Тесты онлайн, бесплатный конструктор тестов. Психологические тестирования, тесты на проверку знаний.

Список вопросов базы знаний

Алгебра (7 кл. БП)

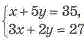
Вопрос id:595437
Из представленных систем уравнений выберите систему, которая имеет решение (–8; 0)
?)
?)
?)
?)
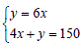
Вопрос id:595438
Из представленных систем уравнений выберите систему, решение которой представляет собой дробные числа
?)
?)
?)
?)
Вопрос id:595439
Системы уравнений с двумя переменными, не имеющие решений или имеющие одни и те же решения, называются ___
Вопрос id:595440
Укажите соответствие между системой уравнений и ее решением
Левая частьПравая часть
(5; 6)
(4,6; –0,2)
(4; 2)
Вопрос id:595441
Укажите соответствие между системой уравнений и ее решением
Левая частьПравая часть
(5; –1)
(9; 7)
(1; 0)
Вопрос id:595442
Укажите соответствие между системой уравнений и ее решением
Левая частьПравая часть
(7; –4,5)
(4; 2)
(–0,96; –5,28)
Вопрос id:595443

Верны ли тождества?

А) (–a – b)2 = –(a + b)2

В) (b – а)2 = (аb)2

Подберите правильный ответ

?) А - нет, В - нет
?) А - нет, В - да
?) А - да, В - нет
?) А - да, В - да
Вопрос id:595444

Используя формулы квадратов суммы или разности, вычислите значение 322.

Ответ: ___ (число)

Вопрос id:595445

Используя формулы квадратов суммы или разности, вычислите значение 392.

Ответ: ___ (число)

Вопрос id:595446

Используя формулы квадратов суммы или разности, вычислите значение 582.

Ответ: ___ (число)

Вопрос id:595447

Используя формулы квадратов суммы или разности, вычислите значение 592.

Ответ: ___ (число)

Вопрос id:595448

Найдите значение выражения (3р – 8)2 + (4р + 6)2 + 100р при р = –2.

Ответ: ___ (число)

Вопрос id:595449

Найдите значение выражения (5b – 3)2 + (12b – 4)2 – 4b при b = –1.

Ответ: ___ (число)

Вопрос id:595450

Найдите значение выражения (т + 3)2 – (т – 9)(т + 9) при т = –0,5.

Ответ: ___ (число)

Вопрос id:595451

Найдите значение выражения (х – 3)2 – (х + 3)(х – 3) при х = –0,1.

Ответ: ___ (число)

Вопрос id:595452

Найдите значение выражения: (3х2 – 2)(9х4 + 6х2 + 4) при х = –2.

Ответ: ___ (число)

Вопрос id:595453

Найдите значение выражения: (5х2 + 3)(25х4 – 15х2 + 9) при х = –1.

Ответ: ___ (число)

Вопрос id:595454

Найдите значение выражения: (7а2 – 1)(49а4 + 7а2 + 1) при а = 2.

Ответ: ___ (число)

Вопрос id:595455

Найдите значение выражения: (8b2 + 3)(64b4 – 24b2 + 9) при b = –1.

Ответ: ___ (число)

Вопрос id:595456

Найдите значение выражения: 125 – (5 – 3х)(25 + 15х + 9х2) при х = .

Ответ: ___ (число)

Вопрос id:595457

Найдите значение выражения: 127 + (5с – 3)(25с2 + 15с + 9) при с = .

Ответ: ___ (число)

Вопрос id:595458

Найдите значение выражения: 25 – (2 – 3а)(4 + 6а + 9а2) при а = –.

Ответ: ___ (число)

Вопрос id:595459

Найдите значение выражения: 64 – (4 – 3а)(16 + 12а + 9а2) при а = .

Ответ: ___ (число)

Вопрос id:595460

Найдите значение числового выражения: 23 + (2 – 1)(2 + 1)(22 + 1)(24 + 1)(28 + 1) – 216.

Ответ: ___ (число)

Вопрос id:595461

Найдите значение числового выражения: 3(22 + 1)(24 + 1)(28 + 1)(216 + 1) – 232 + 2.

Ответ: ___ (число)

Вопрос id:595462

Решите уравнение (2х + 3)2 – 4(х – 1)(х + 1) = 49.

Ответ: х = ___ (число)

Вопрос id:595463

Решите уравнение (2х – 3)2 – 2х(4 + 2х) = –11.

Ответ: х = ___ (число)

Вопрос id:595464

Решите уравнение (3х + 1)2 – (3х – 2)(2 + 3х) = 17.

Ответ: х = ___ (число)

Вопрос id:595465

Решите уравнение (4х – 3)(3 + 4х) – 2х(8х – 1) = 0.

Ответ: х = ___ (число)

Вопрос id:595466

Решите уравнение (6х – 1)(6х + 1) – 4х(9х + 2) = –1.

Ответ: х = ___ (число)

Вопрос id:595467

Решите уравнение (х – 1)(х + 1) = 2(х – 3)2х2 – 7.

Ответ: х = ___ (число)

Вопрос id:595468

Решите уравнение 16х(2 – х) + (4х – 5)2 = 1.

Ответ: х = ___ (число)

Вопрос id:595469

Решите уравнение 3(х + 5)2 – 4х2 = (2 – х)(2 + х) + 101

Ответ: х = ___ (число)

Вопрос id:595470

Решите уравнение: (8 – 9х)х = –32 + (6 – 3х)(6 + 3х).

