответ: скорость лодки в стоячей воде ___ км/ч Вопрос id:598559 Основание равнобедренного треугольника на 7 см больше его боковой стороны. Найдите боковую сторону треугольника, если его периметр равен 43 см. Ответ: боковая сторона треугольника равна ___ см Вопрос id:598561 Решите методом сложения систему уравнений:
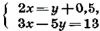
?) (5; –2) ?) (–2; 4) ?) (0,2; 0,5) ?) (2; 0,5) Вопрос id:598562 Решите систему уравнений методом подстановки:
Ответ введите через запятую, без пробелов Вопрос id:598563 Решите систему уравнений методом подстановки:
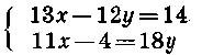
Ответ введите через запятую, без пробелов Вопрос id:598564 Решите систему уравнений методом сложения:
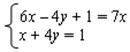
Ответ введите через запятую, без пробелов Вопрос id:598565 Решите систему уравнений:
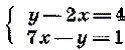
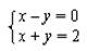
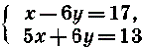
Ответ введите через запятую, без пробелов Вопрос id:598566 Решите систему уравнения методом сложения:
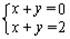
?) (–0,5; 2) ?) система не имеет решений ?) (–1; 0) ?) система имеет бесконечное множество решений Вопрос id:598567 Теплоход проходит за 3 ч по течению и 2 ч против течения 240 км. Этот же теплоход за 3 ч против течения проходит на 35 км больше, чем за 2 ч по течению. Найдите скорость течения реки. Ответ: скорость течения реки равна ___ км/ч. Вопрос id:598568 Укажите решение системы уравнений, графическая иллюстрация которой представлена на рисунке
?) (–2; –1) ?) (1,5; 0) и (6; 0) ?) (1,5; 6) ?) (–1; –2) Вопрос id:598569 Укажите систему уравнений, графическая модель которой представлена на рисунке
?) ?) ?) ?) Вопрос id:598571 За 3 ч по течению и 4 ч против течения теплоход проходит 380 км. За 1 ч по течению и 30 мин против течения теплоход проходит 85 км. Найдите собственную скорость теплохода и скорость течения ?) 40 и 4 км/ч ?) 35 и 3 км/ч ?) 55 и 5 км/ч ?) 45 и 3 км/ч Вопрос id:598572 Масса 4,5 см3 железа и 8 см3 меди равна 101,5 г. Масса 3 см3 железа больше массы 2 см3 меди на 6,8 г. Найдите плотность железа и плотность меди ?) 7,2 и 8,7 г/см3 ?) 7,8 и 8,3 г/см3 ?) 6,5 и 7,2 г/см3 ?) 4,6 и 7,1 г/см3 Вопрос id:598573 На двух полках 55 книг. Если переставить со второй полки половину книг на первую, то на первой станет в 4 раза больше книг, чем останется на второй. Сколько книг на каждой полке? ?) 30 и 25 книг ?) 38 и 17 книг ?) 33 и 22 книги ?) 45 и 10 книг Вопрос id:598574 Не выполняя построений, найдите координаты точки пересечения графиков функций 7х + 4у = 23 и 8х – 10у = 19 ?) (3; 0,5) ?) (–4; 1) ?) (4; 1) ?) (0,5; 3) Вопрос id:598575 Не выполняя построений, найдите координаты точки пересечения графиков функций у – 2х = 1 и 6х – у = 7 ?) (–4; 7) ?) (0,5; 2) ?) (2; 5) ?) (1; 3) Вопрос id:598576 Укажите равносильные системы уравнений: ?) ?) ?) ?) Вопрос id:598577 Укажите соответствие между графической моделью системы уравнений и ее решением:
Вопрос id:598578 Укажите соответствие между системой уравнений и ее решением
Вопрос id:598579 Верны ли определения? А) Если в многочлене все члены записаны в стандартном виде и приведены подобные члены, то многочлен приведен к стандартному виду В) Чтобы записать алгебраическую сумму нескольких многочленов в виде многочлена стандартного вида, надо раскрыть скобки и привести подобные члены Подберите правильный ответ ?) А - нет, В - нет ?) А - да, В - да ?) А - нет, В - да ?) А - да, В - нет Вопрос id:598580 Верны ли определения? А) При a = 2 выражение 10a2 – (2a – 3)(5a – 1) – 31 обращается в ноль В) Если а = –8, то (а – 1)(а – 2) – (а – 5)(а + 3) = 25 Подберите правильный ответ ?) А - да, В - да ?) А - нет, В - да ?) А - да, В - нет ?) А - нет, В - нет Вопрос id:598581 Верны ли тождества? А) (–т – n)2 = –(m + n)2 В) (n – m)2 = (m – n)2 Подберите правильный ответ ?) А - нет, В - нет ?) А - нет, В - да ?) А - да, В - да ?) А - да, В - нет Вопрос id:598582 Верны ли утверждения? А) Задача деления многочлена на одночлен (27а3 – 81b3) : 9а3b3 является корректной. В) Задача деления многочлена на одночлен (42х3у – 63ху3 + 14ху) : 7ху является некорректной. Подберите правильный ответ ?) А - нет, В - да ?) А - да, В - да ?) А - нет, В - нет ?) А - да, В - нет Вопрос id:598583 Дан многочлен 3c + 11. Полагая c = 5z + 4, составьте новый многочлен и приведите его к стандартному виду. Найдите значение полученного многочлена при z = 3. Ответ: р(3) = ___ (число) Вопрос id:598584 Замените буквы А и В одночленами так, чтобы выполнялось равенство
