Список вопросов базы знанийАлгебра (7 кл. БП)
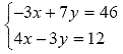
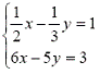
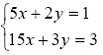
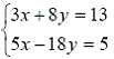
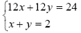
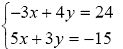
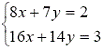
Вопрос id:597481 Решите методом сложения систему уравнений
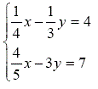
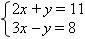
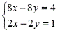
?) (–3; –6) ?) (3; 12) ?) (–1; –3) ?) (–6; –12) Вопрос id:597482 Решите методом сложения систему уравнений
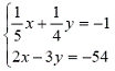
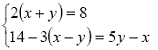
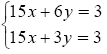
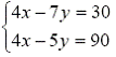
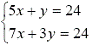
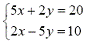
?) (3; –6) ?) (–7; 21) ?) ?) Вопрос id:597483 Решите методом сложения систему уравнений
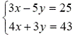
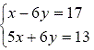
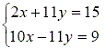
?) ?) ?) ?) (–7; 21) Вопрос id:597484 Решите методом сложения систему уравнений
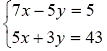
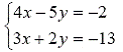
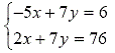
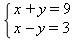
?) ?) ?) ?) Вопрос id:597485 Решите методом сложения систему уравнений
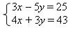
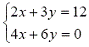
?) ?) (–2, 7) ?) ?) (–15; 8) Вопрос id:597486 Решите методом сложения систему уравнений
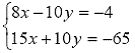
?) (–2, 6) ?) (15; 0,5) ?) ?) Вопрос id:597487 Решите систему уравнений методом сложения
Ответ введите через запятую, без пробелов Вопрос id:597488 Решите систему уравнений методом сложения
Ответ введите через запятую, без пробелов Вопрос id:597489 Решите систему уравнений методом сложения
Ответ введите через запятую, без пробелов Вопрос id:597490 Решите систему уравнений методом сложения
Ответ введите через запятую, без пробелов Вопрос id:597491 Решите систему уравнений методом сложения
Ответ введите через запятую, без пробелов Вопрос id:597492 Решите систему уравнений методом сложения
Ответ введите через запятую, без пробелов Вопрос id:597493 Решите систему уравнений методом сложения
Ответ введите через запятую, без пробелов Вопрос id:597494 Решите систему уравнения методом сложения:
?) (–3; 2) ?) система не имеет решений ?) (0,5; 1) ?) (2; –4) Вопрос id:597495 Решите систему уравнения методом сложения:
?) (0,5; –0,5) ?) (2; 2) ?) (–2; 2) ?) система неопределенна Вопрос id:597496 Решите систему уравнения методом сложения:
?) система неопределенна ?) система несовместна ?) (–1; 1) ?) (1; –1) Вопрос id:597497 Решите систему уравнения методом сложения:
?) (–2; 4) ?) система несовместна ?) (5; –7) ?) система неопределенна Вопрос id:597498 Решите систему уравнения методом сложения:
?) (2; –5) ?) система несовместна ?) система неопределенна ?) (–3; 1) Вопрос id:597499 Алгоритм решения систем двух линейных уравнений с двумя переменными способом сложения: ?) найти соответствующее значение второй переменной ?) решить уравнение относительно одной переменной ?) умножить почленно уравнения системы, подбирая множители так, чтобы коэффициенты при одной из переменных стали противоположными числами ?) сложить почленно левые и правые части уравнений системы Вопрос id:597500 Из представленных систем уравнений укажите системы, решением которых являются дробные числа ?) ?) ?) ![]() ?) Вопрос id:597501 Укажите соответствие между равносильными системами уравнений
Вопрос id:597502 Укажите соответствие между системой уравнений и ее решением
Вопрос id:597503 Укажите соответствие между системой уравнений и ее решением
Вопрос id:597504 Укажите соответствие между системой уравнений и суммой этих уравнений
Вопрос id:597505 Аналитической моделью функции, изображенной на рисунке, является
?) ?) ![]() ?) ?) Вопрос id:597506 Верны ли утверждения для функции, приведенной на рисунке?
