Список вопросов базы знанийАлгебра (7 кл. БП)
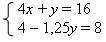
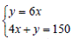
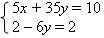
Вопрос id:595386 Выраженин 3х • х - 7х + 8 является квадратным трехчленом: ?) нет ?) да Вопрос id:595387 Квадрат разности двух выражений равен квадрату первого выражения минус удвоенное произведение первого выражения на второе минус квадрат второго выражения: ?) нет ?) да Вопрос id:595388 Квадрат суммы двух выражений равен квадрату первого выражения плюс удвоенное произведение первого выражения на второе плюс квадрат второго выражения: ?) да ?) нет Вопрос id:595389 Разность квадратов двух выражений равна произведению разностей этих выражений: ?) да ?) нет Вопрос id:595390 Дана система уравнений:
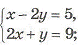
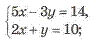
Укажите уравнение относительно х, получающееся в результате применения метода подстановки ?) 5(10 – 2х) – 3(10 – 2х) = 14 ?) 5х – 30 + 6х = 14 ?) 5х – 3(10 + 2х) = 14 ?) 5х – 30 – 6х = 14 Вопрос id:595391 Дана система уравнений:
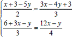
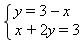
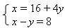
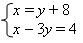
Укажите уравнение относительно у, получающееся в результате применения метода подстановки ?) 105 – 13у = 27 ?) 105 + 17у = 27 ?) 35 – 5у + 5у = 35 ?) 13у = 88 Вопрос id:595392 Дана система уравнений:
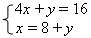
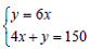
Укажите уравнение относительно у, получающееся в результате применения метода подстановки ?) 10 + 6у = 9 ?) 2(5 + 2у) + у = 9 ?) х – 2(9 + 2х) = 5 ?) 3х – 18 = 5 Вопрос id:595393 Дана система уравнений
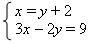
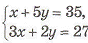
Укажите равносильные ей системы уравнений: ?) ?) ?) ?) Вопрос id:595394 Дана система уравнений
Укажите неравносильную ей систему уравнений ?) ?) ?) ?) Вопрос id:595395 Дана система уравнений
А) Данная система уравнений не может быть решена графическим методом В) Решением системы является пара чисел Подберите правильный ответ ?) А - нет, В - да ?) А - да, В - нет ?) А - да, В - да ?) А - нет, В - нет Вопрос id:595396 Дана система уравнений
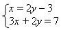
А) Данная система уравнений может быть решена как графическим методом, так и методом подстановки В) Решением системя является пара чисел (3; –4) Подберите правильный ответ ?) А - да, В - нет ?) А - да, В - да ?) А - нет, В - нет ?) А - нет, В - да Вопрос id:595397 Решите систему уравнений методом подстановки:
?) (2; –1) ?) (1; 2) ?) (–1; 2) ?) (2; 1) Вопрос id:595398 Решите систему уравнений методом подстановки:
?) (5; 3) ?) (4; 2) ?) (3; 5) ?) (2; 4) Вопрос id:595399 Решите систему уравнений методом подстановки:
?) (3; 1) ?) (1; 6) ?) (2; 5) ?) (3; 0) Вопрос id:595400 Решите систему уравнений методом подстановки:
?) (1; 2) ?) (1; 3) ?) (4; 2) ?) (2; 6) Вопрос id:595401 Решите систему уравнений методом подстановки:
?) (–2; 7) ?) (10; 2) ?) (1; 5) ?) (4; 2) Вопрос id:595402 Решите систему уравнений
?) ?) ?) ?) Вопрос id:595403 Решите систему уравнений
?) (3; –3,5) ?) (3; –2,5) ?) (–2,5; 3) ?) (–3,5; –3) Вопрос id:595404 Решите систему уравнений