?) А = 3а2y, B = 21а3y ?) А = 3а2y, B = 21а4y ?) А = 3аy, B = 21а4y ?) А = 3а3y, В = 21а3y Вопрос id:598585 Замените буквы А, В и С одночленами так, чтобы выполнялось равенство
?) А = 28m8х7, В = 42m9х6, С = 14m3х4 ?) А = 28m8х7, В = 42m9х6, С = 14m2х3 ?) А = 28m7х7, В = 42m10х6, С = 14mа2х4 ?) А = 28m8х9, В = 42m9х7, С = 14m3х3 Вопрос id:598586 Найдите значение р(y) = р1(y) – р2(y) при y = 3, если р1(y) = 8y2 + 3y + 3; р2(y) = 5y2 + 3y + 2. Ответ: ___ (число) Вопрос id:598587 Найдите значение выражения (4a2 – 1)(16a4 + 4a2 + 1) при a = –2. Ответ: ___ (число) Вопрос id:598588 Найдите значение выражения (y4 – y3z) : y3 при y = 7,34, z = 5,6. Ответ: ___ (число) Вопрос id:598589 Найдите значение выражения (–a – ab) : a при a = –4,6, b = –8,3. Ответ: ___ (число) Вопрос id:598590 Найдите значение числового выражения 33 + (3 – 1)(3 + 1)(32 + 1)(34 + 1)(38 + 1) – 316. Ответ: ___ (число) Вопрос id:598591 Пусть а = 4z2 + 5z + 8; b = 1,2 – 3z2 – 8z; с = 12,5z2 – 3,5z + 21,8. Укажите соответствие между выражением и стандартным видом соответствующего многочлена:
Вопрос id:598592 Решите задачу, выделяя три этапа математического моделирования: В трёх учреждениях трудятся 216 работников. Во втором из них работают в 3 раза больше работников, чем в третьем, а в первом учреждении столько, сколько во втором и третьем вместе. Сколько трудятся в первом учреждении? Ответ: в первом учреждении трудятся ___ работников Вопрос id:598593 Решите задачу, выделяя три этапа математического моделирования: Лодка проплыла 48 км по течению реки за 4 ч, а на обратный путь ей потребовалось 6 ч. Найдите собственную скорость лодки (т.е. скорость в стоячей воде). Ответ: собственная скорость лодки ___ км/ч Вопрос id:598594 Решите задачу, выделяя три этапа математического моделирования: Найдите четыре последовательных натуральных числа, если известно, что разность между произведением двух больших чисел и произведением двух меньших чисел равна 46. Ответ: ___ (введите четыре числа через запятую, без пробелов, в порядке возрастания, начиная с наименьшего) Вопрос id:598595 Решите задачу, выделяя три этапа математического моделирования: Периметр прямоугольника равен 50 см. Если длину прямоугольника увеличить на 3 см, а ширину уменьшить на 2 см, то площадь прямоугольника уменьшится на 6 см2. Найдите площадь прямоугольника. Ответ: площадь прямоугольника равна ___ см2 Вопрос id:598596 Решите уравнение (6 – 3х)(6 + 3х) –34 = (8 – 9х)х. Ответ: х = ___ (число) Вопрос id:598597 Решите уравнение 4(y – 1)(y + 1) – (2y + 3)2 + 61 = 0. Ответ: y = ___ (число) Вопрос id:598598 Решите уравнение Ответ: х = ___ (число) Вопрос id:598599 Вынесите общий множитель за скобки: 8х3 + 24х2 + 16х ?) 8х(х2 + 3х + 2) ?) 2(4х2 + 12х + 8х) ?) 2х(х2 + 6х + 4) ?) 8(х3 + 3х + 2) Вопрос id:598600 Для представленного многочлена 11а – 27а3 + 9 а – 5а + 2b2 + А найдите такой многочлен А, чтобы полученный многочлен стандартного вида не содержал переменной а ?) А = 5а ?) А = 15а ?) А = 27а3 – 2b2 ?) А = –15а Вопрос id:598601 Замените буквы А, В, С одночленами так, чтобы выполнялось равенство (4r2s2 + A)2 = В + С + 0,01s8 ?) А = 0,1s4; В = 4r2s2; С = 0,8r2s6 ?) А = 0,01s4; В = 16r4s4; С = 0,8r2s6 ?) А = 0,1s2; В = 16r4s4; С = 0,4rs3 ?) А = 0,1s4; В = 16r4s4; С = 0,8r2s6 Вопрос id:598602 Из представленных алгебраических выражений выберите многочлены, представленные в стандартном виде: ?) а – 3ab + 8а2 + 21а ?) 4а2 + 19а – 6,5ab ?) ?) Вопрос id:598603 Из представленных алгебраических выражений выберите те, которые являются многочленами: ?) 12х3 – 4у2 – 5 ?) 9х2 + 3у + ?) ?) Вопрос id:598604 Из представленных алгебраических выражений укажите верные тождества: ?) (6m2 – mn)2 = 36m2 + 12m2n + m2n2 ?) (0,15a4b3 – 10b4)2 = 0,625a8b6 – 3a4b7 + 100b8 ?) (3y3 + 4xy2)2 = 9y6 + 24xy5 + 16x2y4 ?) (20a3b + 0,03b2)2 = 400a6b2 + 1,2a3b3 + 0,0009b4 |











