Список вопросов базы знанийАлгебра (7 кл. БП)
Вопрос id:597430 Вычислите ![]() ?) дробь не имеет смысла ?) 3,4 ?) 3 ?) 0 Вопрос id:597431 Вычислите Вопрос id:597432 Вычислите Вопрос id:597433 Если при конкретных значениях букв (переменных) алгебраическое выражение имеет числовое значение, то указанные значения переменных называют ___ ?) значениями числового выражения ?) значениями алгебраического выражения ?) недопустимыми значениями ?) допустимыми значениями Вопрос id:597434 Если при конкретных значениях букв (переменных) алгебраическое выражение не имеет смысла, то указанные значения переменных называют ___ ?) значениями алгебраического выражения ?) значениями числового выражения ?) допустимыми значениями ?) недопустимыми значениями Вопрос id:597435 Значение числового выражения – ___, которое получается в результате выполнения действий в числовом выражении Вопрос id:597436 Найдите значение выражения: разность произведения чисел ?) –0,1 ?) 1,4 ?) – ?) Вопрос id:597437 Найдите число минут в х сутках ?) 1440х ?) 60х ?) 24х ?) Вопрос id:597438 Найдите число секунд в а часах ?) 3600а ?) ?) 60а ?) 360а Вопрос id:597439 Расположите значения переменной х в порядке возрастания значения выражения 3х – 1: ?) х = –1 ?) х = 3 ?) х = ?) х = –3,5 Вопрос id:597440 Укажите значения а и b, при которых значение выражения ?) а = 3,5, b = 2,5 ?) а = 4,6, b = 1,3 ?) а = 13, b = 12 ?) а = 2,4, b = 3,2 Вопрос id:597441 Укажите порядок действий в алгебраическом выражении ?) сложение ?) деление ?) умножение ?) вычитание Вопрос id:597442 Укажите соответствие между значением переменных а и b и соответствующим значением алгебраического выражения
Вопрос id:597443 Укажите соответствие между математическим законом и его алгераическим выражением
Вопрос id:597444 Выражение 12x больше выражения 3x + 5 на 4 при х = ___ Вопрос id:597445 Вычислите ![]() ?) 0 ?) 1,6 ?) дробь не имеет смысла ?) 1 Вопрос id:597446 Значение выражения 5k в два раза меньше, чем 4k + 12, при k = ___ Вопрос id:597447 Значение выражения р + 3 в четыре раза больше, чем 7р – 33, при р = ___ Вопрос id:597448 Найдите значение выражения: частное чисел ?) 1 ?) 2,3 ?) ?) 1,4 Вопрос id:597449 Сумма выражений 10а и 6 – 8а равна 11 при а = ___ Вопрос id:597450 Дана система уравнений
Введите дополнительный множитель для первого уравнения, чтобы получилась равносильная ей система уравнений:
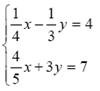
Вопрос id:597451 Дана система уравнений
Введите дополнительный множитель для первого уравнения, чтобы получилась равносильная ей система уравнений:
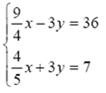
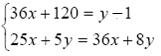
Вопрос id:597452 Дана система уравнений
Введите дополнительный множитель для первого уравнения, чтобы получилась равносильная ей система уравнений:
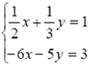
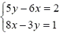
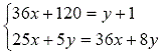
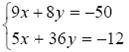
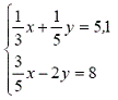
Вопрос id:597453 Дана система уравнений
Верны ли утверждения? А) Для решения этой системы уравнений методом сложения можно из первого уравнения вычесть второе уравнение В) Для решения этой системы уравнений методом сложения можно первое уравнение умножить на (–1) и оба уравнения сложить Подберите правильный ответ ?) А - да, В -нет ?) А - нет, В - нет ?) А - нет, В - да ?) А - да, В - да Вопрос id:597454 Для решения системы уравнений
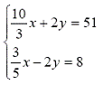
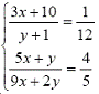
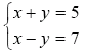
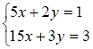
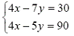
методом сложения можно выбрать между следующими действиями: ?) первое уравнение умножить на 3, второе уравнение умножить на (–5) и оба уравнения сложить ?) первое уравнение умножить на 4, второе уравнение умножить на 5 и оба уравнения сложить ?) первое уравнение умножить на 3 и оба уравнения сложить ?) первое уравнение умножить на (–4) и оба уравнения сложить Вопрос id:597455 Для решения системы уравнений
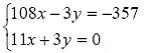
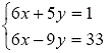