А) Область определения (–∞, +∞), функция является непрерывной В) Значение функции меньше нуля не существует; функция возрастает при х < 0 и убывает при х > 0 Подберите правильный ответ ?) А - нет, В - нет ?) А - да, В - да ?) А - нет, В - да ?) А - да, В - нет Вопрос id:597507 Верны ли утверждения для функции, приведенной на рисунке?
А) Область определения (–∞, +∞), унаим. = 2, унаиб. не существует В) Значение функции, равное нулю, не существует; функция является постоянной на промежутке (–∞, 2) Подберите правильный ответ ?) А - да, В - да ?) А - нет, В - нет ?) А - нет, В - да ?) А - да, В - нет Вопрос id:597508 Дана функция
Найдите значение функции при х = 0,5 ?) 1 ?) 0,5 ?) 0,25 ?) задание некорректно Вопрос id:597509 Дана функция
Укажите соответствие между аргументом и значением функции
Вопрос id:597510 Дана функция
Укажите соответствие между аргументом и значением функции
Вопрос id:597511 Дана функция
Укажите соответствие между значением аргумента и значением функции
Вопрос id:597512 Дана функция
Установите значения аргумента в порядке возрастания соответствующего значения функции ?) х = 0 ?) х = 1,5 ?) х = –3 ?) х = 4 Вопрос id:597513 Дана функция
Вычислите: f(–5) = ___ (число) Вопрос id:597514 Дана функция
Вычислите: f(–4) = ___ (число) Вопрос id:597515 Дана функция
Вычислите: f(1) = ___ (число) Вопрос id:597516 Для функции, изображенной на рисунке, f(х) > 0 при х
?) [0, 4,5] ?) [0, 1] ?) (0, 4,5] ?) (–2, 1] Вопрос id:597517 Для функции, изображенной на рисунке, f(х) > 0 при х
?) [–5, 0) ?) [–5, 0] ?) (0, 2] ?) (–5, 0] Вопрос id:597518 Для функции, изображенной на рисунке, f(х) < 0 при х
?) (0, 2] ?) [–2, 0) ?) [–2, 0] ?) (–2, 0] Вопрос id:597519 Для функции, изображенной на рисунке, f(х) < 0 при х
?) (–5, 0] ?) (0, 4] ?) [–4, 0) ?) [–5, 4) Вопрос id:597520 Для функции, изображенной на рисунке, f(х) = 0 при х = ___ (число)
Вопрос id:597521 Для функции, изображенной на рисунке, справедливо следующее:
?) унаим. не существует ?) область определения функции (–4, +∞) ?) функция претерпевает разрыв при х = 1 ?) f(–4) = 4 Вопрос id:597522 Для функции, изображенной на рисунке, справедливо следующее:
?) f(0) = 0 ?) функция претерпевает разрыв при х = 1 ?) функция претерпевает разрыв при х = 0 ?) область определения функции (–∞, +∞) Вопрос id:597523 Для функции, изображенной на рисунке, справедливо следующее:
?) f(0) = 0 ?) область определения функции (–∞, +∞) ?) функция претерпевает разрыв при х = 1 ?) функция возрастает при х Вопрос id:597524 Для функции, изображенной на рисунке, справедливы следующие утверждения:
?) если х ?) если х ?) область определения функции [–2, 5] ?) функция возрастает на промежутке (0; 5) Вопрос id:597525 Для функции, изображенной на рисунке, справедливы следующие утверждения:
?) ?) точек разрыва нет ?) промежуток убывания (9, 0), промежуток возрастания (0, 4) ?) унаиб. не существует, унаим. = 0 Вопрос id:597526 Для функции, изображенной на рисунке, справедливы следующие утверждения:
?) область определения [–2, 2] ?) унаиб. = 4, унаим. = 0 ?) на промежутке (–1, 0) функция убывает ?) функция непрерывна Вопрос id:597527 Для функции, изображенной на рисунке, укажите соответствие между числовыми промежутками и характером функции
Вопрос id:597528 Для функции, изображенной на рисунке, укажите соответствие между числовыми промежутками и характером функции
Вопрос id:597529 Для функции, изображенной на рисунке, установите соответствие между аргументом и значением функции.
Вопрос id:597530 Для функции, изображенной на рисунке, установите соответствие между аргументом и значением функции.
|









































