Список вопросов базы знанийАлгебра (7 кл. БП)
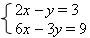
Вопрос id:596038 Укажите пару чисел, являющуюся решением системы уравнений
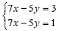
?) (3; –1) ?) (2; 1) ?) (1; 2) ?) (20; 18) Вопрос id:596039 Укажите пару чисел, являющуюся решением системы уравнений
?) (0; 1) ?) (–2; –5) ?) (1; 2) ?) (4; 3) Вопрос id:596040 Укажите решение системы уравнений, графическая иллюстрация которой представлена на рисунке
?) (2; –1) ?) система имеет бесконечное множество решений ?) (0; 1) и (0; 3) ?) система не имеет решений Вопрос id:596041 Укажите, сколько решений имеет система уравнений
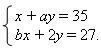
?) бесконечное множество решений ?) одно решение ?) два решения ?) ни одного решения Вопрос id:596042 Графической иллюстрацией решения системы уравнений ?) ![]() ?) ![]() ?) ![]() ?) ![]() Вопрос id:596043 Дана система уравнений Вопрос id:596044 Дана система уравнений Вопрос id:596045 Дана система уравнений Вопрос id:596046 Дана система уравнений Вопрос id:596047 Дана система уравнений Известно, что пара чисел (5; 6) является ее решением. Найдите значения а и b?) а = –5, b = 3 ?) а = –5, b = –3 ?) а = 5, b = 3 ?) а = 5, b = –3 Вопрос id:596048 Дана система уравнений ?) а = –2,2, b = 4,8 ?) а = 2,2, b = 4,8 ?) а = –2,2, b = –4,8 ?) а = 2,2, b = –4,8 Вопрос id:596050 Дана система уравнений Известно, что система несовместна. Найдите значения а и b?) а = 5, b = 3 ?) а = 10, b = 6 ?) а = 5, b = –3 ?) а = 10, b = –6 Вопрос id:596051 Дано уравнение 3х – 2у = 8, являющееся первым уравнением системы. Из представленных ниже уравнений выберите второе уравнение системы, такое, чтобы полученная система имела единственное решение ?) у = ?) у = ?) у = 1,5х – 4 ?) у = х – 4 Вопрос id:596052 Дано уравнение 8х + у = 5, являющееся первым уравнением системы. Из представленных ниже уравнений выберите второе уравнение системы, такое, чтобы полученная система имела бесконечно много решений: ?) 8х + 2у = 10 ?) 8х + 2у = 5 ?) 4х + 2у = 5 ?) 16х + 2у = 10 Вопрос id:596053 Дано уравнение –5х + 4у = 1, являющееся первым уравнением системы. Укажите соответствие между вторым уравнением системы и количеством решений полученной системы
Вопрос id:596054 Даны два линейных уравнения с двумя переменными: х – у = 2 и х + у = 8. Укажите соответствие между парой чисел и ее значением для данных уравнений
Вопрос id:596055 Два линейных уравнения с двумя переменными, которые требуется решить совместно, образуют ___ линейных уравнений с двумя переменными Вопрос id:596056 Для системы уравнений ?) -> графическая иллюстрация решения представлена на рисунке
?) система неопределенна ?) (0; 0) – решение системы ?) при графическом методе решения необходимо в одной системе координат построить графики функций у = 5х и у = 3х Вопрос id:596057 Для системы уравнений ?) система имеет единственное решение ?) при графическом методе решения необходимо в одной системе координат построить графики функций у = 4х + 3 и у = –3х ?) графическая иллюстрация решения представлена на рисунке
?) (9; 3) – решение системы Вопрос id:596058 Для системы уравнений ?) (4; 1) – решение системы ?) -> графическая иллюстрация решения представлена на рисунке
?) система несовместна ?) система неопределенна Вопрос id:596059 Для системы уравнений верно следующее:?) система неопределенна ?) система имеет бесконечное множество решений, так как прямые параллельны ?) -> графическая иллюстрация решения представлена на рисунке:
?) система не имеет решений, так как прямые параллельны Вопрос id:596060 Для того, чтобы решить систему уравнений графическим методом, необходимо построить графики функций?) у = х + 1 и у = 3 + ?) у = х – 1 и у = 9 – ?) у = х – 1 и у = 3 – ?) у = х + 1 и у = 3 – Вопрос id:596061 Если прямые l 1 и l2, являющиеся графиками уравнений системы линейных уравнений с двумя переменными, параллельны — это значит, что система ___ ?) имеет бесконечное множество решений ?) неопределенна ?) несовместна ?) имеет только одно решение Вопрос id:596062 Если прямые l 1 и l2, являющиеся графиками уравнений системы линейных уравнений с двумя переменными, пересекаются, — это значит, что система ___ ?) имеет единественное решение ?) имеет бесконечное множество решений ?) имеет два решения ?) не имеет решений Вопрос id:596063 Если прямые l 1 и l2, являющиеся графиками уравнений системы линейных уравнений с