Ответ: х = ___ (число)

Вопрос id:595471

Решите уравнение: (х – 6)2х(х + 8) = 2.

Ответ: х = ___ (число)

Вопрос id:595472

Решите уравнение: 9х(х + 6) – (3х + 1)2 = 95.

Ответ: х = ___ (число)

Вопрос id:595473

Решите уравнение: 9х2 – 1 – (3х – 2)2 = 1.

Ответ: х = ___ (число)

Вопрос id:595474

Решите уравнение: х + (5х + 2)2 = 25(1 + х2)

Ответ: х = ___ (число)

Вопрос id:595475

Решите уравнение: х – 3х(1 – 12х) = 11 – (5 – 6х)(6х + 5).

Ответ: х = ___ (число)

Вопрос id:595476

Решите уравнение: х(х – 1) – (х – 5)2 = 2.

Ответ: х = ___ (число)

Вопрос id:595477
Замените буквы А, В, С одночленами так, чтобы выполнялось равенство: (10т5 + А)2 = В + С + 36т4п6
?) А = 6т3п4; В = 100т10; С = 120т7п3
?) А = 6т2п3; В = 10т10; С = 120т7п3
?) А = 6т2п3; В = 100т10; С = 60т7п3
?) А = 6т2п3; В = 100т10; С = 120т7п3
Вопрос id:595478
Замените буквы А, В, С одночленами так, чтобы выполнялось равенство: (4р2q2 + A)2 = В + С + 0,01q8
?) А = 0,1q4; В = 4p2q2; С = 0,8p2q6
?) А = 0,01q4; В = 16p4q4; С = 0,8p2q6
?) А = 0,1q4; В = 16p4q4; С = 0,8p2q6
?) А = 0,1q2; В = 16p4q4; С = 0,4pq3
Вопрос id:595479
Замените буквы А, В, С одночленами так, чтобы выполнялось равенство: (6а5 + А)2 = В + С + 25х2
?) А = 5х; В = 36а5; С = 60а5х
?) А = 5х2; В = 36а10; С = 60а5х
?) А = 5х; В = 36а10; С = 30а5х
?) А = 5х; В = 36а10; С = 60а5х
Вопрос id:595480
Замените буквы А, В, С одночленами так, чтобы выполнялось равенство: (8q4t3A)2 = ВС + 0,16t4
?) А = 0,4t2; В = 64q4t3; С = 6,4q2t5
?) А = 0,2t2; В = 8q8t6; С = 6,4q4t5
?) А = 0,4t2; В = 64q8t6; С = 6,4q4t5
?) А = 0,4t2; В = 8q8t6; С = 3,2q4t5
Вопрос id:595481
Замените буквы А, В, С одночленами так, чтобы выполнялось равенство: (А + 4х4)2 = В + 24у2х5 + С
?) А = 3х2у4; В = 9х4у8; С = 16х8
?) А = 3ху2; В = 9х2у4; С = 16х8
?) А = 3ху2; В = 9х4у8; С = 16х8
?) А = 3х2у4; В = 9х2у4; С = 16х8
Вопрос id:595482
Замените буквы А, В, С одночленами так, чтобы выполнялось равенство: (А – 8а4)2 = 81а6b2В + С
?) А = 3а3b; В = 144a7b; С = 64a8
?) А = 9а3b; В = 144a3b; С = 64a8
?) А = 9а3b; В = 72a7b; С = 64a8
?) А = 9а3b; В = 144a7b; С = 64a8
Вопрос id:595483
Из представленных алгебраических выражений укажите верные тождества:
?) (х + 1)(х2 + х + 1) = х3 + 1
?) (2х – 2)(4х2 + 4х + 4) = 8х3 – 8
?) (3х – 5)(9х215х + 25) = 27х3 – 125
?) (3х + 1)(9х23х + 1) = 27х3 + 1
Вопрос id:595484
Из представленных алгебраических выражений укажите верные тождества:
?) (an+1bп–1)(an+1 + bп–1) = a2n+1b2п–1
?) (хп – 23)(хп + 23) = х2п – 26
?) (а2п + bп)(а2п + bп) = а4п + b2п + 2а2пbп
?) (сп + d3п)(сп + d3п) = с2п + d6п
Вопрос id:595485
Из представленных алгебраических выражений укажите верные тождества:
?) (0,6b3 – 5b2c4)2 = 0,36b6 – 3b5c4 + 25b4c8
?) (3z7 + 0,5z3t)2 = 9z14 + 3z20t2 + 0,25z6t2
?) (10х2 – 4ху3)2 = 100х4 – 80х3у3 + 16х2у6
?) (8р3 + 5р2q)2 = 64р6 + 80р5q + 25p4q2
Вопрос id:595486
Из представленных алгебраических выражений укажите верные тождества:
?) (3п3 + 4тп2)2 = 9п6 + 24тп5 + 16т2п4
?) (0,15х4у3 – 10у4)2 = 0,625х8у6 – 3х4у7 + 100у8
?) (6а2аb)2 = 36a2 + 12a2b + a2b2
?) (20х3у + 0,03у2)2 = 400х6у2 + 1,2х3у3 + 0,0009у4
Copyright tests.ithead.ru 2013-2026