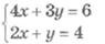
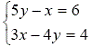
методом сложения можно выбрать между следующими действиями: ?) из первого уравнения вычесть второе, не подибрая дополнительного множителя ?) сложить оба уравнения, не подбирая дополнительного множителя ?) первое уравнение умножить на 8, второе уравнение умножить на (5) и оба уравнения сложить ?) первое уравнение умножить на 3, второе уравнение умножить на (–5) и оба уравнения сложить Вопрос id:597456 Для решения системы уравнений
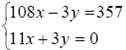
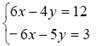
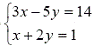
методом сложения можно выбрать между следующими действиями: ?) первое уравнение умножить на 3, второе уравнение умножить на 5 и оба уравнения сложить ?) первое уравнение умножить на 4, второе уравнение умножить на 3 и оба уравнения сложить ?) первое уравнение умножить на ?) сложить оба уравнения, не подбирая дополнительного множителя Вопрос id:597457 Для решения системы уравнений
методом сложения можно выбрать между следующими действиями: ?) первое уравнение поделить на 2 и оба уравнения сложить ?) первое уравнение поделить на (–3) и оба уравнения сложить ?) второе уравнение умножить на 2, и затем из первого уравнения вычесть второе ?) второе уравнение умножить на (–3) и оба уравнения сложить Вопрос id:597458 Для системы уравнений
равносильными являются следующие системы ?) ![]() ?) ![]() ?) ![]() ?) ![]() Вопрос id:597459 Замените буквы А и В так, чтобы получилось верное тождество:
?) А = –4, В = 3 ?) А = 3, В = 4 ?) А = 3, В = –4 ?) А = –3, В = –4 Вопрос id:597460 Замените буквы А и В так, чтобы получилось верное тождество:
?) А = –4, В = 5 ?) А = 5, В = –4 ?) А = 3, В = 5 ?) А = –5, В = 3 Вопрос id:597461 Замените буквы А и В так, чтобы получилось верное тождество:
?) А = 5, В = 3 ?) А = –4, В = 3 ?) А = 4, В = 3 ?) А = 4, В = 5 Вопрос id:597462 Замените буквы А и В так, чтобы получилось верное тождество:
?) А = –4, В = 3 ?) А = –3, В = 4 ?) А = 4, В = 3 ?) А = 3, В = 4 Вопрос id:597463 Замените буквы А и В так, чтобы получилось верное тождество:
?) А = 3, В = 5 ?) А = –5, В = –3 ?) А = –3, В = 5 ?) А = 5, В = 3 Вопрос id:597464 Замените буквы А и В так, чтобы получилось верное тождество:
?) А = 5, В = 2 ?) А = –5, В = –2 ?) А = 2, В = 5 ?) А = –2, В = 5 Вопрос id:597465 Замените буквы А и В так, чтобы получилось верное тождество:
?) А = 5, В = –3 ?) А = 2, В = 5 ?) А = 3, В = 2 ?) А = –3, В = 5 Вопрос id:597466 Замените буквы А и В так, чтобы получилось верное тождество:
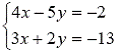
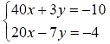
?) А = 20, В = –2 ?) А = 5, В = 4 ?) А = –20, В = 2 ?) А = –5, В = 2 Вопрос id:597468 Решите методом сложения систему уравнений
?) (–2; 6) ?) (–6; 3) ?) (6; –1) ?) (3; 2) Вопрос id:597469 Решите методом сложения систему уравнений
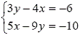
?) (5; –2) ?) (3; –4) ?) (5; –3) ?) (–2; 3) Вопрос id:597470 Решите методом сложения систему уравнений
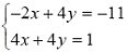
?) (2; –1,75) ?) (–2; 1,25) ?) (–1; 2) ?) (–2; 0,5) Вопрос id:597471 Решите методом сложения систему уравнений
?) (–2; 1) ?) (–1; 2) ?) (2; –0,5) ?) (2; –1) Вопрос id:597472 Решите методом сложения систему уравнений
?) (–3; 2) ?) (2; –3) ?) (–3; 1) ?) (3; –1) Вопрос id:597473 Решите методом сложения систему уравнений
?) (–4; 1) ?) (2; –0,5) ?) (–2; 4) ?) (–1; 4) Вопрос id:597474 Решите методом сложения систему уравнений
?) ?) (–4; 1) ?) (0,2; 0) ?) Вопрос id:597475 Решите методом сложения систему уравнений
?) (0,4; 0) ?) (0; 0,5) ?) (0,2; 0) ?) (–4; 1) Вопрос id:597476 Решите методом сложения систему уравнений
?) (–3; 5) ?) (5; –8) ?) (6; –7) ?) (0,2; 6) Вопрос id:597477 Решите методом сложения систему уравнений
?) (3; –0,2) ?) (0,3; 0,2) ?) (–3; –2) ?) (–3; 2) Вопрос id:597478 Решите методом сложения систему уравнений
?) (–3; 2) ?) (6; –0,2) ?) (–7; 4) ?) (–6; 0,5) Вопрос id:597479 Решите методом сложения систему уравнений
?) (4; 3,5) ?) (4,5; 3) ?) ?) Вопрос id:597480 Решите методом сложения систему уравнений
?) (5; 7) ?) ?) (–6; 5) ?) |





.
.


