двумя переменными, совпадают, — это значит, что система ___ ?) неопределенна ?) имеет единственное решение ?) несовместна ?) имеет бесконечное множество решений Вопрос id:596064 Из представленных систем уравнений выберите неопределенные: ?) ![]() ?) ?) ?) ![]() Вопрос id:596065 Из представленных систем уравнений выберите несовместные: ?) ![]() ?) ![]() ?) ?) Вопрос id:596066 Найдите значение коэффицента а в уравнении ах + 8у = 20, если известно, что решением этого уравнения является пара чисел (2; 1). Ответ: а = ___(число) Вопрос id:596067 Найдите значение коэффицента а в уравнении ах – 5у = 15, если известно, что решением этого уравнения является пара чисел (2; 3). Ответ: а = ___(число) Вопрос id:596068 Ответьте, является ли пара чисел (1; 1) решением линейного уравнения с двумя переменными: 5х + 3у = 10. Введите «да», если является, и «нет», если не является Вопрос id:596069 Ответьте, является ли пара чисел (1; 4) решением системы уравнений Вопрос id:596070 Ответьте, является ли пара чисел (2; 1) решением линейного уравнения с двумя переменными: 4х + 8у = 16. Введите «да», если является, и «нет», если не является Вопрос id:596071 Ответьте, является ли пара чисел (3; 1) решением линейного уравнения с двумя переменными: 5х – 12у = 3. Введите «да», если является, и «нет», если не является Вопрос id:596072 Ответьте, является ли пара чисел (3; 7) решением системы уравнений Вопрос id:596073 Ответьте, является ли пара чисел (4; 1) решением линейного уравнения с двумя переменными: 7х – 2у = 5. Введите «да», если является, и «нет», если не является Вопрос id:596074 Расположите графические иллюстрации решения систем уравнений в порядке возрастания количества решений: ?) ![]() ?) ![]() ?) ![]() ![]() Вопрос id:596075 Расположите системы уравнений в порядке возрастания количества их решений: ?) ?) ?) Вопрос id:596076 Решением системы линейных уравнений с двумя переменными называют ___ ?) пару значений (х; у), которая является решением одного из уравнений ?) значение х, при котором оба уравнения превращаются в верное равенство при у = 0 ?) пару значений (х; у), которая одновременно является решением и первого, и второго уравнений ?) значение у, которое одновременно является решением и первого, и второго уравнений при х = 0 Вопрос id:596077 Система уравнений Вопрос id:596078 Система уравнений Вопрос id:596079 Укажите решения уравнения 3х – 2у = 5 ?) (5; – 5) ?) (3; 2) ?) (1; –1) ?) (4; 3) Вопрос id:596080 Укажите соответствие между графической иллюстрацией решения системы уравнений и типом системы
Вопрос id:596081 Укажите соответствие между системой уравнений и графической иллюстрацией ее решения
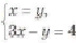
Вопрос id:596082 Укажите соответствие между системой уравнений и ее решением
Вопрос id:596083 Укажите соответствие между системой уравнений и количеством ее решений
Вопрос id:596084 Верны ли утверждения? А) Парабола у = х2 и прямая у = 0 пересекаются в точке (0; 0) В) Парабола у = х2 и прямая у = –3 не пересекаются Подберите правильный ответ ?) А - нет, В - нет ?) А - да, В - да ?) А - нет, В - да ?) А - да, В - нет Вопрос id:596085 Верны ли утверждения? А) Парабола у = х2 и прямая у = 2х пересекаются в точках (0; 0) и (2; 4) В) Парабола у = х2 и прямая у = х – 3 не пересекаются Подберите правильный ответ ?) А - да, В - да ?) А - нет, В - да ?) А - да, В -нет ?) А - нет, В - нет Вопрос id:596086 Верны ли утверждения? А) Парабола у = х2 и прямая у = х не пересекаются В) Парабола у = х2 и прямая у = х – 5 пересекаются в точках (0; 0) и (1; 1) Подберите правильный ответ ?) А - да, В -нет ?) А - нет, В - да ?) А - да, В - да ?) А - нет, В - нет Вопрос id:596087 Верны ли утверждения? А) Парабола у = х2 и прямая у = В) Парабола у = х2 и прямая у = –2x – 1 пересекаются в точке (–1; 1) Подберите правильный ответ ?) А - да, В -нет ?) А - нет, В - нет ?) А - нет, В - да ?) А - да, В - да Вопрос id:596088 Верны ли утверждения? А) Парабола у = х2 и прямая у = –х пересекаются в точках (0; 0) и (1; 1) В) Парабола у = х2 и прямая у = – 3 не пересекаются Подберите правильный ответ ?) А - нет, В - да ?) А - нет, В - нет ?) А - да, В -нет ?) А - да, В - да |





Известно, что пара чисел (5; 6) является ее решением. Найдите значения а и b
Известно, что система несовместна. Найдите значения а и b


верно следующее:
графическим методом, необходимо построить графики функций















