Список вопросов базы знанийАлгебра (7 кл. БП)
Вопрос id:598501 Укажите пары чисел, которые являются решением уравнения 4х + у = 18: ?) (6; 5) ?) (0; 18) ?) (5; –2) ?) (3; 6) Вопрос id:598503 Укажите соответствие между заданной функцией и ее наибольшим и наименьшим значением на заданном интервале
Вопрос id:598504 Укажите соответствие между парами функций и точкой их пересечения
Вопрос id:598505 Укажите соответствие между точкой, через которую проходит график прямой пропорциональности и величиной его углового коэффициента
Вопрос id:598506 Верны ли утверждения? А) Для функции у = f(х), где f(х) = 3х + 1, f(а – 5) = 3а – 14 В) Для функции у = f(х), где f(х) = –2х + 1, f(1 – а) = 2а – 1 Подберите правильный ответ ?) А - нет, В - да ?) А - нет, В - нет ?) А - да, В - да ?) А - да, В -нет Вопрос id:598507 Верны ли утверждения? А) Парабола у = х2 и прямая х = –3 не пересекаются В) Парабола у = х2 и прямая у = 2x – 1 пересекаются в точке (1; 1) Подберите правильный ответ ?) А - нет, В - нет ?) А - да, В -нет ?) А - да, В - да ?) А - нет, В - да Вопрос id:598508 Верны ли утверждения? А) Уравнение х2 + 6х + 9 = 0 имеет одно решение В) Уравнение х2 + 2х + 1 = 0 имеет два решения Подберите правильный ответ ?) А - да, В -нет ?) А - нет, В - нет ?) А - нет, В - да ?) А - да, В - да Вопрос id:598509 Дана функция
Установите значения аргумента в порядке возрастания соответствующего значения функции: ?) х = 2,5 ?) х = –3,5 ?) х = 5,5 ?) х = –5,4 Вопрос id:598510 Дана функция у = f(х), где f(х) = 1,6х + 3,5. Записав выражение для функции f(х + 2), вычислите значение этой функции, положив её аргумент равным нулю. Ответ: ___ (число) Вопрос id:598511 Дана функция у = f(х), где f(х) = 5х – 4. Найдите f(а + 4) – 2, если а = 2. Ответ: ___ (число) Вопрос id:598512 Дана функция у = f(х), где f(х) = 7х + 9. Найдите f(–1). Ответ: ___ (число) Вопрос id:598513 Дана функция
Вычислите: f(0) = ___ (число) Вопрос id:598514 Для функции, изображенной на рисунке, справедливы следующие утверждения: ?) область определения [–4, 3] ?) функция непрерывна ?) на промежутке (–2, 1) функция постоянна ?) унаиб. = 9, унаим. = –2 Вопрос id:598515 Наибольшее значение функции, изображенной на рисунке, равно ___ (число)
Вопрос id:598516 Построив график функции, найдите её наибольшее значение. Ответ: унаиб. = ___ (число) Вопрос id:598517 Пусть R – наименьшее значение функции у = х2 на отрезке [–3, 7], а S – наименьшее значение той же функции на отрезке [–11, 2]. Сравните R и S. Ответ: R ___ S (введите слово «больше», «меньше» или «равно») Вопрос id:598518 Решите графически уравнение х2 – 5х + 4= 0. Корни введите через запятую, без пробелов, начиная с наименьшего значения Вопрос id:598519 Функция, изображенная на рисунке, ___ на промежутке [1, 2]
Введите «возрастает», «убывает» или «постоянна» Вопрос id:598520 Найдите значение функции у = х2, соответствующее значению аргумента, равному –0,5. Ответ: ___ (число) Вопрос id:598521 Не выполняя построения, ответьте на вопрос, принадлежит ли графику функции у = х2 точка А(–5; 25). Введите «да», если точка принадлежит графику, и «нет» в обратном случае Вопрос id:598522 Графики функций у = х2 и х = –0,5 пересекаются в точке с ординатой, равной ___ Вопрос id:598523 Дана функция у = f(х), где f(х) = 4х. Значение f(–2а) при а = –2 равно ___ Вопрос id:598524 Дана функция у = f(х), где f(х) = х2. Найдите f(х3 + a) ?) х6 + 2х4 + 4a2 х ?) х5 + aх2 ?) х4 + 2aх2+ a2 ?) х6 + 2aх3+ a2 Вопрос id:598525 Дана функция у = f(х), где f(х) = –3х + 2. При х = 1 значение (f(х) – 2)2 равно ___ Вопрос id:598526 Координаты точек пересечения функций у = х2 и у = –3х равны ___ ?) (0; 3) и (3; 9) ?) (–3; 0) и (0; 0) ?) (3; 9) и (0; 0) ?) (–3; 9) и (0; 0) Вопрос id:598527 Найдите значения аргумента, которым соответствует значение функции у = х2, равное –9 ?) –3 ?) –3; 3 ?) 