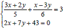
Ответ введите через запятую, без пробелов Вопрос id:595405 Решите систему уравнений
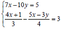
Ответ введите через запятую, без пробелов Вопрос id:595406 Решите систему уравнений
?) (–1; 1,5) ?) (1; 0,5) ?) (0,5; –1,5) ?) (0,5; 1) Вопрос id:595407 Решите систему уравнений
?) (6; –7) ?) (–3; 4) ?) (–6; 5) ?) (6; 14) Вопрос id:595408 Решите систему уравнений
?) (2; 3) ?) (–1; 3) ?) (1; –3) ?) (2; –1) Вопрос id:595409 Решите систему уравнений
?) (–3; –2) ?) (2; – 3) ?) (–3; 1) ?) (–1; –3) Вопрос id:595410 Решите систему уравнений
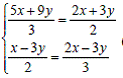
Ответ введите через запятую, без пробелов Вопрос id:595411 Решите систему уравнений
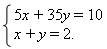
?) (–2; 6) ?) система решений не имеет ?) (8; –4) ?) (2; 2) Вопрос id:595412 Решите систему уравнений
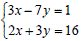
?) (3; –1) ?) (1; 3) ?) (3; 1) ?) (–1; 3) Вопрос id:595413 Решите систему уравнений
?) (–4; –6) ?) (–3; 2) ?) (2; –3) ?) (4; –6) Вопрос id:595414 Решите систему уравнений
?) ?) ?) ?) система решений не имеет Вопрос id:595415 Решите систему уравнений
?) (3; 2,5) ?) (1,5; –2) ?) (2,5; 2) ?) (–1,5; 1) Вопрос id:595416 Решите систему уравнений
?) система имеет бесконечное множество решений ?) (–1; –2) ?) система решений не имеет ?) (2; –1) Вопрос id:595417 Решите систему уравнений
?) (–4; 2) ?) (2,5; –3) ?) (4; 2) ?) (4,4; 2,4) Вопрос id:595418 Решите систему уравнений
?) (–3; 2) ?) (3; –4) ?) (–6; 4) ?) (2; –6) Вопрос id:595419 Решите систему уравнений
Ответ введите через запятую, без пробелов Вопрос id:595420 Решите систему уравнений
?) (1; 4) ?) (–3; 2) ?) (3; 2) ?) (–5; 3) Вопрос id:595421 Решите систему уравнений
Ответ введите через запятую, без пробелов Вопрос id:595422 Решите систему уравнений
?) (–2; 4) ?) (3; –7) ?) система несовместна ?) система неопределенна Вопрос id:595423 Решите систему уравнений
Ответ введите через запятую, без пробелов Вопрос id:595424 Решите систему уравнений
Ответ введите через запятую, без пробелов Вопрос id:595425 Решите систему уравнений
Ответ введите через запятую, без пробелов Вопрос id:595426 Решите систему уравнений
?) система несовместна ?) система неопределнна ?) (3; 2) ?) (–4; 8) Вопрос id:595427 Решите систему уравнений
Ответ введите через запятую, без пробелов Вопрос id:595429 В уравнении 2а + 4b = 4 выразите одну переменную через другую: ?) a = 2 – 4b ?) a = 2 – 2b ?) b = 4 – a ?) b = 1 – 0,5a Вопрос id:595430 В уравнении 3а + b = 12 выразите одну переменную через другую: ?) ?) b = 12 – 3а ?) b = 12 + 3а ?) Вопрос id:595431 В уравнении c + 8d = 15 выразите одну переменную через другую: ?) d = 15 – 8с ?) ?) с = 15 – 8d ?) с = 15 + 8d Вопрос id:595432 В уравнении х + 6у = 9 выразите одну переменную через другую: ?) ?) х = 9 + 6у ?) у = 1,5 + 6х ?) х = 9 – 6у Вопрос id:595433 Из представленных систем уравнений выберите равносильные: ?) ?) ?) ?) Вопрос id:595434 Из представленных систем уравнений выберите систему, которая имеет решение (15; 90) ?) ?) ?) ?) Вопрос id:595435 Из представленных систем уравнений выберите систему, которая имеет решение (2; –8) ?) ?) ?) ?) Вопрос id:595436 Из представленных систем уравнений выберите систему, которая имеет решение (44; 11) ?) ?) ?) ?) |