3 ?) задача поставлена некорректно Вопрос id:598528 Найдите точки пересечения параболы у = х2 и прямой у = –2х – 2 ?) (–2; 4) ?) (–1; 1) ?) (–1; 1), (1; 1) ?) задача некорректна Вопрос id:598529 Произведение корней уравнения х2 = –3х – 2 равно ___ Вопрос id:598530 Расположите прямые y = ax + b в порядке возрастания количества их точек пересечения с параболой у = х2 ?) y = 2x – 1 ?) y = x – 2 ?) y = x Вопрос id:598532 Решите графически уравнение х2 – х = –2 ?) х = 1 ?) решений нет ?) х1 = 2, х2 = –1 ?) х = –2 Вопрос id:598533 Решите графически уравнение х2 + 2х – 3 = 0 ?) х1 = 3, х2 = -1 ?) х1 = 3, х2 = 1 ?) х1 = -3, х2 = 1 ?) х1 = -3, х2 = -1 Вопрос id:598534 Сумма корней уравнения х2 = х + 6 равна ___ Вопрос id:598535 Укажите график непрерывной функции ?) ![]() ?) ![]() ?) ![]() ?) ![]() Вопрос id:598536 Укажите график функции, не являющейся непрерывной ?) ![]() ?) ![]() ?) ![]() ?) ![]() Вопрос id:598537 Укажите соответствие между уравнением и его геометрической моделью
Вопрос id:598538 Укажите соответствие между числовым промежутком и наименьшим и наибольшим значениями функции у = х2 на этом промежутке
Вопрос id:598539 Укажите числовые промежутки, на которых у функции у = х2 существуют наименьшее и наибольшее значения: ?) (–2, 3] ?) (2, 3] ?) [–2, 1) ?) [–2, 3) ?) (–2, 1] Вопрос id:598540 Функция f(x) = ?) f(x) = –х ?) f(x) = –х, где х ≠ 5, х ≠ 0 ?) f(x) = х, где х ≠ 0 ?) f(x) = х2, где х ≠ 5, х ≠ 0 Вопрос id:598541 Функция у = х2 убывает на промежутке ___ ?) [–4, 1) ?) (–10, 0] ?) [0, 7) ?) (–3, 3) Вопрос id:598542 Функция у = ?) х = –2 ?) х = 2 ?) х = 4 ?) х = 0 Вопрос id:598543 Дана система уравнений
Её графическая модель ?) ![]() ?)  ?)  ?)  Вопрос id:598544 Дана система уравнений
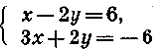
Её графическая модель ?) 4 ?)  ?)  ?)  ?)  Вопрос id:598545 Дана система уравнений
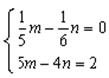
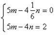
Верны ли утверждения? А) Равносильной ей является система уравнений В) Решением исходной системы является пара чисел (–3; 0,5). Подберите правильный ответ ?) А - да, В - да ?) А - нет, В - да ?) А - да, В -нет ?) А - нет, В - нет Вопрос id:598546 Дана система уравнений
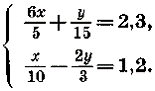
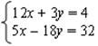
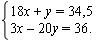
Верны ли утверждения? А) Равносильной ей является система уравнений В) Решением исходной системы является пара чисел (2; –1,5). Подберите правильный ответ ?) А - нет, В - да ?) А - да, В - да ?) А - да, В -нет ?) А - нет, В - нет Вопрос id:598547 Дана система уравнений
Введите дополнительный множитель для первого уравнения, чтобы получилась равносильная ей система уравнений:
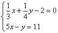
Вопрос id:598548 Дана система уравнений
Введите дополнительный множитель для первого уравнения, чтобы получилась равносильная ей система уравнений:
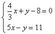
Вопрос id:598549 Дана система уравнений Введите дополнительный множитель для первого уравнения, чтоб решить систему методом сложения Вопрос id:598550 Два туриста вышли одновременно из двух городов, расстояние между которыми 38 км, и встретились через 4 ч. С какой скоростью шел каждый турист, если известно, что первый прошел до встречи на 2 км больше второго? Верны ли утверждения? А) Скорость первого туриста 5 км/ч. В) Скорость второго туриста 4 км/ч. Подберите правильный ответ ?) А - да, В - да ?) А - нет, В - да ?) А - да, В -нет ?) А - нет, В - нет Вопрос id:598551 Для системы уравнений справедливо следующее: ?) -> графическая иллюстрация решения представлена на рисунке
?) система неопределенна ?) (0,5; –1,5) – решение системы ?) графическая иллюстрация решения представлена на рисунке
Вопрос id:598552 Для того, чтобы решить систему уравнений графическим методом, необходимо построить графики функций ?) у = –х и у = 3 + ?) у = х и у = 3 + ?) у = –х и у = –3 + ?) у = –х и у = 3 – |



















 
 
 
 
 
 
 








